说明:本文华算科技系统介绍了Lewis酸性位点的定义、电子结构原理、分类方法及量化表征技术。读者可从中学习如何从电子层次理解物质的酸性本质,掌握酸性位点在催化、吸附等过程中的关键作用,并了解利用光谱和理论计算等手段精准调控酸性位点性能的方法。
Lewis酸碱理论由G. N. Lewis于1923年提出,是现代酸碱理论的重要基础之一。该理论突破了Brønsted–Lowry酸碱理论对质子转移的依赖,提供了一种更为广义的电子对接受与供给框架。
在Lewis体系中,酸定义为能够接受电子对的化学物种,而碱则是能够提供电子对的物种。因此,Lewis酸性本质上是对电子密度的亲和能力是物的体现,种在形成配位键过程中的电子受体特性。
Lewis酸性位点(Lewis acidic sites)是指在分子、配合物或固体材料中表现出Lewis酸行为的特定结构单元。这些位点在化学反应中具有接受电子对的能力,常参与配位作用、催化过程及表面吸附等物理化学行为。
Lewis酸性位点的形成与其所处的电子环境密切相关,其强度与该位点的电荷密度、电负性差异以及空轨道的可及性有关。

图1. 双Lewis酸碱位点调控Ag-Cu双金属氧化物光还原CO2制甲烷。DOI: 10.1002/anie.202309625
从量子化学角度来看,Lewis酸性位点的本质在于其存在空的反键轨道、低未占据分子轨道(LUMO)或部分空轨道,可接受来自Lewis碱的孤对电子。这些空轨道可能表现为未配位的d轨道(在过渡金属中尤为常见)、低能量的p轨道,或是原子轨道杂化后的反键轨道(如σ*轨道)。
Lewis酸性强度与该位点的能级结构密切相关。当一个化学位点的LUMO能级较低,其更容易接受电子,因此表现出更强的Lewis酸性。
此外,该位点的电荷状态也显著影响其电子亲和力。正电性增强的中心原子因其更高的库仑吸引力而具有更强的Lewis酸性,尤其在具有高氧化态的金属中尤为显著。
在多原子体系中,如配合物、固体表面或金属有机框架(MOFs)中,Lewis酸性位点的电子结构不仅由中心原子决定,还受到邻近配体或环境中电子给体或吸电子基团的调控。通过诱导效应、共轭效应及空间排布的调节,可对Lewis酸性位点的强度与选择性进行系统性调控。

图2. (a)Li-CO2电池中Lewis酸性增强策略的示意图。(b)具有相同中心金属和配体但Lewis酸性不同的MOFs合成示意图。DOI: 10.1002/adfm.202504330
Lewis酸性位点可依据其形成方式与结构构型进行不同角度的分类。
在无机化学中,最基本的Lewis酸性位点包括裸金属离子(例如过渡金属阳离子)及其低配位数状态。
而在配合物化学中,配体未完全饱和的金属中心常构成典型的Lewis酸性位点,其构型常与金属的配位数及配体的电子供给能力相关。
在材料化学与表面科学中,Lewis酸性位点常存在于固体催化剂如氧化物表面或多孔材料的框架结构中。这类位点可根据其是否伴随结构缺陷(如氧空位)或是否协同存在Brønsted酸性位点而进一步细化。
例如,在某些金属氧化物中,五配位或四配位的金属中心相较于六配位中心展现更高的Lewis酸性,这是由于其未饱和配位环境导致的电子空轨道暴露增强。

图3. 协同调控xCu/ZSM-5催化剂的氧空位和酸位增强氯苯氧化。DOI: 10.1016/j.apcatb.2025.125956
此外,Lewis酸性位点可根据其分散程度分为孤立型与聚集型。
孤立型位点指的是分布于材料中的分散Lewis中心,而聚集型位点可能形成多核结构,其中Lewis酸行为可能受到金属–金属相互作用影响。两类位点在催化反应中展现不同的选择性与活性,反映出其电子构型与几何构型的耦合特征。

图4. 原子级分散的Lewis酸性位点与聚离子液体协同催化CO2环加成反应相关研究。DOI: 10.1016/j.apcatb.2022.121463
Lewis酸性位点在分子识别、催化活性中心构建及表面吸附等过程中具有关键功能。其强度与密度的准确表征,是理解和调控反应机理的基础。
现代物理化学手段提供了多种量化Lewis酸性的途径,包括红外光谱中探针分子位移(如吡啶吸附),核磁共振中化学位移变化,X射线光电子能谱(XPS)中价层电子密度分布,以及理论计算中的电荷分布与Fukui函数分析。

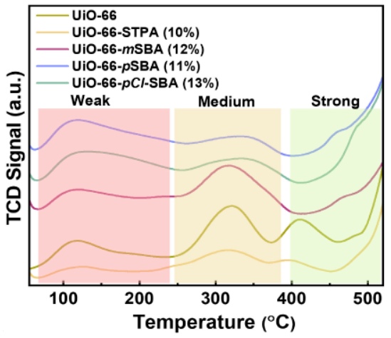
图5. 通过吡啶吸附红外光谱(Py-IR)分析的几种功能化UiO-66材料中Brønsted与Lewis酸性位点的相对含量对比。DOI: 10.1002/anie.202508256
量化Lewis酸性需考虑两方面指标:第一是酸性位点的“强度”,即其接受电子对的能力强弱;第二是其“密度”,即单位面积或单位体积中Lewis酸性位点的数量。
这两者共同决定了Lewis酸在实际体系中作为功能性中心的表现能力。计算化学中常通过LUMO能级、自然布居分析(NBO)或原子电荷分析等手段评估Lewis酸性位点的电子亲和性与空间分布特征。

图6. 通过理论计算分析了Hβ中Lewis和Brønsted酸对LiBH4脱氢的催化机理。DOI: 10.1007/s12598-024-03136-3

图7. 通过NH3程序升温吸附–脱附原位红外(NH3-TPD-IR)分析了催化剂表面酸性位点。DOI: 10.1021/acscatal.4c00877
【高端测试 找华算】
华算科技是专业的科研解决方案服务商,精于高端测试。拥有10余年球差电镜拍摄经验与同步辐射三代光源全球机时,500+博士/博士后团队护航,保质保量!
🏅已助力5️⃣0️⃣0️⃣0️⃣0️⃣➕篇科研成果在Nature&Science正刊及子刊、Angew、AFM、JACS等顶级期刊发表!
👉立即预约,抢占发表先机!

