





说明:在多相催化研究中,纳米催化剂的原子级结构解析与动态反应机制探究是核心难题,传统表征技术常因分辨率、适用性等局限难以突破。同步辐射技术凭借高强度、高分辨率等独特优势,成为破解这一难题的关键工具。
在多相催化研究领域,催化剂的原子级结构、电子态分布及反应过程中的动态演变规律,是揭示催化反应机制、建立构效关系并指导催化剂性能优化的核心科学问题。
传统表征技术(如X射线衍射、透射电子显微镜)在解析低结晶度体系结构、动态反应过程中活性位点演变等方面存在固有局限,而同步辐射技术凭借其高强度、高分辨率、波长连续可调及环境适应性强等特性,已成为催化领域突破表征瓶颈的关键技术支撑。
同步辐射是高能带电粒子在磁场中做匀速圆周运动或曲线运动时,由于洛伦兹力的作用,将部分能量以电磁辐射的形式沿运动轨迹切线方向发射的现象。
其产生过程需依托同步加速器或储存环:电子经直线加速器加速至一定能量后,注入储存环,在储存环中通过偏转磁铁、波荡器等装置的作用,持续产生同步辐射。
同步辐射具有以下核心特性:
光谱范围宽:覆盖红外线、可见光、紫外线、X射线至γ射线的全波段,其中X射线波段(波长10-3-102 Å)在材料结构与电子态解析中应用最为广泛;
亮度高:同步辐射光源的亮度可达传统 X 射线管的1012-1015倍,能够实现对低含量、分散性物种的高灵敏度检测;
准直性好:辐射光束的发散角极小,可聚焦至纳米尺度,满足微区、纳米尺度结构表征需求;
偏振性可控:可通过调节加速器装置参数,获得线偏振、圆偏振等不同偏振状态的辐射,用于研究材料的各向异性结构与电子态;
脉冲时间结构:辐射以脉冲形式发射,脉冲宽度可达皮秒至纳秒量级,为动态过程(如催化反应中的物种演变)的时间分辨表征提供可能。

X 射线吸收精细结构(X-ray Absorption Fine Structure, XAFS)是基于同步辐射 X 射线的重要表征技术,用于解析物质中特定元素的局部原子结构(配位数、键长、键角)及电子态信息,其谱图可分为 X 射线吸收近边结构(XANES)与扩展 X 射线吸收精细结构(EXAFS)两部分。
XANES位于X射线吸收边(元素特定壳层电子激发的临界能量)附近,能量范围通常为吸收边前后50-100 eV。
其谱图特征主要由电子从核心能级(如K层1s、L 层2s/2p)向价层空轨道(如导带、价带)的跃迁,以及多重散射效应(X射线光子与相邻原子的多次散射)共同决定。
XANES的核心应用包括:
氧化态分析:元素的吸收边能量位置与氧化态直接相关,氧化态越高,核心电子结合能越大,吸收边能量越高。例如,Cu2+的K边吸收边能量高于Cu+;
配位对称性判断:不同配位环境(如四面体、八面体配位)下,价层空轨道的能级分裂差异会导致XANES谱图中峰的数量、强度及峰位变化;
电子构型解析:通过谱图中特征峰(如白线峰,对应电子向空d轨道的跃迁)的强度,可分析元素的d轨道填充情况,进而判断电子构型。

EXAFS位于吸收边高能侧(通常为吸收边能量以上200-1000 eV),其谱图表现为吸收系数随能量的周期性振荡。
该振荡源于被激发的光电子(从核心能级跃迁的电子)与周围配位原子之间的干涉效应:光电子从中心原子发射后,遇到相邻配位原子发生散射,散射波与入射波(未被散射的光电子波)产生干涉,导致吸收系数随能量呈现周期性变化。
通过对EXAFS谱图的傅里叶变换、曲线拟合等数据处理,可获得以下关键结构参数:
配位数(N):中心原子周围相邻配位原子的数量;
键长(R):中心原子与配位原子之间的距离;
德拜–瓦勒因子(σ2):反映键长的无序度,与原子热振动、结构无序程度相关;
吸收原子与配位原子的原子序数(Z):通过散射振幅的差异,可判断配位原子的种类(如 O、N、金属原子等)。
XAFS技术的核心优势在于:无需样品具有长程有序结构(适用于无定形、纳米颗粒、单原子分散体系);具有元素专一性(通过选择特定元素的吸收边,可聚焦目标元素,不受其他元素干扰);可在多种环境(真空、气体、液体)下进行测试。

本文聚焦的研究以“降低CuO纳米催化剂中的Cu-O键能以提高NH3选择性催化氧化(NH3-SCO)效率”为核心科学目标,通过对比NaBH4还原制备的 CoβCu/Al2O3与H2还原制备的CohCu/Al2O3催化剂的催化性能差异,提出“CoβCu/Al2O3中Cu-O键能更低→Cu2+↔Cu+ redox活性更强→催化活性更高” 的科学假设。
同步辐射技术通过解析催化剂的静态结构、电子态及动态反应过程,为该假设提供了关键实验证据(DOI:10.1038/s41467-025-64415-w)。
STEM表征显示,两种催化剂(CoBCu/Al2O3与 CoHCu/Al2O3)中的CuO纳米颗粒尺寸相近,但CoBCu/Al2O3的CuO晶格间距显著大于 CoHCu/Al2O3,直观反映出两者Cu-O键长的本质差异。
通过EXAFS拟合直接获取两种催化剂的Cu-O键长数据:CoBCu/Al2O3的Cu-O键长为1.96±0.005 Å,显著长于CoHCu/Al2O3的1.93±0.003 Å,同时证实两者Cu-O配位数(约3.4)相近,排除了配位数量对键强的干扰。
进一步结合WT-EXAFS的二维图谱(R空间与k空间同步分析),观察到CoBCu/Al2O3中Cu-O键第一配位壳层信号(中心位于 4.7 Å-1,1.52 Å)相较于 CoHCu/Al2O3(中心位于4.5 Å-1,1.46 Å)更偏向长键距区域,从信号特征角度再次验证了Cu-O键长差异,为 “键长决定键强” 提供了原子级证据。

