电子顺磁共振技术(EPR):原理、测试与数据分析及避坑点

1.EPR的原理简介

EPR是一种能够检测和研究含有未成对电子顺磁性物质的波谱技术。
电子有两种基本运动方式:电子绕原子核轨道运动,还有自旋运动。
电子顺磁共振技术(EPR):原理、测试与数据分析及避坑点
在运动过程中会产生轨道磁矩和自旋磁矩,没有外磁场相互作用时,电子的磁矩随机定向,能级兼并。一旦样品置于含有比较大的外加磁场的样品腔中时,电子自旋就会产生能级分裂,其中大部分电子会顺着磁场方向排列。
电子顺磁共振技术(EPR):原理、测试与数据分析及避坑点
这些样品在合适的磁场下都能吸收电磁辐射。对样品在垂直于磁场B的方向上施加频率为v的微波,当频率和外加磁场满足以下条件时:
当hv = gbB时,未成对电子会吸收微波能量,产生从低能级到高能级的共振跃迁,那EPR谱仪就会检测到这个过程中产生的共振吸收峰,经过一次微分就得到了我们常见的EPR图谱。其中h是普朗克常数,v是频率,g是一个常数,b是玻尔磁子,B是外加磁场。
电子顺磁共振技术(EPR):原理、测试与数据分析及避坑点

 

 

2.EPR图谱的坐标介绍

横坐标一般有三种:
1. B,单位为mT;
2. Magnetic Field,单位为Gauss或G;
3. g value。
电子顺磁共振技术(EPR):原理、测试与数据分析及避坑点
电子顺磁共振技术(EPR):原理、测试与数据分析及避坑点

 

3.EPR谱的线型、线宽

线型
电子顺磁共振技术(EPR):原理、测试与数据分析及避坑点
EPR的图谱线型可以是高斯线型,也可以是洛伦兹线型。在拟合中用拟合软件可以分别做高斯和洛伦兹拟合,判断拟合度来确定线型。
线宽
电子顺磁共振技术(EPR):原理、测试与数据分析及避坑点
EPR谱的线宽是一个峰的最高点与最低点之间的距离∆B,单位为mT或G。

 

