

说明:本文华算科技将从原位实验和同步辐射XAS出发,深入解析XANES、EXAFS的具体应用,以及原位XAS如何与SEM、EDS、XPS、原位拉曼协同作用,分析配位结构,追踪动态循环,解析催化剂动态密码。
同步辐射XAS是一种基于X射线与物质相互作用的光谱技术。当X射线照射到样品上时,原子的内层电子会被激发到更高的能级,从而产生吸收边。
XAS通常分为两个主要部分:X射线吸收近边结构(XANES)和扩展X射线吸收精细结构(EXAFS)。
XANES主要反映原子的氧化态、电子结构和对称性等信息,而EXAFS则提供原子间的距离、配位数等结构信息。

同步辐射光源是XAS技术的核心。同步辐射装置自1947年发现以来,经历了四代的发展,目前第三代同步辐射光源是主流。
同步辐射光源能够提供高亮度、高能量且波长连续可调的X射线束,满足实验对高强度X射线的需求。
同步辐射光源的高亮度和高单色性使得XAS技术能够在极短的时间内获得高分辨率的光谱数据,这对于研究动态过程中的材料结构变化至关重要。
原位同步辐射XAS技术具备卓越的元素选择性,这一特性使其在复杂体系的研究中脱颖而出。
在实际的材料研究中,常常会遇到包含多种元素的复杂体系,而原位同步辐射XAS技术能够通过选择特定元素的吸收边,有针对性地对目标元素进行分析。
即使存在其他多种元素,XAS技术也能精准地聚焦于目标元素,获取其周围原子的种类、配位数、原子间距等信息,而不会受到其他元素的干扰,实现对特定元素微观结构和电子态的深入剖析,为研究多元素体系中各元素的作用机制提供了有力手段。
X射线吸收精细结构(XAFS)仅反映中心原子周围几个配位壳层的结构信息,这种对局部结构的专注,使得XAS能够深入研究非晶态材料、纳米材料以及生物大分子等特殊体系。
XAS可以捕捉到短程有序信息,揭示原子间的近邻关系和化学键特征,也可以精确探测到纳米材料表面和内部原子的局域结构变化,在材料研究中具有重要意义。
原位同步辐射XAS的原位表征能力是其另一大突出优势。通过结合高温、高压、溶液等原位样品池,该技术能够在真实反应条件下对材料的结构进行实时追踪。

通过该方法,可以真实反映电池在工作状态下的结构变化,实时监测电极材料中元素的价态变化、原子配位环境的改变等信息,从而深入了解反应的机理,为性能的优化提供直接的实验依据。

DOI:https://doi.org/10.1038/s41560-025-01883-w
在这里,作者在反应过程原位生成二氧化碳还原反应中的催化剂,并通过原位Raman与同步辐射XAS验证了其可逆性,有效的抑制了结构失活,实现了CO2到CH4的高效、稳定电化学转化。
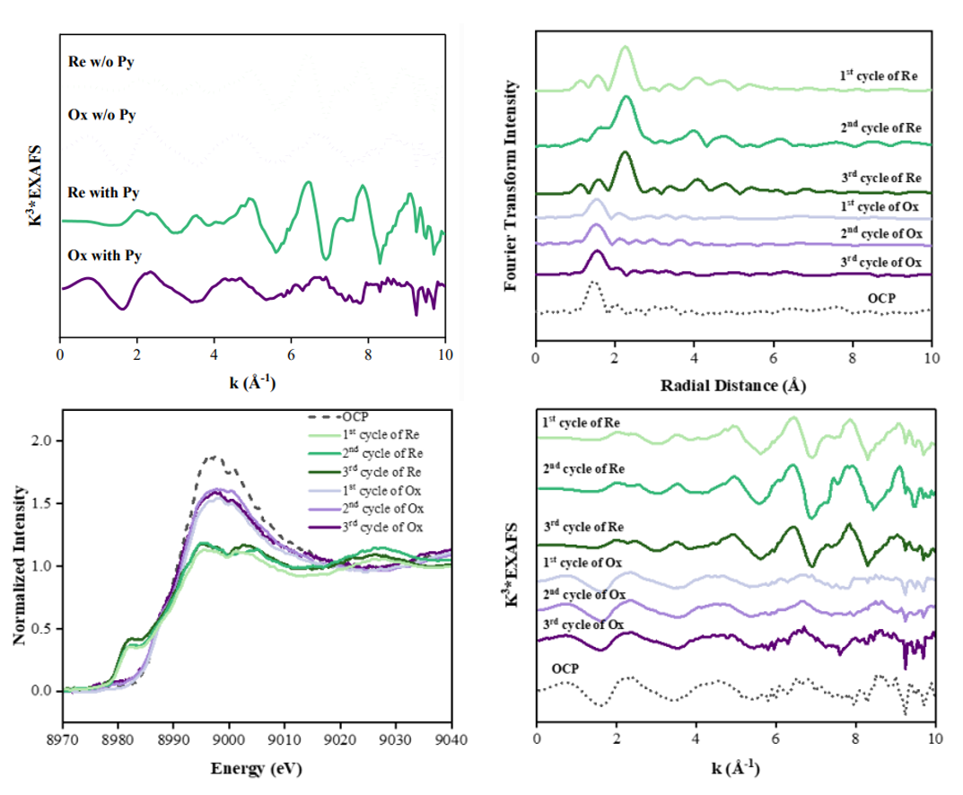
还原后Cu的K边XANES光谱吸收边位置介于Cu foil和氧化亚铜之间,通过线性组分分析得出,其组成约为36.1%的Cu+和63.9%的Cu0。这一结果直接证明还原过程中形成的Cu基催化剂并非单一价态,而是Cu0与Cu+的混合物,且无Cu2+存在。
进一步观察还原后催化剂的EXAFS傅里叶变换光谱图,其中出现了两个关键峰,一个对应Cu-Cu键,另一个对应Cu-O键,由此确认了Cu0与Cu+的共存,且两种价态的Cu形成了分散的纳米颗粒。

