说明:本文华算科技深入探讨了电化学活性表面积(ECSA)的定义、理论基础、测量方法及其在能源领域的关键作用。通过阅读这篇文章,读者可以全面了解ECSA如何通过双电层电容法、欠电位沉积和CO剥离测试等方法进行精确测量,以及它在评估催化剂性能、优化电极材料设计和推动电化学技术发展中的重要性。
什么是电化学活性表面积?
电化学活性表面积(ECSA)是衡量单位质量催化剂实际参与电化学反应的表面积,通过电化学手段表征催化剂表面的活性位点密度。
与几何面积和比表面积(BET)不同,ECSA是通过电化学手段表征催化剂表面的活性位点密度。几何面积仅反映电极的宏观物理尺寸,而比表面积虽能测量材料的总表面积,但无法区分哪些区域能够参与反应。
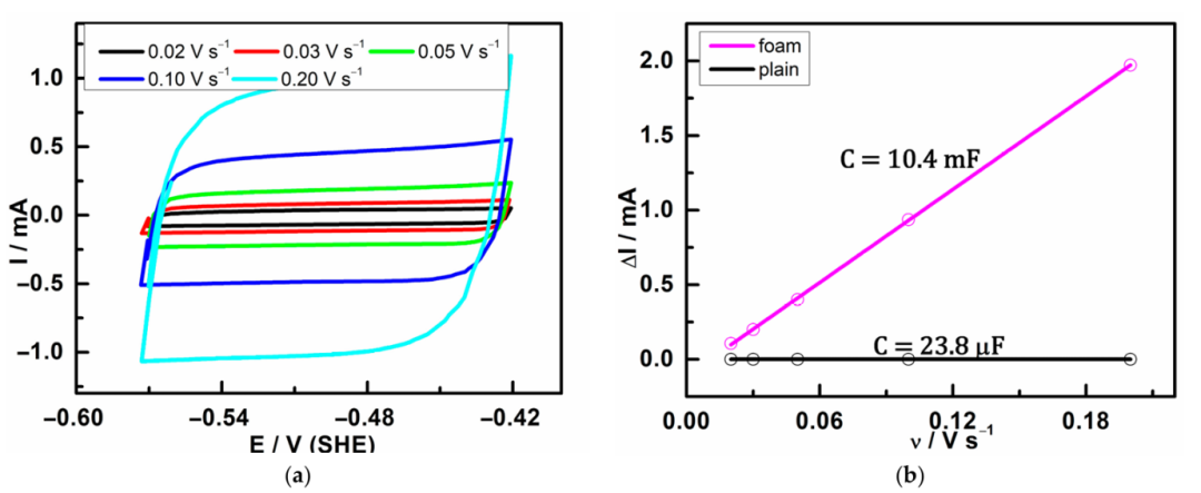
图1展示了在0.1M NaOH溶液中非法拉第区域的循环伏安(CV)曲线及电容电流与扫描速率的线性关系,通过该关系计算得到的双层电容值分别为平面Cu电极的23.8 ± 2 µF和3D Cu电极的10.4 ± 0.58 mF。充分证明3D Cu暴露出更多的活性位点,为催化反应的进行提供了基础,这也是其性能优异的关键所在。

图1:在不同扫描速率下CV图和电流变化与扫描速率的线性关系。DOI:10.3390/coatings13081335
ECSA的理论基础源于双电层电容(Cdl)与电极真实表面积的正相关性。当电极表面仅发生可逆的双电层充放电过程时,电容值与活性面积呈线性关系。这一原理为ECSA的测量提供了理论支撑,使其成为衡量电极材料参与电化学反应有效面积的关键指标。
如图2,双层电容法(Double-layer Capacitance,简称Cdl),首先通过在工作电极的非法拉第电流区间内进行不同扫速的CV测试,得到一系列相应的CV曲线,再分别取不同CV曲线中,中间电位上的两个电流密度之差的绝对值(|jcharge−jdischarge|)作为纵坐标,扫速作为横坐标,绘制散点图,将散点作线性拟合后,得到拟合直线,该直线斜率的一半即为Cdl值。
通过Cdl值可以进一步计算催化剂的电化学活性面积(Electrochemcial Active Surface Area,简称ECSA)。通常情况下:
ECSA=Cdl/Cs
式中Cs为比电容,碱性介质中Cs值一般取40 uF cm-2;酸性介质中Cs值一般取35-60 uF cm-2。

图2:双层电容和ECSA图。

为什么要测ECSA?

在能源领域,如燃料电池、电解水和腐蚀研究中,电化学活性表面积(ECSA)具有核心地位。ECSA的精确测量直接影响HER、HOR、ORR等催化反应中活性位点的利用率和稳定性评价。在燃料电池中,催化剂的活性位点数量直接影响催化效率和能量转换效率。
如图3,经过1000次和5000次加速应力测试后,燃料电池性能显著下降,且降解前后开路电压、ECSA和激活阻抗变化显著,而内阻和氢crossover变化不大。证明活性位点数量发生了变化,综上几项表征,燃料电池性能损失主要源于催化剂层降解。