4.EPR谱的g因子

单峰的g因子是上部分峰和下部分峰中心对应的磁场。
电子顺磁共振技术(EPR):原理、测试与数据分析及避坑点
双峰的g因子是两个峰中心处对应的磁场。
电子顺磁共振技术(EPR):原理、测试与数据分析及避坑点
多峰的g因子则是中心的峰中心对应的磁场。(对称多峰)
电子顺磁共振技术(EPR):原理、测试与数据分析及避坑点
g因子主要是测缺陷空位等时候判断,针对的主要是固体材料的EPR谱分析。
5.EPR测试常见自由基以及分析方法
电子顺磁共振技术(EPR)可以检测光催化剂生成羟基自由基(•OH)、超氧自由基(O2-•)、单线态氧(1O2)等自由基。一般都是在液体中检测它们。
EPR测试自由基的捕获剂以及测试方法
电子顺磁共振技术(EPR):原理、测试与数据分析及避坑点
DMPO捕获超氧自由基在测试前鼓氧1-2min;BMPO在水体系中可同时捕获羟基自由基和超氧自由基但信号很难区分;PBN捕获硼基自由基,测试前溶液充氯(时间视反应而定)。捕获剂现配现用,打光前加入。
自由基的EPR谱图主要看峰的个数、线宽、Nβ、Hβ、ANβ和AHβ。
电子顺磁共振技术(EPR):原理、测试与数据分析及避坑点
电子顺磁共振技术(EPR):原理、测试与数据分析及避坑点
常见自由基的峰形和线宽、Nβ、Hβ、ANβ和AHβ。将测试的峰的参数和标准图谱比对。
6.EPR测试固体材料
电子顺磁光谱学是检测和表征纳米材料中空位的一种直接而先进的技术。它提供了材料表面和大部分材料上未配对电子的指纹信息。它是一种非常常见的方法来识别单电子捕获,具有相当的灵敏度。
主要获取信息:
1.未成对电子的存在与浓度:探测自由基、过渡金属离子、晶格缺陷,根据信号强度估算其浓度。
2. 电子结构与局部环境:g因子与超精细常数(A值)反映电子配位环境。
3. 晶格缺陷与杂质分析:定位结构缺陷与杂质离子,有助于理解材料性能。
4. 磁性特征研究:揭示顺磁性中心类型与分布,支持磁性材料设计。
5. 电子局域化程度评估:谱线形状与宽度用于判断电子的局域化或离域化行为。
6. 电子动力学行为监测:变温EPR用于研究电荷转移动力学、电子跃迁过程。
例1:EPR测定材料缺陷空位(氧空位、氮空位、硫空位等)
氧空位(简称OV)
电子顺磁共振技术(EPR):原理、测试与数据分析及避坑点
不同赤铁矿样品的 EPR 光谱。缺氧样品的EPR光谱显示出g = 2.003 的强信号,这是因为电子被困在缺陷位点上。这一结果证实了在NaBH4还原赤铁矿的过程中存在大量的氧空位,而且 EPR 信号越强,赤铁矿样品中的OV浓度越高。并进一步通过正电子湮没技术(PAL)、X射线吸收精细光谱(XAS)表征对氧空位结构进行了佐证。
源文献:Environ. Sci. Technol. 2023, 57, 33, 12453–12464
电子顺磁共振技术(EPR):原理、测试与数据分析及避坑点
电子顺磁共振 (EPR)光谱法阐明退火气氛对改变不同In2O3样品中氧空位含量(或数量)的影响,其依据是催化剂中的表面氧空位可以捕获单个电子。在空气中制备的In2O3几乎检测不到任何信号,而在P-In2O3和 R-In2O3中则观察到了位于g = 2.001 的显著峰值,这表明在NH3和 H2气氛中制备的In2O3样品中的氧空位浓度要高得多。这一结果与XPS 结果一致。R-In2O3的峰值强度比P-In2O3强,表明 H2气氛最有利于产生更多的氧空位。
源文献:ACS Catal. 2023, 13, 6, 4021–4029
氮空位(简称NV)
电子顺磁共振技术(EPR):原理、测试与数据分析及避坑点
采用缺陷工程铟(In)单原子光催化剂,使C3N4具有氮空位(NV)缺陷。分析电子顺磁共振(EPR)光谱和X射线光电子能谱(XPS)光谱确定了潜在NV位点的存在和识别。所有样品都显示出以2.0043的兰德因子(g)值为中心的类似EPR信号,表明在对共轭CN芳环上存在相同类型的未成对电子。尽管In-NV-CNF中的In含量(1.85 wt%)和 In NPs/CN 中的In含量(1.31 wt%)非常相似,但In-NV-CNF中的洛伦兹线强度明显高于In NPs/CN。这表明,In-NV-CNF中强度的增加很可能是NV形成的结果,NV 可以通过 CN 的脱局域 π 共轭网络向sp2碳原子提供非配对电子。
源文献:Adv. Mater. 2024, 36, 2309205
硫空位(简称SV)
电子顺磁共振技术(EPR):原理、测试与数据分析及避坑点
通过硫化物蚀刻 NiCo-MOF,并在 H2/Ar气氛下退火制备了 NiCo-S 纳米片(记为NiCo-SV-x,x 代表硫空位的浓度)。电子顺磁共振(EPR)光谱验证了不同浓度硫空位的存在。在连续变化的磁场中,NiCo-MOF 和 NiCo-S 都几乎没有信号响应。与此相反,NiCo-SV-2.6%、NiCo-SV-4.2%和NiCo-SV-7.7%产生了不同强度的信号响应,显示出g值为2.004的全峰值信,这与来自硫空位的未配对电子有关。这些缺陷可能导致空位周围的原子重新排列,形成局部不稳定区域,从而增强了电化学反应的活性位点。