在开路电位(OCP)下,催化剂的XANES光谱特征与Cu2+相似,当施加还原电位后,吸收边迅速向低能量方向偏移,且峰形逐渐与金属Cu和Cu2O的标准谱接近——这表明电解液中的Cu2+被还原为Cu0/Cu+混合相,并沉积在Ag基底上。
从EXAFS谱图可以看出,在还原过程中Cu-Cu键和Cu-O键的特征峰逐渐增强,且峰强随还原循环次数增加保持稳定,这证明每次还原过程中Cu2+都会定量地转化为Cu0/Cu+混合相,且形成的催化剂结构一致,无明显团聚或结构劣化。
当电位切换为氧化电位时,原位XAS谱出现反向变化,即XANES吸收边向高能方向偏移,逐渐恢复到OCP下Cu2+的特征,EXAFS中Cu-Cu和Cu-O键的特征峰逐渐减弱直至消失,表明沉积的Cu基催化剂被氧化为Cu2+,并溶解回电解液中。
继续进行原位实验可以发现,还原阶段荧光强度下降,氧化阶段荧光强度回升,这种周期性变化,直接证明了Cu2+在“电解液–基底”之间的可逆迁移,完美验证了催化剂的动态循环性。

通过对比有Py与无Py条件下的原位EXAFS谱,发现二者的Cu-Cu键和Cu-O键特征峰位置与强度几乎一致。
同时,XANES谱也显示,Py的加入未导致Cu吸收边位置偏移,这证明Py仅作为配体稳定电解液中的Cu2+,不会改变还原后Cu基催化剂的化学状态,排除了Py的干扰。

除了单一的XAS技术之外,XAS与其他表征技术的结合对于分析材料性质来说具有极大的帮助。
从扫描电子显微镜(SEM)可以观察到,还原后Ag基底上出现分散的纳米颗粒,氧化后这些颗粒消失,基底恢复为原始的形貌,这直观证明了还原沉积Cu颗粒,氧化溶解Cu颗粒的形貌变化。
进一步通过EDS验证元素分布,可以看出还原阶段Ag基底上的Cu呈现均匀分散,无团聚,而氧化阶段的Cu几乎没有,这证明了Cu的循环。

XPS结果显示,还原后电极中,Cu2p3/2的峰位于932.4eV,Cu2p1/2的峰位于952.2eV,这是Cu0与Cu+的特征峰,且无Cu2+的卫星峰(942eV附近),证明表面无Cu2+存在,这一结论与XAS一致。

原位拉曼结果显示,在还原电位下,出现了CO的线性吸附峰和C-H键的伸缩振动峰,这证明Cu基催化剂能有效活化CO2生成CO中间体,并进一步加氢生成CH4,这一点与XAS结果互为验证。

通过本次解读的文章可以看出,同步辐射XAS不再是辅助表征,而是贯穿整个研究的核心。
从非原位实验锁定催化剂的化学状态,到原位实验追踪动态循环,再到与其他表征协同提供的完整信息,同步辐射XAS的每一步应用都直接支撑了反应的科学性与可行性。
足以证明,同步辐射XAS将成为解析催化剂动态密码的核心工具,助力更多高效、稳定的CO2转化策略问世。
华算科技是专业的科研解决方案服务商,精于高端测试。拥有10余年球差电镜拍摄经验与同步辐射三代光源全球机时,500+博士/博士后团队护航,保质保量!
🏅已助力5️⃣0️⃣0️⃣0️⃣0️⃣➕篇科研成果在Nature&Science正刊及子刊、Angew、AFM、JACS等顶级期刊发表!
👉立即预约,抢占发表先机!



