费米能级(Fermi Level)是固体物理学中描述材料中电子能量分布的重要概念。它是指在绝对零度(0 K)下,电子填充能带的最高能量水平。简单来说,费米能级是一个标志性的能量值,决定了电子在固体中如何分布,并对材料的电导性、热电性质、磁性等性质有重要影响。
费米能级的定义
-
绝对零度下的电子能量分布:在绝对零度(0 K)下,固体中的电子将占据最低的能量态,直到填满所有能量较低的状态为止。费米能级是这些填充能态中的最高能量。也就是说,在0 K时,所有低于费米能级的能态都会被电子占据,而所有高于费米能级的能态则是空的。
-
对于金属、半导体和绝缘体的不同表现:
-
金属:金属中的费米能级位于导带内或者导带非常接近费米能级。即使在绝对零度下,金属中的部分电子也会处于导带,可以自由移动,这使得金属具有良好的导电性。
半导体:半导体的费米能级通常位于价带和导带之间,但比导带远很多。绝对零度下,导带是空的,而价带是满的。随着温度的升高,电子可以从价带跃迁到导带,使得半导体具有一定的导电性。
绝缘体:在绝缘体中,费米能级位于价带和导带之间的一个大的带隙中。由于带隙较大,即使在较高温度下,电子也难以跃迁到导带,因此绝缘体几乎不导电。
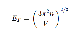
数学表达
费米能级 与材料的电子密度、能带结构等因素相关。对于金属中的电子气体,费米能级的计算可以基于电子的统计分布:

其中:
是单位体积中电子的数目(电子密度)。
V是材料的体积。
对于半导体,费米能级受温度和掺杂浓度的影响。在半导体中,费米能级通常由材料的电子和空穴浓度来决定。
物理意义
-
电子的行为:费米能级在一定程度上反映了电子的行为。在金属中,电子会在费米能级附近自由移动,而在半导体和绝缘体中,电子则需要克服一定的能量障碍才能进入导带。
-
导电性:
-
金属中的电子在费米能级附近具有足够的自由度来参与导电。
半导体的导电性取决于费米能级相对于导带和价带的位置。掺杂可以调节费米能级,进而控制半导体的导电性。
-
热效应:
-
在非零温度下,电子会根据费米-狄拉克分布进行统计分布。即使在温度升高时,电子的分布也主要集中在接近费米能级的区域。随着温度升高,电子有更多的能量跃迁到费米能级以上的状态,影响材料的电导性和热导性。
费米能级的影响因素
-
温度:
-
在常温下,电子的分布会受费米-狄拉克分布的影响,温度升高时,电子可以从低能态跃迁到高能态,因此,费米能级附近的电子状态变得不再完全被填满。
-
掺杂:
-
半导体材料中,通过掺入杂质元素,可以改变材料的电子浓度,从而改变费米能级的位置。例如,掺入施主杂质会将费米能级向导带方向推移,而掺入受主杂质则会将其向价带方向推移。
-
外部电场和应力:
-
外部施加的电场或应力也会影响材料的电子带结构,从而影响费米能级。
费米能级与其他能级的关系
导带:电子从价带跃迁到导带时,获得了自由电子的特性,可以导电。
价带:包含了化学键合的电子,在绝对零度下,所有低于费米能级的能态都是由价电子占据的。
带隙:对于半导体或绝缘体,导带和价带之间存在一个能量差,即带隙。费米能级位于带隙内时,材料的导电性受到限制。
费米能级对材料的物理化学性质有着深远的影响,特别是在材料的电学、热学、光学以及化学反应活性等方面。以下是费米能级对不同性质的具体影响:
1. 电导性
费米能级直接决定了材料的电子可用性,进而影响电导性。
金属:金属中,费米能级位于导带中或靠近导带,意味着费米能级附近有足够的自由电子可以参与导电。温度变化时,费米能级附近的电子可以自由移动,导致金属具备较高的电导性。
半导体:在半导体中,费米能级位于价带与导带之间的带隙中。掺杂可以改变费米能级的位置,从而改变载流子的浓度和电导性。对于n型半导体,费米能级向导带靠近;对于p型半导体,费米能级向价带靠近。
绝缘体:在绝缘体中,费米能级通常位于宽带隙的中间,电子很难跃迁到导带,因此它们的电导性非常低。
2. 热学性质
费米能级影响材料的热容和热导性。
在低温下,费米能级决定了能够参与热传导的电子数量。对于金属来说,费米能级附近的电子参与热的传递,因此热容与费米能级相关。
在高温下,电子会从费米能级附近的区域跃迁到更高的能态,从而改变热传导性质。
3. 化学反应性
费米能级还会影响材料的化学反应性,特别是在催化和表面化学中。
催化剂:费米能级的高低直接影响催化剂的电子密度和表面反应性。例如,在催化反应中,费米能级较低的材料可能会吸附和激发反应物,而较高的费米能级可能会导致不同的反应机制或抑制某些反应。
表面吸附:材料表面的电子结构(由费米能级决定)会影响气体分子或其他化学物质的吸附能力。较低的费米能级可能会导致更强的电子与分子间的相互作用。
4. 光学性质
费米能级在材料的光学响应中起着重要作用,尤其是在光吸收、发光等现象中。
对于半导体和绝缘体,费米能级的高低决定了电子是否能够跨越带隙吸收光子并跃迁至导带。因此,费米能级在光电效应中起到关键作用。
在光学吸收和发射过程中,费米能级与激发态的能级之间的差异会影响材料的光学带隙,进而决定材料的颜色、透明度以及光的吸收效率。
5. 热电效应
费米能级对材料的热电性能(如热电效率)有重要影响。热电材料通过温差转换为电能,而材料的费米能级决定了载流子(电子或空穴)的数量与输运特性。
热电材料:费米能级在热电材料中,特别是在半导体热电材料中起着决定性作用。调节费米能级的位置(通过掺杂)可以优化材料的电导率和热导率,从而提升热电性能。
6. 超导性
在某些材料中,费米能级与超导性之间存在密切关系。超导材料的电子结构决定了超导临界温度(TcT_c),而费米能级影响了电子对的形成和材料的临界温度。
高费米能级的材料通常会表现出更强的超导性,尤其是在高温超导材料中,费米能级的调控有助于提高超导转变温度。
7. 磁性
材料的费米能级对其磁性(如顺磁性、反磁性或铁磁性)有直接影响,尤其是对于含有未成对电子的材料。
铁磁材料:在铁磁材料中,费米能级附近的电子的自旋排列决定了材料的磁性。费米能级的微小变化可能影响到材料的磁性能。
8. 电子输运
费米能级对电子在材料中迁移的能力有直接影响。例如,在材料的界面或接触区,费米能级的匹配程度决定了电子的流动性。
界面效应:在异质结构或接触界面中,费米能级的差异可能导致电子积累或耗尽,从而影响界面的电导性。
本文源自微信公众号:材料er
原文标题:《什么是材料的费米能级》
原文链接:https://mp.weixin.qq.com/s/5utPnuORZnaiLJd91Ngn9A
本转载仅出于分享优质测试干货,旨在传递更多观点,并不代表赞同其全部观点或证实其内容的真实性。文章中所包含的图片、音频、视频等素材的版权均归原作者所有。如有侵权请告知删除。