图3:燃料电池的性能随着扫描循环次数的增加而变化图。DOI:10.1002/adma.202301504
ECSA是评估催化剂性能的关键指标,也是衡量电极活性位点数量的重要参数。通过测量双电层电容电流,可计算出ECSA。在电化学研究中,归一化电流密度是一种重要的数据处理手段。
将电极的电流密度除以其ECSA,可消除电极表面积差异对电流密度的影响,从而更准确地比较不同电极材料的本征活性。例如,即使同一种催化剂的物理表面积不同,ECSA归一化后的电流密度也能更真实地反映其活性差异,为电极材料性能评估提供可靠依据。
如图4,ECSA归一化电流密度图显示,PtPd-HEA的比活性显著高于其他HEA电催化剂,突出了其卓越的内在活性。

图4:ECSA归一化HER极化曲线。DOI:10.1021/acscatal.5c02126

电化学活性表面积的测量方法

双电层电容法(DLC)
双电层电容法是测量ECSA的常用方法之一,尤其适用于非贵金属催化剂。其基本原理是通过在工作电极的非法拉第电流区间内进行不同扫速的循环伏安(CV)测试,得到一系列相应的CV曲线。
具体步骤如下:
1)宽电压范围CV测试:在大的电压区间范围内,以中等扫速(如50mV/s)进行CV扫描。
2)观察电流响应情况:CV曲线呈现近似矩形,电流密度在0上下对称分布。如果发现干扰峰,尝试缩小或平移电压窗口,避开这些峰。
3)电化学活性面积计算:通过拟合得到的双电层电容推算ECSA。计算公式为:
ECSA=Cdl/Cs
其中,Cdl为双电层电容,Cs为相同条件下对应的表面平滑样品的比电容。
如图5,通过双电层电容法测定Cu10Ru-BTC的电化学表面积(ECSA),可以深入了解其在OER和超电容性能中的氧化还原活性。ECSA越高,催化剂的有效活性位点越多,OER性能越好。该方法通过在非法拉第范围内以不同扫描速率收集样品电流,绘制1.10 V处的电流与扫描速率图,其斜率即为Cdl,进而计算出ECSA。

图5:Cu10Ru-BTC的CV图和Cdl图。DOI:10.1039/D4MR00021H
欠电位沉积
近年来,欠电位沉积法(UPD)被用于评估催化剂的活性位点数量(NAS)和贵金属的表面修饰。尽管过渡金属二硫化物(TMD)的氢欠电位沉积区域不明显,但铜(Cu)的UPD已被用于TMD催化剂。
这是由于TMD具有孤立和不均匀的硫族化合物位点,表现出位点特异性的UPD沉积。相比之下,随机导电支架和均匀金属支架由于界面功能均匀,倾向于形成单层UPD沉积。
如图6,裸玻碳(GC)和GC负载的MoS2薄膜的铜UPD和过电位沉积(OPD)的循环伏安(CV)曲线,表明在TMD上存在明显的铜UPD现象。

图6:欠电位沉积图。DOI:10.1149/1945-7111/aba5d8
CO剥离测试(CO-stripping)
CO剥离测试是一种测量ECSA的有效方法。测试中,CO分子首先吸附在电极表面形成单层,随后通过循环伏安法提高电极电位,使CO氧化脱附,产生一个明显的氧化峰。该峰的电荷量与电极表面活性位点数量成正比,可用于计算ECSA。
此方法特别适用于贵金属电极(如铂、金),因为它们对CO有强吸附能力,能够准确反映电极表面活性面积,为性能评估和反应机理研究提供重要参考。
如图7为验证W物质促进质子在电极上转运的假设,在MEA装置中对比了不同相对湿度(RH,20%和100%)下CO剥离测试,以评估催化剂层的质子可及性(PA)。PA是低RH和高RH下ECSA的比率,反映质子传导和离子单体覆盖范围,以及质子到Pt粒子的距离。
测试结果显示,PtNi-W/C的PA和ECSA最高,这表明在干燥条件下,质子可以很容易地到达催化位点,W物质的加入显著提高了质子可及性,其中PtNi-W/C的PA比PtNi/C提高了34.7%。催化剂中额外孔隙的存在会影响质子可及性。
为了最大化质子可及性,实验中使用了Vulcan XC-72R炭黑而非多孔碳,消除了额外的质子导电孔。

图7:工业Pt/C、PtNi/C和PtNi-W/C在RH 20%、RH 100%条件下的CO剥离曲线及其它表征。DOI:10.1007/s40820-023-01102-9

总结

随着电化学技术的不断发展,ECSA的测量方法和应用领域也将不断拓展。未来的研究方向可能包括:
动态原位耦合技术:开发动态原位耦合技术,以实时监测ECSA的变化,为电化学反应机制的研究提供更深入的见解。
新型测量方法:探索新的测量方法,如基于纳米技术的高精度测量方法,以提高ECSA的测量精度和可靠性。
多尺度研究:结合微观和宏观尺度的研究方法,全面理解电极材料的表面特性与电化学性能之间的关系。
电化学活性表面积作为电化学研究中的一个重要概念,其重要性不言而喻。随着技术的不断进步,ECSA的研究将不断深入,为电化学技术的发展开辟新的道路。
【高端测试 找华算】
华算科技是专业的科研解决方案服务商,精于高端测试。拥有10余年球差电镜拍摄经验与同步辐射三代光源全球机时,500+博士/博士后团队护航,保质保量!
🏅已助力5️⃣0️⃣0️⃣0️⃣0️⃣➕篇科研成果在Nature&Science正刊及子刊、Angew、AFM、JACS等顶级期刊发表!
👉立即预约,抢占发表先机!

