目录
摘要
2. 等效电路模型简介
2.1 基本理论
2.2 等效元件及复合元件
2.3 等效电路模型
3. EIS在锂离子电池中的应用
3.1 电池电极过程动力学研究
3.2 材料性能研究
3.3 锂离子电池管理中的应用
总结
参考文献
摘要
电化学阻抗谱(electrochemical impedance spectroscopy, EIS)是一种重要的电化学测试方法,在锂离子电池动力学反应机理研究及动力学参数测量等方面具有广泛的应用。在锂离子电池运行过程中,各反应步骤的动力学参数及时间常数不同,而EIS可以在较宽的频率范围内对体系施加小幅正弦激励信号,使得在特定频率下突出特定时间常数的电极过程,从而将复杂的电极过程分离,实现单一电极过程动力学的分析。通过对交流阻抗信息的研究,也可以为锂离子电池及其他电池的应用与管理、电化学过程设计及电极材料开发与表征提供基本依据,最终服务于能量存储与转换器件的设计与开发。
1. 电化学阻抗谱简介
电化学阻抗谱是在电池处于平衡状态下(开路状态)或者在某一稳定的直流极化条件下,按照正弦规律施加小幅交流激励信号,研究电化学过程中的交流阻抗随频率的变化关系,这被称为频率域阻抗分析方法。另一类则通过固定频率,测量电池的交流阻抗随时间变化,称为时间域阻抗分析方法。锂离子电池的基础研究中更多采用频率域阻抗分析方法。电极过程中快速步骤的响应由高频部分的阻抗谱反映,而慢速步骤的响应由低频部分的阻抗谱反映,由此可以从阻抗谱中弛豫过程的时间常数的数量及其数值大小获得各个步骤的动力学信息和电极表面状态变化的信息。EIS具有很高的实用性,可实现宽频率范围(µHz-MHz)的电化学界面反应研究,因此可以分析反应时间常数存在差异的不同电极过程。
通过测定不同频率ω的扰动信号X和相应信号Y的比值,得到不同频率下阻抗的实部、虚部、模值和相位角,可绘制成各种形式的电化学阻抗谱,最常用的有奈奎斯特图(Nyquist plot)和波特图(Bode plot)。奈奎斯特图是以阻抗的实部为横轴、虚部的负数为纵轴绘制的曲线(图1a)。波特图则由两条曲线组成,其中的一条曲线描述阻抗模值随频率的变化关系,另一条曲线描述阻抗的相位角随频率的变换关系(图1b)。EIS数据能够进行有意义的分析需要待测电化学系统满足因果性、线性和稳定性3个基本条件,可以用Kramers-Kronig变换来判断阻抗数据的有效性。

图1 奈奎斯特图(Nyquist plot)和波特图(Bode plot)。
2. 等效电路模拟简介
2.1 基本理论
利用EIS研究电化学体系的基本思路如下:将一个电化学系统看作一个由电阻、电容、电感等基本元件按串联或并联等不同方式组合而成的等效电路,通过EIS测定等效电路的过程和各元件的大小,利用这些元件的电化学含义来分析电化学系统和性质。如果施加扰动信号X为角频率为ω的正弦波电流(电势)信号,则输出响应信号Y的正弦电势(电流)信号,此时,传输函数G(ω)也是频率的函数,称为频率响应函数(频响函数),即阻纳,用G表示,其是一个随ω变化的矢量,通常用角频率ω的复变函数来表示,即:

2.2 等效元件及复合元件
2.2.1 电阻R


因此,其在奈奎斯特图中表现为横轴上的一个点(图2a)。
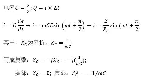
2.2.2 电容C


因此,其在奈奎斯特图中表现为与纵轴重合的一条直线(图2b)。
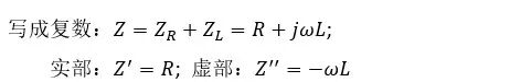
2.2.3 电感L

等效电感的参数值L是相应于单位电极面积的数值,单位为H cm2。等效电感也可以为负值,其他等效电感的特征与电学元件电感特征相同。

因此,其在奈奎斯特图中表现为一条在第四象限与虚轴重合的垂直直线(图2c)。

图2 (a)电阻、(b)电容和(c)电感在奎因斯特图中的示意图。
2.2.4 电阻R和电容C串联

因此,其在奈奎斯特图中表现为一条在第一象限中与实轴相交于R,与纵轴平行的垂直直线(图3a)。
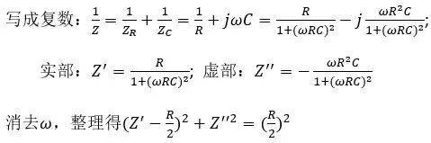
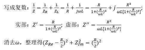
2.2.5 电阻R和电容C并联