源文献:Adv. Funct. Mater. 2024, 34, 2315714
例2:EPR测定TiO2信息
电子顺磁共振技术(EPR):原理、测试与数据分析及避坑点
文献详细介绍了TiO2不同晶相中固体EPR信号的数据分析:包括锐钛矿和金红石中的Ti3+的信号、-O•–自由基的信号、氧空位的信号等。
ACS Catal. 2019, 9, 345−3
7.EPR测试自由基的常见问题
1.一般仪器测试参数设置
中心磁场3500.00 G;扫场宽度为150.00 G;扫场时间为30.00 s;
微波功率为3.99 mW;调制幅度为1.000 G;转换时间为40.0 ms。
2.在水中测试自由基,信号可能会重叠的有哪几种
羟基自由基(·OH)、超氧自由基(O₂·⁻)、过氧化氢自由基(·OOH)、硫酸根自由基(SO4·2-)四种自由基的信号可能会重叠,特别是某一个自由基信号特别强的时候,其他信号可能会被完全淹没消失。前两者在水中基本很难测到,受羟基自由基影响较大。
3.为什么在水中很难测到超氧自由基和过氧化氢自由基的EPR信号
在水溶液中,羟基自由基(·OH)也具有很高的反应性,可能与超氧自由基发生反应,生成过氧化氢(H₂O₂)等物质。且DMPO捕获羟基自由基的速率大于超氧自由基。此外,羟基自由基与常用的捕获剂(如DMPO)形成的加合物在EPR谱图中可能与超氧自由基的信号重叠,导致难以区分。
4.EPR测试液体光催化系统自由基的光照时间长短问题?
这是一个很复杂的问题,属性和光照强度一样,时间短了,信号弱,时间长了,可能连捕获剂都参与反应了,也会导致信号变弱。光强太弱,信号弱,强了会导致捕获剂变质也会导致信号弱。不同体系的反应模式、反应性、捕获剂量都是不太一样的,光照时间需要预先先摸条件。
实验设计建议:
光照前后对比:在进行EPR测试时,建议分别在光照前和光照后采集谱图,以比较自由基的生成和消失情况。
多时间点采样:为监测自由基浓度随时间的变化,可在不同的光照时间点采集EPR谱图,观察信号强度的动态变化。
捕获剂浓度的使用:使用不同浓度的自由基捕获剂测试摸索最佳捕获剂浓度,浓度低会导致信号太弱。
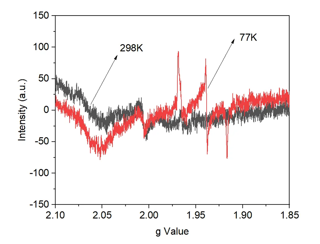
8.为什么EPR测试最好要低温(液氮)?
电子顺磁共振(EPR)测试在低温条件下通常能获得更好的信号质量和更准确的结果,原因主要与以下几个方面相关:
1. 自由基的稳定性增强
自由基通常具有较短的寿命,并且在常温下往往反应性较强,容易与其他分子发生反应,导致信号衰减或消失。而低温条件下,自由基的反应速率通常会降低,寿命会延长。通过降低温度,尤其是液氮温度(约77K),自由基的运动速度变慢,它们与周围分子的碰撞几率减少,因此更能保持自由基的稳定性,从而提高EPR信号的强度和清晰度。
2. 信号强度增强
在较低温度下,自由基的热运动减少,它们的自旋极化也更稳定,能够更好地与外部磁场相互作用,产生更强的EPR信号。低温下,自由基的运动变得更加有序,增强了自旋共振的信号强度,有助于提高谱图的清晰度和分辨率。
3. 抑制热噪声
在常温下,分子振动会产生热噪声,干扰EPR信号的测量。热噪声在低温下得到抑制,导致信号与噪声的比值提高,从而提高了测量的信噪比。EPR在低温下测试能够有效减少热扰动,使信号更加明显,且更容易观察到较弱的自由基信号。
4. 提高自由基的探测灵敏度
低温可以延长自由基的寿命,使其在EPR谱图中存在的时间更长,有利于提高探测灵敏度,特别是对于那些反应性强、寿命极短的自由基。例如,OH自由基、烷基自由基等,它们在常温下可能迅速消失,而低温环境下,它们的寿命较长,从而能被更清楚地探测到。
5. 降低副反应的干扰
在常温下,分子之间的热碰撞可能引发自由基与溶剂或其他化学物质的反应,导致信号的损失或干扰。低温下,这些副反应发生的几率显著降低,从而减少了信号的消失和谱图的复杂性。
电子顺磁共振技术(EPR):原理、测试与数据分析及避坑点

 

 

本文源自微信公众号:材料er

原文标题:《电子顺磁共振技术(EPR):原理、测试与数据分析及避坑点》

原文链接:https://mp.weixin.qq.com/s/6PXqwAXdFsncrxv4U3x8Ow

本转载仅出于分享优质测试干货,旨在传递更多观点,并不代表赞同其全部观点或证实其内容的真实性。文章中所包含的图片、音频、视频等素材的版权均归原作者所有。如有侵权请告知删除。

(0)
上一篇 2025年10月16日 上午10:57
下一篇 2025年10月30日 上午9:53

相关推荐