说明:本文华算科技全面介绍了原位与工况表征技术在电催化研究中的应用。首先解释了原位和工况表征的区别,接着详细阐述了原位/工况X射线吸收光谱、振动光谱(拉曼与红外)以及电镜等技术的原理、实验设计与数据处理方法。


什么是原位/工况表征?
原位(In Situ)表征:指在模拟的反应环境下对催化剂进行表征,例如,在电解液中施加电位,但不一定同步测量催化性能。

图1 原位表征技术在反应中的作用示意图。DOI:10.1016/j.isci.2020.101776
工况(Operando)表征:是原位表征的“升级版”,它要求在进行光谱或显微镜表征的同时,精确测量电化学性能(如电流、产物生成速率),从而建立起结构与性能之间的直接、实时的关联。
“原位”和“工况”的技术在催化中有重要的区别,即“工况”指的是同时进行反应特性和表征的技术,而“原位”仅要求在接近或相同的反应条件下进行表征。

图2(b、c)电化学原位红外池示意图(d)电化学原位表面增强拉曼光谱池示意图(e)原位X射线吸收光谱池示意图(f)光电化学流动池实物图。DOI:10.1002/sstr.202200201


为什么需要原位/工况表征技术
在电催化研究中,传统的非原位表征技术(如TEM、XPS等)仅能在反应前后提供催化剂的静态特征,无法反映其在真实工作环境中的动态变化。然而,催化剂在实际反应条件下(如施加电位和电解质存在时)常发生结构与电子态的重构,这些变化恰恰是决定其性能的关键。

图3 从制备状态到反应后的电催化剂表面重构图。DOI:10.1016/j.chempr.2024.10.012
因此,仅依靠非原位手段建立结构–性能关系可能产生误导,原因主要在于:
1)电催化反应本质为氧化还原过程,易改变催化剂的氧化态;
2)缺乏通用的非原位活性位点滴定方法,部分活性位点仅在特定电位下显现;
3)多数催化剂通过非电化学方法制备,实际反应中的电位与电流可能引发未经历的结构演变。
基于这些限制,原位与工况表征技术成为可靠理解催化机制、建立准确构效关系的重要工具。它们能够实时监测催化剂在反应过程中的动态演变,并为理论模拟提供更具代表性的结构模型,从而更全面地揭示催化行为的本质。

图4:多相电催化过程的传统模型示意图(A1)和多相电催化反应中具有表面重构的现有模型(A2)DOI:10.1016/j.chempr.2024.10.012


原位/工况X射线吸收光谱(XAS)
XAS是一种利用同步辐射光源,通过测量特定元素对X射线的吸收系数随能量的变化,来探测该元素原子周围局域结构和电子态的谱学技术。它具有元素选择性,且对物质的晶态或非晶态不敏感。
XAS谱图主要分为两部分:
X射线吸收近边结构(XANES):吸收边附近的区域,提供了中心原子的氧化态和配位环境对称性等电子结构信息。
扩展X射线吸收精细结构(EXAFS):吸收边之后的高能区,其振荡结构携带了中心原子周围的配位数(CN)、键长(R)和无序度(Debye-Waller因子)等精确的局域原子结构信息。

图5 X射线吸收光谱的分析及其相关物理过程DOI:10.1002/anie.202211949
表1 X射线吸收光谱各个区域的主要分析作用DOI:10.1002/anie.202211949

原位/工况XAS实验设计
设计一个适用于XAS测量的工况电化学池。这类池子通常使用对X射线透明的窗口材料(如Kapton薄膜),并集成工作电极、参比电极和对电极,同时包含电解液的流动通道以排除气泡和更新反应物。
将电化学工作站与同步辐射光源的光束快门和探测器进行信号同步,实现“施加一个电位,采集一张谱图”的工况。

图6 (a)用于荧光模式XAS测量的大容量电化学池(b)带有持续电解液流动功能的电化学池,适用于透射与荧光双模式XAS测量。DOI:10.1021/acs.chemrev.0c00396
原位/工况XAS数据处理
数据预处理:使用Athena等软件对原始数据进行能量校准、背景扣除和归一化处理。这是后续所有定量分析的基础。
XANES定量分析
价态判断:通过比较吸收边的位置与标准样品(如金属单质、不同价态的氧化物)的吸收边位置,可以半定量地判断价态变化。吸收边向高能方向移动,通常表示氧化态升高。
线性组合拟合(LCF):如果催化剂中存在多种价态的混合,可以使用已知价态的标准样品谱图,对实验谱图进行线性组合拟合,从而定量计算出不同价态物种的比例。这对于研究反应中价态的动态演变至关重要。

图7 LCF分析显示了数据中Cu(II)向Cu(I)还原过程的动力学。DOI:10.1016/j.cattod.2019.01.040
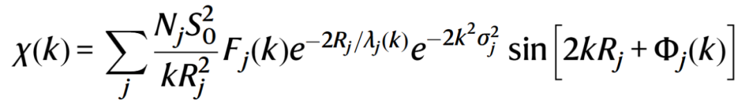
EXAFS定量分析
傅里叶变换:将归一化后的EXAFS振荡信号(在k空间)进行傅里叶变换,得到径向分布函数(在R空间),其峰位对应于不同配位壳层的原子距离(未经过相校正),峰高则与配位数相关。
模型拟合:这是最关键的一步。使用Artemis软件,基于EXAFS方程,通过拟合实验数据来定量提取结构参数。

N是配位数,S02表示振幅减少因子,0.7-1.0,R表示平均原子间距,σ2是无序因子。
首先,需要用FEFF程序理论计算出可能的散射路径(如中心原子–第一近邻氧原子)的散射振幅F(k)和相移δ(k)。然后,在Artemis中设定拟合模型,将配位数(CN)、键长(R)和Debye-Waller因子(σ²)作为可变参数进行拟合。通过比较不同电位下的拟合结果,就可以精确知道键长、配位数的变化。