因此,其在奈奎斯特图中表现为圆心为(R/2, 0),半径为R/2的半圆(图3b)。
2.2.6 电阻R和电感L串联

因此,其在奈奎斯特图中表现为一条在第四象限中与实轴相交于R,与纵轴平行的垂直直线(图3c)。
2.2.7 电阻R和电感L并联

因此,其在奈奎斯特图中表现为第四象限半径为R/2的半圆,被称为感抗弧(图3d)。

图3 (a)电阻R和电容C串联、(b)电阻R和电容C并联在奎因斯特图中的示意图;(c)电阻R和电感L串联、(d)电阻R和电感L并联在奎因斯特图中的示意图。
2.3 等效电路模型
为便于分析和讨论,将各电极过程以电路元件组成等效电路的形式来描述电极过程。等效模型的建立就是把电池简化为一个电路系统,从而模拟电池运行过程中的变化。典型的两电极测量体系等效电路如图4a所示。

图4 (a)典型的两电极测量体系等效电路及(b)简化电路。
其中,A和B分别代表研究电极和辅助电极,RA和RB分别表示研究电极和辅助电极的欧姆电阻,CAB表示两电极之间的电容,Ru表示两电极之间的溶液电阻,Cd和Cd‘分别表示研究电极和辅助电极的界面双电层电容,Zf和Zf‘分别表示研究电极和辅助电极的法拉第阻抗。若A、B均为金属电极,则RA和RB很小,可忽略;由于两电极之间的距离远大于界面双电层的厚度,故CAB比双电层电容Cd和Cd’小得多,当溶液电阻Ru不是很大时,由CAB带来的容抗远大于Ru,故CAB支路相当于断路,可忽略;此外,若辅助电极面积远大于研究电极面积,则Cd‘远大于Cd,此时,Cd‘容抗很小,相当于短路,故等效电路最终可简化为图4b。
鉴于电极过程的多步骤和复杂性,不同速率控制步骤下电极体系的等效电路不尽相同,有时可以进一步简化,常见的有如下三种情形。
2.3.1 传荷过程控制下的等效电路
暂态过程中由于暂态电流的作用使得电极溶液界面处存在双电层充电电流,该双电层类似于平行板电容器,可用Cd表示,相应的充电电流用ic表示。此外,界面处还存在着电荷传递过程,该过程可用法拉第电流if描述,由于电荷传递过程中的迟缓性,由if引起了电化学极化过电势,该电流-电势的关系类似于纯电阻上的电流-电势关系,因而电荷传递过程可以等效为一个纯电阻响应,用Rct表示。由于传荷电阻两端的电压是通过双电层荷电状态的改变而建立起来的,一般认为Rct与Cd在电路中属于并联关系,因此,传荷过程控制下的简化等效电路如图5所示。需要指出的是,这一模型基于传统锂离子电池体系中,电极在多数状态下的简化。充放电过程中,大量电荷存储在电极内,造成电容效应,称为化学电容Cchem,与Cd是串联关系。在实验上与Rct并联显示在阻抗谱半圆上的电容,取决于电双层电容、化学电容或两种电容之和中更低的电容值。

图5 传荷过程控制下的界面等效电路。
2.3.2 浓差极化不可忽略时的等效电路
暂态过程中,对于惰性电极,电极/溶液界面处存在的暂态电流能够诱发电化学反应,使得界面处不断发生反应物的消耗和产物的累积,出现反应物及产物的浓度差。随着反应进行,浓度差不断增大,扩散传质过程进入对流区,电极进入稳态扩散过程,从而建立起稳定的浓差极化过电势。由于浓差极化过电势滞后于电流,因此电流-电势之间的关系类似于电容响应,该过程可用纯电阻Rw串联电容Cw表示。该串联电路可用半无限扩散模型来模拟,如图6a所示。这种情况在电池中也会经常出现。
上述Rw和Cw的串联结构可用一个复数阻抗Zw表示,Zw可理解为半无限扩散阻抗。由于扩散传质过程和电荷传递过程同时进行,因而两者具有相同的电化学速率,在电路中应属于串联关系。一般在阻抗谱上表现为45°的斜线。在锂离子电池中,这一过程取决于电极材料颗粒的尺寸和孔隙率,Li+在电极材料内部的扩散或在电极层颗粒之间的孔隙或含孔颗粒内电解质相的扩散成为控制步骤。由于存在边界条件约束,往往显示出有限边界条件下的扩散。在浓差极化不可忽略的情形下,可以如图6b所示。有限边界条件下扩散的等效电路元件只是将Zw换为相应的等效电路扩散元件。

