说明:本文华算科技详细介绍了Tafel斜率的概念、计算方法、在电催化中的重要性以及如何正确分析和使用它。文中还讨论了实验技术选择、数据处理方法以及如何避免常见错误,强调了Tafel斜率的正确使用需结合其他实验和理论证据。
Tafel斜率(Tafel Slope),通常用符号b表示,是在电化学动力学中,描述当反应远离平衡态时,过电位(η)随电流密度(j)的对数变化的斜率。
这种关系通过Tafel图(Tafel Plot)进行可视化,即以过电位η为纵坐标,log|j|为横坐标作图。在一定的电位区间内,该图会呈现出线性关系,这条直线的斜率即为Tafel斜率。

图1 InNNi3和In0.9NNi3的HER性能曲线及其Tafel图。DOI:10.1002/aenm.202503319
这种线性关系由Tafel方程描述,其经典形式为:

η是过电位,定义为电极的实际电位(E)与该反应的平衡电位(Eeq)之差(η=E-Eeq)。它代表了驱动电化学反应所需的额外“电压”。
j是电流密度,代表单位电极面积上的反应速率。a是Tafel截距,与交换电流密度(j₀)有关,具体为a=-b·log(j₀)。b即为Tafel斜率,单位通常是mV/dec(毫伏/十倍电流密度),表示电流密度每增加一个数量级,所需的过电位增加量。
从B-V方程到Tafel方程的数学推导
Tafel方程并非一个独立的经验公式,而是更为普适的Butler-Volmer(B-V)方程在特定条件下的近似形式。B-V方程描述了从平衡态到极化态的整个区间的电流–电位关系。

图2 塔菲尔斜率、塔菲尔方程和Butler-Volmer(B-V)方程。DOI:10.1002/elsa.202260002
一个单步骤、单电子转移反应的B-V方程可以写作:

j₀是交换电流密度,表示在平衡电位下,正向(阳极)和反向(阴极)反应速率相等时的电流密度,反映了电极的本征催化活性。
α是电荷转移系数(transfer coefficient),是一个介于0和1之间的无量纲参数,描述了过电位对活化能垒的影响程度,通常接近0.5。
F是法拉第常数(≈96485 C/mol)。R是理想气体常数(≈8.314 J/(mol·K))。
T是绝对温度(K)。
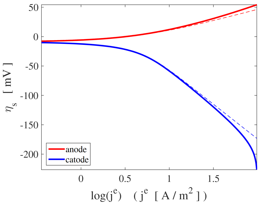
当过电位足够大时(η>100 mV),Butler-Volmer方程中一个指数项可忽略(阳极反应忽略阴极项,阴极反应忽略阳极项),对电流密度取对数后线性化,得到Tafel方程。

图3 Cu单电子转移由B-V方程推导出的Tafel图DOI:10.1039/c6cp04142f
评估催化动力学效率
电催化反应(如HER、OER)的核心目标是在低过电位下实现高电流密度,而Tafel斜率直接量化了“过电位–电流密度”的耦合关系,相同电流密度下,斜率小的催化剂所需过电位更低,能量损耗更小。

图4 LSV和对应的Tafel斜率DOI:10.1002/anie.202505924
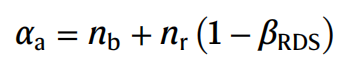
Tafel斜率的理论值与反应决速步(RDS)直接相关,这是其最核心的机理价值。

nb是RDS前参与的电子数,nr是RDS中参与的电子数,βRDS是RDS的电荷转移系数(通常取0.5)。
错误的实验设计或数据处理,会直接导致Tafel斜率失真,因此要从数据采集、数据可靠性验证两方面确保所得Tafel数据的可靠性。

图5 如何取得可靠的Tafel数据DOI:10.1021/acsenergylett.4c00266
实验技术选择:哪种方法更可靠?
电催化研究中测定Tafel斜率的三种主流实验技术,包括线性扫描伏安法(LSV)、计时电流法(CA)与电化学阻抗谱(EIS)。

图6 Tafel数据采集方法及其得到可靠数据的注意事项。DOI:10.1021/acsenergylett.4c00266
LSV通过电位扫描测定电流,优势是快速且数据点丰富,但需采用低扫描速率以避免电容电流干扰。
CA通过固定电位监测电流随时间变化,能获取稳态数据、规避扫描速率影响,不过需1-5分钟稳定时间以排除气泡干扰。
EIS则通过拟合“溶液电阻串联电荷转移电阻与常相位元件并联”(Rs–(Rct//CPE))的等效电路,从电荷转移电阻(Rct)推导斜率,可直接反映电荷转移过程、排除电容贡献。
其中,通过测量LSV得到对应的Tafel斜率是最常用的方法。
仅在高传质条件(如旋转圆盘电极RDE转速4000rpm)与低催化剂负载下,三种技术测得的Tafel斜率才具有一致性,例如OER在NiFeOOH上,LSV、CA、EIS分别得到31.1mV dec⁻¹、30.4mV dec⁻¹、31.7mV dec⁻¹;而低传质条件(RDE转速1000 rpm)下,LSV会因气泡或浓度梯度导致斜率偏大,可靠性显著下降。