图8 Pd(a)和Ni(d)边的非原位和原位XANES光谱。Pd(b)和Ni(e)边的原位FT-EXAFS光谱。Pd/γ-NiOOH的Pd(c)和Ni(f)边的EXAFS拟合。DOI:10.1039/D0CY01815E


原位/工况振动光谱:拉曼(Raman)与红外(IR)
拉曼光谱和红外光谱都属于振动光谱,它们通过探测分子的振动来获取“分子指纹”,从而识别化学键和官能团。
红外光谱(IR):基于分子振动引起的偶极矩变化对红外光进行选择性吸收。
拉曼光谱(Raman):基于分子振动引起的极化率变化导致入射光发生非弹性散射。
两者遵循不同的选择定则,因此是互补的。在电催化中,为了增强对电极表面微量物种的探测灵敏度,通常采用表面增强技术,即表面增强红外吸收光谱(SEIRAS)和表面增强拉曼光谱(SERS)。

图9 电化学界面在SEIRAS和SERS实验中的示意图:IHP和OHP分别代表内Helmholtz平面和外Helmholtz平面。R和P分别代表反应物和产物。DOI:10.1016/j.isci.2020.101776
原位/工况拉曼数据处理
Operando拉曼光谱的定量分析流程尤为重要,设计带有透明窗口(如石英)的电化学池,并确保激光能够聚焦在工作电极表面,同时电极表面需具备SERS活性(如粗糙化的Au、Ag或修饰了Au/Ag纳米颗粒)。
基线校正:由于荧光背景的存在,原始谱图的基线通常是倾斜或弯曲的。常用的方法包括多项式拟合、迭代形态学算法(如Asymmetric Least Squares, arPLS)等。在MATLAB、Python (如RamanSPy库)或Origin中都有相应的工具或算法实现。
归一化:为了比较不同谱图的相对强度,可以选择一个基本不随反应变化的谱峰(如电解质的某个峰)或谱图总强度进行归一化。
峰反卷积(Peak Deconvolution):当多个中间体的振动峰重叠在一起时,需要使用高斯(Gaussian)、洛伦兹(Lorentzian)或Voigt函数对重叠的峰进行拟合,从而分离出每个独立的峰,并获得其准确的峰位、峰高和峰面积。
定量分析与活性关联:峰位的移动(Stark效应)可以反映分子与电极表面相互作用的强度或局部电场的变化。在理想情况下,特定中间体的拉曼峰积分强度与其在电极表面的覆盖度(Surface Coverage,θ)成正比。

图10 (A)FePc、Fe-N-C催化剂在ORR电催化过程中的原位拉曼光谱分析(B)和(C)FePc/C催化剂在酸性溶液与碱性溶液中进行ORR反应时的原位拉曼光谱(D)F–Fe–CoP的原位拉曼光谱(上图)及其成像图(下图)(E)CoP的原位拉曼光谱(上图)及其成像图DOI:10.1039/d4sc02853h


原位/工况电镜
原位电镜能够让我们直接看到催化剂在电化学反应过程中的动态演变。例如:纳米颗粒的尺寸变化、团聚或溶解。催化剂表面的原子级重构,如无定形层的形成。单个原子在载体上的迁移或脱离。枝晶的生长或腐蚀过程。这些直观的动态信息对于理解催化剂的稳定性和失活机制至关重要。
原位电镜包括原位液体透射电镜(in-situ liquid-cell TEM)、原位冷冻电镜(cryo-EM in-situ)、原位透射电镜(in-situ TEM)、原位扫描电子显微镜(in-situ SEM)、原位原子力显微镜/电子显微镜耦合(in-situ AFM-TEM)等。

图11 10个循环电流中,电极的沉积/剥离的STEM图像。DOI:10.1021/acsnano.7b05513
液体池设计:现代的工况TEM电化学实验依赖于一种特殊的样品杆,其顶端集成了一个微型电化学池。该池由上下两片带有电子透明窗口(通常是氮化硅薄膜,SiNx)的芯片组成,将几十到几百纳米厚的液层密封在真空的电镜中。
微电极:在芯片的氮化硅膜上通过微纳加工技术沉积好工作电极(WE)、参比电极(RE)和对电极(CE)。电极材料需要兼顾导电性、稳定性和电子透明度,例如Pt、Au或新型的氮化钛(TiNx)。
电路连接:微电极通过芯片上的导线连接到样品杆,再从样品杆外部引出,接入电化学工作站,实现对池内电位的精确控制。



图12 原位液体电化学样品杆
数据分析
图像/视频处理:对连续采集的TEM图像序列进行漂移校正、降噪处理。
结构演化追踪:通过图像分割和粒子识别算法,可以定量追踪纳米颗粒的尺寸分布、形貌参数(如圆度)、平均间距等随时间和电位的变化。
原子级动态分析:对于原子分辨率的图像,可以追踪单个原子的运动轨迹,或通过晶格条纹的傅里叶变换(FFT)分析局部晶体结构的演变。
与电化学数据同步:将视频的每一帧与同步记录的电流–时间曲线对应起来,可以精确地分析某个电流的突变是由哪种结构变化(如颗粒脱落)引起的。
【高端测试 找华算】
华算科技是专业的科研解决方案服务商,精于高端测试。拥有10余年球差电镜拍摄经验与同步辐射三代光源全球机时,500+博士/博士后团队护航,保质保量!
🏅已助力5️⃣0️⃣0️⃣0️⃣0️⃣➕篇科研成果在Nature&Science正刊及子刊、Angew、AFM、JACS等顶级期刊发表!
👉立即预约,抢占发表先机!