图6 (a)半无限扩散阻抗等效电路和(b)浓差极化不可忽略时的界面等效电路。
2.3.3 溶液电阻不可忽略时的等效电路
当溶液电阻不可忽略时,由于极化电流同时流经界面和溶液,因而溶液电阻与界面电阻应属于串联关系,典型的浓差极化不可忽略、溶液电阻不可忽略时的等效电路如图7所示。在锂离子电池中,活性电极多为多孔颗粒,有时电极的欧姆电阻也不可忽略,其与电解质电阻是串联关系,一般合并在一项中。

图7 包含4个电极基本过程的等效电路。
3. EIS在锂离子电池中的应用
3.1 电池电极过程动力学研究
3.1.1 基础理论
如图8a,锂离子电池体系充放电过程中,典型的动力学步骤有:
(1) 电子通过活性材料颗粒间的输运、Li+在活性材料颗粒空隙间电解液中的输运;
(2) Li+通过活性材料颗粒表面固体电解质界面膜(SEI膜)的扩散迁移;
(3) 电子/离子导电结合处的电荷传输过程;
(4) Li+在活性材料颗粒内部的固体扩散过程;
(5) Li+在活性材料中的累积和消耗以及由此导致活性材料颗粒晶体结构的改变或新相的生成。
锂离子电池可以理解为一个包含电阻、电感和电容的电路系统,等效模型的建立就是把电池简化为一个电路系统,从而模拟电化学系统中的变化过程。锂离子电池中典型的电化学阻抗谱如图8b所示,其对应的五个部分如下:
(1) 超高频区域(10 kHz以上),与Li+和电子通过电解液、多孔隔膜、导线、活性材料颗粒等输运有关的欧姆电阻,在EIS谱中表现为一个点,此过程可用一个电阻Rs表示;
(2) 高频区域,与Li+通过活性材料颗粒表面绝缘层的扩散迁移有关的一个半圆,此过程可用一个RSEI/CSEI并联电路表示。其中,RSEI即为锂离子扩散迁移通过SEI膜的电阻;
(3) 中频区域,与电荷传递过程相关的一个半圆,此过程可用Rct/Cd并联电路表示。Rct为电荷传递电阻,或称为电化学反应电阻,Cd为双电层电容;
(4) 低频区域,与Li+在活性材料颗粒内部的固体扩散过程相关的一条斜线,此过程可用描述扩散的Warburg阻抗Zw表示;
(5) 极低频区域(+在活性材料中的累积和消耗相关的一条垂线组成,此过程可用Rb/Cb并联电路与Cint组成的串联电路表示。其中,Rb和Cb为表征活性材料颗粒本体结构改变的电阻和电容,Cint为表征Li+在活性材料累积或消耗的嵌入电容。

图8 锂离子电池体系中(a)嵌锂物理机制模型示意图及(b)典型的电化学阻抗谱。
3.1.2 SEI的生长演化特性
JOW等人运用常规两电极EIS研究了石墨负极表面SEI的生长规律,测试体系为Li/石墨半电池,非原位阻抗测试结果及拟合电路如图9所示,研究结果如下。
(1) 石墨半电池的EIS阻抗严重依赖于电极电位,即锂化状态,根据RSEI和E之间的关系可知,石墨负极表面的SEI形成过程主要分两个电位区间,第一个电位区间在0.15 V以上,在这个电位区间内,SEI的导电性比较差;第二个电位区间在0.15 V以下,这个区间内SEI呈现出高导电特性;
(2) 对于一个完整的电池,RSEI在充放电过程中可逆变化,这主要归因于石墨的体积膨胀和收缩;
(3) 在第二个电位区间,RSEI的大小和电压之间的关系主要有两个影响因素。第一,形成高导电相的SEI,这直接降低SEI阻抗;第二,石墨电极的体积膨胀导致SEI阻抗的大幅增加;
(4) 首次锂化及SEI的形成对电解液的组分及配方非常敏感。总的来说,溶剂和盐的反应活性越高,SEI的阻抗越大,另外,SEI的阻抗在首次锂化过程对微量的添加剂(如VC)非常的敏感。