图7 通过LSV(左)、CA)(中)、EIS(右)获得的塔菲尔斜率。DOI:10.1021/acsenergylett.4c00266
数据处理的核心:必须验证“线性范围”
文献中最常见的误用是“随机选择电位范围拟合斜率”,若η-log|j|不为线性,强行拟合会得到无意义的结果,可通过以下方法确保Tafel斜率拟合在线性范围内。
可视化线性区:绘制η对log|j|的图,仅选择R²>0.99的线性段。如图8,碱性HER在Pt(111)晶面上需避开低过电位的非线性区。

图8 Pt(111)晶面在低过电位区间因无明确线性范围而不能得到塔菲尔斜率。DOI:10.1038/s41929-025-01397-4
用微分方法验证:绘制log(δj/δη)对η的图,背景电流自动消除,斜率与Tafel斜率一致,且能敏感识别传质限制。
计算小电位区间(如10 mV)的斜率:对电流/电位绘图,水平区域才是有动力学意义的斜率。

图9 在0.2M KOH溶液中NiFeOOH析氧反应的塔菲尔斜率图示(A) 塔菲尔斜率值按10mV区间计算后相对于平均电流密度作图(B) 相对于平均电势作图。DOI:10.1021/acsenergylett.4c00266
消除干扰因素
表1实验偏差/中间值的可能原因以及解决/理解偏差的方法。DOI:10.1038/s41929-025-01397-4

塔菲尔斜率具有结构敏感性和电位依赖性,因为反应机理和决速步骤由反应物与中间体的表面覆盖度,以及活性位点的密度和氧化态共同决定。

图10 三种Pt基晶面在0.1 M HClO₄中氧还原反应(ORR)的塔菲尔图。DOI:10.1038/s41929-025-01397-4
在Tafel斜率测定中,需重点规避传质限制、欧姆降、催化剂膜电阻过大、气泡堵塞及电容电流贡献等非动力学干扰因素,这些因素会直接导致斜率失真,影响动力学分析的可靠性。
传质限制会使电流达到扩散极限后斜率骤增,需采用旋转圆盘电极(RDE)结合Koutecky-Levich分析,提取剔除传质贡献的动力学电流密度(jₖ)。
欧姆降(iR drop)会导致测量电位偏高、过电位(η)计算偏小,需通过电化学阻抗谱(EIS)测定溶液电阻(Rₛ),并进行100% iR补偿,同时避免过补偿。
催化剂膜电阻过大会引发局部电位降,造成斜率偏大,需通过控制膜厚度()、提高孔隙率及降低催化剂负载来优化。
气泡堵塞会减少活性位点并导致电流波动,可通过设置高转速(>2500rpm)、在低电流密度区()开展分析来规避。

图11 表面有无气泡的阻抗谱及其对应的Tafel斜率。DOI:10.1021/acsenergylett.4c00266
电容电流则会导致低电流区数据失真,需借助微分Tafel法或EIS技术自动消除背景电容电流,确保数据反映真实电荷转移过程。
不能仅凭Tafel斜率判断催化剂性能或机理,必须结合其他实验和理论证据。
1、结合同位素效应:判断RDS是否涉及质子转移
通过比较H₂O和D₂O电解质中的Tafel斜率,判断决速步(RDS)类型。若RDS是质子–电子耦合转移(CPET):H/D同位素会改变活化能,导致斜率差异。

图12 氢/氘同位素替代前后HER动力学及塔菲尔斜率研究。DOI:10.1038/s41557-025-01934-5
2、结合DFT与微动力学分析
实验斜率需与密度泛函理论(DFT)或微动力学模拟的理论斜率对比,才能确认机理。根据公式:

表2 常见电催化反应的特征Tafel斜率值DOI:10.1038/s41929-025-01397-4

以第一个电子转移为速率决定步骤(RDS)的机理,当第一个电子转移的电荷转移系数为0.5且T=298K时,塔菲尔斜率为120 mV dec−1。
以第二个电子转移为RDS的机理,当第二个电子转移的电荷转移系数为0.5且T=298K时,塔菲尔斜率为40 mV dec−1。
RDS为两个相同电子转移后的化学步骤的机理,当T=298K时,塔菲尔斜率为30 mV dec−1。nb和nr分别表示RDS前涉及的电子数和RDS中涉及的电子数。
若实验斜率与DFT偏差大,需排查实验干扰(如传质限制等因素),而非强行归因于“新机理”。
【高端测试 找华算】
华算科技是专业的科研解决方案服务商,精于高端测试。拥有10余年球差电镜拍摄经验与同步辐射三代光源全球机时,500+博士/博士后团队护航,保质保量!
🏅已助力5️⃣0️⃣0️⃣0️⃣0️⃣➕篇科研成果在Nature&Science正刊及子刊、Angew、AFM、JACS等顶级期刊发表!
👉立即预约,抢占发表先机!