HERFD-XANES:Co8Cu/Al2O3的Cu K边1s→4pz反键跃迁能量为8984.2 eV,较Co11Cu/Al2O3低1.3 eV,根据电子跃迁能量与键强的关联规律,反键轨道能量降低直接指向Cu-O键强弱化;
VtC-XES:Co8Cu/Al2O3的Cu Kβ2,5特征峰(主要对应4p→1s键合跃迁)能量较Co11Cu/Al2O3高1.3 eV,而该峰强度与Cu 3d-O 2p轨道杂化程度相关,进一步证实Cu-O键电子云分布的改变,即键强弱化。
两种同步辐射技术的互补结果,形成了“键长延长→电子态重构→键强弱化” 的完整证据链,而X射线光电子能谱(XPS)的佐证(Co8Cu/Al2O3的 Cu2+ 2p3/2结合能为933.5 eV,低于Co11Cu/Al2O3的934.7 eV),进一步验证了同步辐射解析的电子态差异。

Operando XAFS:
在NH3+O2反应气氛中,同步辐射XAFS实时监测显示,Co8Cu/Al2O3在更低温度(约 150℃)即可生成Cu⁺活性物种(特征峰 8982 eV),而Co11Cu/Al2O3及纯CuO/Al2O3需更高温度且Cu⁺生成量极少;
同时,Co物种在两种催化剂中均表现为Co2+→Co3O4的氧化趋势,排除了Co redox行为对催化性能的干扰,直接证实Cu-O键弱化为 Cu2+↔Cu+循环提供了动力学优势;

近常压X射线吸收近边结构(NAP-NEXAFS):
作为表面敏感的同步辐射技术,NAP-NEXAFS 聚焦催化剂表面 Cu 物种变化:在200-300℃及不同气氛(NH₃、O2、NH3+O2)下,Co8Cu/Al2O3表面Cu+/Cu0比例始终高于Co11Cu/Al2O3,尤其在 300℃ NH3气氛中,Co8Cu/Al2O3表面几乎完全还原为Cu0,而Co11Cu/Al2O3仍以Cu2+为主。
这一结果从表面化学视角,补充了Operando XAFS对体相物种的分析,完整揭示了“体相–表面”协同的氧化还原机制。

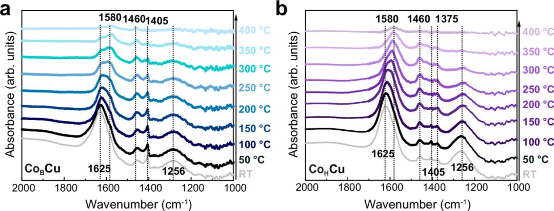
与原位漫反射红外傅里叶变换光谱(DRIFTS)协同:
DRIFTS 监测显示,Co8Cu/Al2O3在250℃即可出现硝酸盐物种特征峰(1580 cm⁻¹),而Co11Cu/Al2O3需300℃以上,结合同步辐射揭示的电子态差异,说明Co8Cu/Al2O3更易活化 NH₃生成反应中间体,从反应路径角度解释了其高活性;
与催化动力学协同:
Co8Cu/Al2O3的表观活化能(40.0 kJ/mol)远低于 Co11Cu/Al2O3(63.5 kJ/mol),且对NH3的反应级数为0.4(Co11Cu/Al2O3为 0),表明其反应更易受NH3浓度调控,这与同步辐射解析的“弱Cu-O键更易与NH3作用”机制完全匹配,最终形成“结构–电子态–反应动力学–催化性能”的完整关联。

本文凸显同步辐射技术在CuO纳米催化剂NH氧化研究的核心作用,揭示结构与性能关联。XAFS技术无需长程有序,精准解析Cu-O键长、电子态,为“键长决定键强”提供证据;HERFD-XANES与VtC-XES构建相关证据链。
原位Operando XAFS发现特定催化剂低温生成Cu+,NAP-NEXAFS揭示表面物种比例。同步辐射还与H2-TPR、DRIFTS、催化动力学形成闭环,印证结果、完善机制,建立完整关联,为催化剂效率优化提供支撑。
【高端测试 找华算】
华算科技是专业的科研解决方案服务商,精于高端测试。拥有10余年球差电镜拍摄经验与同步辐射三代光源全球机时,500+博士/博士后团队护航,保质保量!
🏅已助力5️⃣0️⃣0️⃣0️⃣0️⃣➕篇科研成果在Nature&Science正刊及子刊、Angew、AFM、JACS等顶级期刊发表!
👉立即预约,抢占发表先机!