图9 (a)首次脱锂过程,锂/石墨半电池在不同电压的阻抗谱;(b)锂/石墨半电池在0.05 V电位下的阻抗谱及等效拟合电路。
3.2 材料性能研究
通过电化学阻抗谱测试,可以获得锂离子电池电极过程动力学参数,如SEI的生长规律,包括不同荷电状态、温度及循环周次下SEI阻抗的变化;除此之外,还可以测试电极、电解质、隔膜等材料的电导率、离子迁移数、表观化学扩散系数等。合理的使用EIS可以帮助研究人员更好的理解电池,提升电池研发水平。
3.2.1 表观化学扩散系数测试
当扩散过程为控制步骤且电极为可逆体系时,理想条件下,阻抗低频部分存在扩散响应曲线。此时,可以利用扩散响应曲线测量电池的表观化学扩散系数。
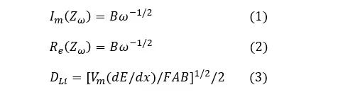
电化学交流阻抗法测量化学扩散系数的公式如下:

式中,ω是角频率,B为Warburg系数,DLi为Li+在电极中的扩散系数,Vm为活性物质的摩尔体积,F为法拉第常数,A为浸入溶液中参与电化学反应的真实电极面积,dE/dx为相应电极库伦滴定曲线的斜率,即开路电位对电极中Li浓度曲线上某浓度处的斜率。
基本测量过程如下:
(1) 通过阻抗谱拟合获得低频扩散部分的B值;
(2) 测量库伦滴定曲线;
(3) 将相关参数代入方程式(3)中即可求出Li+的扩散系数。
3.2.2 电子导电性和离子电导率测试
为准确测量电极材料的电子导电特性,需要选用规整的样品进行测试,如薄膜电极或致密的陶瓷材料。YANG等人基于放电等离子体技术制备了致密度高达97%的陶瓷电极材料(LiCoO2,NCM-333,532,622,811),并在陶瓷材料的两端溅射Au作为工作电极,进行线性V-I和电化学阻抗谱测试研究,测试原理如图10a所示。图10b展示了不同正极材料与温度关联的电子电导率,变温V-I曲线中直线的斜率代表电子电导率。测试结果显示,电极材料中Ni含量提升有助于提高其电子导电性。图10c通过测量各组分陶瓷正极材料的电化学阻抗谱,展示了不同正极材料与温度关联的离子电导率。通过数据拟合分析可知,随着Ni含量的提升,正极材料的离子电导率也具有显著的提升,而从EIS图谱中剥离出来的电子电导率,其测试结果同使用线性伏安方法测试结果基本一致。这表明,通过交流阻抗技术和直流极化测试可以提取、区分电极材料的电子电导率和离子电导率。

图10 (a)块状样品电子电导率和离子电导率的测试方法,a1为测试样品示意图,a2为典型的EIS测试数据,a3为直流极化曲线和伏安特性曲线,斜率为电子电阻;(b)伏安特性曲线测试LiCoO2的电子电导率及其与温度的相关性;(c)EIS测试LiCoO2的离子电导率及其与温度的相关性。
3.2.3 电导率和离子迁移数测试
一般来说,无机固体电解质的导电特性主要由离子和电子两部分构成,而离子电导率起主导作用;液体电解质和聚合物电解质的导电特性主要由阴离子和阳离子电导构成。因此,为了区分不同类型电解质材料中阳离子电导率的贡献,即Li+迁移数,实际测试需要采用不同电极构型及工作电极进行测试。以聚合物电解质电导率和离子迁移数的测试为例进行阐述。
XU等制备了不同质量百分比的有机无机复合膜材料,并使用不锈钢作为工作电极测试复合电解质膜电导率和离子迁移数,聚合物电解质离子迁移数测试可参考方程式(4):

ISS为稳态电流,I0为起始电流,RSS为直流极化测试后电解质阻抗,R0为直流极化测试前电解质阻抗,ΔV为直流极化电压。图11展示了不同质量比复合电解质膜的变温电导率曲线,高离子导电性的无机硫化物电解质的引入提升了复合电解质的总电导率,与纯PEO聚合物电解质相比,Li+迁移数也获得了进一步的提升。

