说明:文章中华算科技系统梳理了费米能级的定义、公式与不同材料费米能级的差异,并列举了DFT、XPS-UPS、Mott-Schottky及低温比热等费米能级计算与测量方法。

什么是费米能级?

费米能级(Fermi Level,EF)是理解半导体物理和电子器件工作原理的核心概念。简单来说,费米能级是绝对零度时电子所能占据的最高能级,它本质上描述了电子在材料中的填充水平。
在绝对零度(0K)时,所有能量低于EF的能级都会被电子填满,所有高于EF的能级则完全空着,没有电子。EF是一个“界限”。

当温度高于0K时,部分电子会吸收能量跃迁至EF以上的能级,同时EF以下会留下空穴,但EF本身仍作为电子填充概率为50%的能量点。

费米能级决定了材料的导电能力,根据导电能力的强弱,通常我们可将材料分为以下三类:
(1)导体(如金属):费米能级位于导带内部。这意味着即使在低温下,也有大量电子处于可以自由移动的导带中,因此导电性极好。

(2)半导体(如硅、锗):费米能级位于禁带(导带与价带之间的能量间隙)中间。纯半导体(本征半导体)的费米能级几乎在禁带正中央。掺杂后(如n型、p型半导体),费米能级会分别向导带或价带偏移,从而改变其导电能力。

(3)绝缘体:费米能级同样位于禁带中,但禁带宽度远大于半导体(通常大于 5eV)。这使得常温下几乎没有电子能跃过禁带到达导带,因此材料几乎不导电。


费米能级的应用

p-n结是二极管、晶体管的基础。p型半导体的费米能级靠近价带,n型半导体的费米能级靠近导带;当两者接触时,电子会从n型向p型扩散,最终使整个结的费米能级“对齐”。
这个过程中,界面处会形成 “内建电场”,阻止电子继续扩散——这就是二极管单向导电的核心原理。

DOI: 10.1021/acsnano.7b03880
若金属费米能级高于半导体导带底,电子会从金属注入半导体导带,形成“欧姆接触”。这类材料通常具有低电阻的特性,适用于器件电极。

DOI: 10.1021/acsenergylett.1c00150
若金属费米能级低于半导体导带底,界面会形成“势垒”,电子难以通过,即“肖特基接触”。势垒带来的“单向导电性”使得这类材料可用于制作肖特基二极管。

DOI: 10.1021/acsenergylett.1c00150
热电材料设计
热电材料能实现“热能–电能”转换,其效率与载流子浓度直接相关。通过掺杂,可调整费米能级位置,使材料的载流子浓度处于最优区间。这既保证载流子数量足够,又减少载流子之间的散射,从而提升热电转换效率。

DOI: 10.1016/j.ssc.2023.115261

费米能级调控

费米能级的调控是实现材料电学性能定制化、器件功能优化的关键手段,可通过掺杂、电场、异质结构建、应力应变等多种方式实现。
n型掺杂
掺入施主杂质,提供额外的自由电子,使费米能级向导带方向上移。掺杂浓度越高,费米能级越靠近导带底。

DOI: 10.1021/acs.chemmater.6b04479
p型掺杂
掺入受主杂质,产生大量空穴,使费米能级向价带方向下移。掺杂浓度越高,费米能级越靠近价带顶。

DOI: 10.1039/c5ra25572d
此方法通过外加电场改变材料内部的电势分布,进而调控费米能级的位置。典型应用主要为场效应晶体管。

DOI: 10.1088/2399-1984/aafc3a
当两种不同材料形成异质结时,它们接触界面处的能带会发生弯曲,两种材料的费米能级会在界面处“对齐”,从而形成内建电场。
此外,在材料表面吸附原子或分子时,表面与原子或分子之间的电荷转移也会改变表面的费米能级。

DOI: 10.1007/s10853-025-10936-0
通过施加压力或引入应变,可以改变材料的晶格结构以及原子间相互作用,进而调控能带结构和费米能级。

DOI: 10.1103/PhysRevB.102.035132

费米能级的计算与表征

理论计算的核心是根据材料的电子结构模型,推导费米能级的能量值。
1. 金属体系:自由电子气模型
该模型的核心原理是将金属中的价电子视为“自由电子”,忽略电子–电子、电子–离子的相互作用,通过统计力学(费米–狄拉克分布)计算电子的能量分布。先确定单位体积内的价电子数,通过自由电子费米能公式,直接得到EF:

其中:
h为约化普朗克常数,
m为电子质量,
N/V为电子数密度。
2. 半导体体系:能带理论与载流子统计
半导体的费米能级与掺杂类型(n型/p型)、载流子浓度直接相关,需结合能带结构计算。对于本征半导体,其费米能级近似位于禁带中央,使用以下公式进行计算:

其中:
Ec为导带底能量,
Ev为价带顶能量,
mh*、me*为空穴/电子有效质量,
kT为热激发能。
常温下第二项可忽略,直接取禁带中点。
对于掺杂半导体,需引入施主/受主能级,通过载流子浓度公式进行反推:

其中:
Nc为导带有效态密度,
nd为施主载流子浓度。
3. 复杂体系:密度泛函理论
随着体系变得更加复杂,普通的简化假设模型已不能满足简化假设要求,主流密度泛函理论(DFT)计算可通过量子力学计算材料的电子云密度,再反推电子的能量分布和费米能级。
这一方法能考虑电子–电子、电子–离子的相互作用,使复杂体系的能级精度大大提升。

DOI: 10.1038/s41598-019-45071-9
实验表征的核心是通过仪器探测“电子的能量状态”,间接或直接确定费米能级的能量值,常用方法有3类:
1. 光电子能谱
常用测试方法X射线光电子能谱(XPS)和紫外光电子能谱(UPS)。其原理是“光电效应”,当用单色光照射材料时,激发电子逸出,通过测量逸出电子的动能,可以反推其结合能,进而确定费米能级。

DOI: 10.1021/acs.jpcc.1c06862
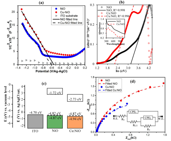
2. 电化学方法
其核心是Mott-Schottky测试,通过测量半导体与电解质界面的电容,可以推导费米能级与导带/价带的相对位置。具体来说,首先绘制1/C2
曲线,得到曲线的截距对应“平带电压”,结合电解质的氧化还原电势,即可反推半导体的费米能级。

DOI: 10.1016/j.electacta.2018.10.166
3. 低温比热测量
由于金属的低温比热由电子贡献和晶格贡献组成,其中电子贡献与“费米能级处的电子态密度”成正比,因此通过测量比热可间接推导费米能级。

DOI: 10.1016/j.jallcom.2020.156015
【做计算 找华算】
🏅 华算科技提供专业的第一性原理、分子动力学、生物模拟、量子化学、机器学习、有限元仿真等代算服务。
🎯500+博士团队护航,累计助力5️⃣0️⃣0️⃣0️⃣0️⃣➕篇科研成果,计算数据已发表在Nature & Science正刊及大子刊、JACS、Angew、PNAS、AM系列等国际顶刊。 👏👏👏