图11 复合电解质膜的变温电导率及80℃下的Li+迁移数。
3.3 锂离子电池管理中的应用
在锂离子电池商业化应用中,优化电池的使用和管理对维护电池性能和状态十分重要。锂离子电池荷电状态(SOC)和健康状态(SOH)等不能直接测量,而EIS具有非破坏性反映电池内部性能的特点,成为预估锂离子电池SOC与SOH等状态的重要手段。
3.3.1 锂离子电池荷电状态监测
锂离子电池的电荷转移电阻受其SOC影响,因此通过测量电池的Rct可以对电池的SOC进行预估。如Itagaki等人在进行锂离子电池非稳态EIS研究过程中发现,电极过程的Rct随电池SOC增加而降低。同时,阳极过程的Rct均大于阴极过程,电流越大该现象越明显。对于正负极而言,Li+脱出过程的Rct均大于嵌入过程,这主要归因于电极内侧Li+浓度降低。
3.3.2 锂离子电池健康状态监测
利用EIS对锂离子电池SOH进行预估的主要依据是对电池内部参数,尤其是界面阻抗的测量。Skei等人通过低温阻抗研究,认为电池性能的衰降是由界面性能衰降引起的,电池正负极界面阻抗均随寿命增长而增大。EIS是一种安全精确进行电池SOH预估的方法,然而对于大型电池储能系统,利用EIS进行SOH预估需要输入高能正弦波信号,对设备的要求较高。因此,利用非正弦信号通过傅里叶变换进行EIS测量的方法逐渐兴起。Yokoshima等选定50 mHz~2 kHz频率域方波阻抗谱法(SC-EIS)对千瓦级电池系统进行SOH估计,选取了1组退化模块(容量衰降20%)和9组在役模块。图12中,9组在役模块阻抗谱完全一致,而退化模块EIS容抗弧直径从1 mΩ增至20 mΩ,且欧姆阻抗也有所增加。因此,通过高精度的EIS测量可以将不易察觉的电池性能衰减识别出来。

图 12 退化模块与在役模块的EIS谱图。
总结
电化学阻抗谱是研究电化学界面过程的一种重要方法,在电化学领域尤其是锂离子电池领域具有广泛的应用,如电导率、表观化学扩散系数、SEI的生长演变、电荷转移及物质传递过程的动态测量等。合理的使用EIS可以帮助研究人员更好的理解电池,提升电池研发水平。随着现代阻抗谱研究的进一步拓展,EIS对电池性能的研究和应用、电池组系统的管理和应用等均具有重要的现实意义。此外,作为一种原位的研究方法,发展EIS与其他原位研究方法如in situ FTIR、in situ XRD的联用技术,以增强对阻抗谱特征的解释,也将会成为一个重要的研究方向。
参考文献
[1] 曹楚南,张鉴清著. 电化学阻抗谱导论[M]. 北京: 科学出版社, 2002.
[2] 凌仕刚, 许洁茹, 李泓. 锂电池研究中的EIS实验测量和分析方法[J]. 储能科学与技术, 2018, 7(4), 732-749.
[3] 庄全超, 徐守冬, 邱祥云, 崔永丽, 方亮, 孙世刚. 锂离子电池的电化学阻抗谱分析[J]. 化学进展, 2010, 22(6), 1044-1057.
[4] 巴德, 福克纳著;邵元华等译. 电化学方法-原理和应用.第二版[M]. 北京: 化学工业出版社, 2005.
[5] 王盼. 电化学阻抗谱在锂离子电池中的应用[J]. 电源技术, 2020, 44(12), 1847-1854.
[6] FARMANN A,WAAG W,SAUER D U.Application-specific electrical characterization of high power batteries with lithium titanate anodes for electric vehicles[J]. Energy, 2016, 1(12), 294-306.
[7] 平平. 锂离子电池热失控与火灾危险性分析及高安全性电池体系研究[D].安徽: 中国科学技术大学, 2014.
[8] BARSOUKOV E, MACDONALD J R. Impedance spectroscopy: theory, experiment, and applications[M]. 3rd ed. Hoboken, NJ: Wiley, 2018.
[9] LIU Y, LI J, SHEN, Q, et al. Advanced characterizations and measurements for sodium-ion batteries with NASICON-type cathode materials[J]. eScience, 2022, 2(1): 10-31.
[10] ZHUANG Q, TIAN L, WEI G, et al. Two-and three-electrode impedance spectroscopic studies of graphite electrode in the first lithiation[J]. Science Bulletin, 2009, 54(15): 2627-2632.
[11] ZHANG S S, XU K, JOW T R. EIS study on the formation of solid electrolyte interface in Li-ion battery[J]. Electrochimica Acta, 2006, 51(8): 1636-1640.
[12] YU S, WANG M Y, LI Y, et al. Separating electronic and ionic conductivity in mix-conducting layered lithium transition-metal oxides[J]. Journal of Power Sources, 2018, 393: 75-82.
本文源自微信公众号:eScience期刊
原文标题:《【eScience-干货】电化学阻抗谱在锂离子电池中的应用》
原文链接:https://mp.weixin.qq.com/s/tJPPsU-p7Vmh8SNEnJOsLQ
本转载仅出于分享优质测试干货,旨在传递更多观点,并不代表赞同其全部观点或证实其内容的真实性。文章中所包含的图片、音频、视频等素材的版权均归原作者所有。如有侵权请告知删除。

