说明:本文华算科技系统解析了表面重构的定义、机制、影响因素、表征方法及调控策略,阐明其如何通过动态改变材料表面结构、价态与配位环境来优化催化活性和选择性。阅读此文您将掌握利用外加电位、电解质设计及预催化剂改性等手段精准调控表面重构过程的方法,为设计高效、稳定的电催化体系提供关键理论与技术指导。
表面重构是指催化剂表面在特定条件下进行结构修饰的过程。在电催化反应中,外加电位和电解质组成可引起电催化剂的表面形貌、晶相、化学价态和配位环境的变化。这些变化可以显著影响催化剂的活性和选择性,从而决定反应效率和产物分布(图1)。

图1. 表面重构示意图。DOI: 10.1016/j.apcato.2025.207036。
表面重构的机制主要包括以下几个方面:
1)原位电化学氧化/还原:电催化剂的表面成分在氧化/还原电位的作用下可通过电子转移发生氧化或还原反应,从而导致其价态、配位环境和缺陷水平发生变化。这种现象在过渡金属基催化剂及其衍生物(如金属磷化物、氮化物和硫化物)中较为常见(图2)。

图2. 原位电化学氧化还原示意图。
2)部分溶解:在外加电位的驱动下,某些离子可以在催化剂内部迁移并随后从表面溶解。此外,电解质pH的变化可以诱导催化剂的部分溶解,导致形貌和组成的变化。这种现象在特定的钙钛矿材料和金属有机框架(MOF)中经常观察到(图3)。

图3. 部分溶解示意图。
3)分解和再沉积:在由外加电位驱动的电化学溶解过程中,靠近催化剂表面的溶解度相对较低的金属离子(如Cu离子和Fe离子)会重新沉积到催化剂表面,从而导致原子排列和表面形态发生改变(图4)。

图4. 分解和再沉积。
4)离子性吸附:在施加的电位作用下,电解液中的OH–和Cl–离子能够吸附在电催化剂的表面,并与金属位点相互作用,形成结晶度较低的新物质(图5)。

图5. 离子性吸附。
原位表面重构对电催化性能的影响呈现出一种双刃剑效应:
一方面,表面重构能够增加比表面积、改善润湿性,并为电催化生成新的活性位点。
另一方面,它也可能使现有活性位点失活或破坏催化剂的结构完整性。通过精细调整重构条件、重构速率和重构程度,可以精确调控催化剂的表面特性,以生成用于阴极催化电合成所需的活性物质。
表面重构本质上是在电极与电解质界面处发生的电化学反应。重建的速率主要受施加的电压、电解质以及预催化剂的性质所控制。
外加电压
更高的外加电位能够克服反应的能量阻碍,从而促进电催化剂表面的重构。此外,电位还会影响反应物在电极表面的吸附和解吸行为及其转化率,进而影响电催化剂的结构演变。此外,不同的电位操作方法,如恒电位法、电位阶跃法和循环伏安法,通过调节电位能够显著影响表面重构(图6)。

图6. 原位表面重构合成氧阴离子配位NiOOH。DOI: 10.1038/s41467-022-30670-4。
电解质
电解质中的吸附物质,如CO2,OH–和卤化物离子可以诱导电催化剂表面结构的自适应进化,从而影响反应的选择性和动力学。此外,电解质的浓度和pH值也会影响表面重建过程中电催化剂表面与离子之间的相互作用(图7)。

图7. 自适应电催化的影响因素及作用路径示意图。DOI: 10.1039/D2QI02256G。
预催化剂特性
预催化剂的结构决定了电解条件下表面重构的趋势。
首先,表面成分决定了表面重构的具体路径。其次,微观形态和比表面积影响了可供重构使用的暴露活性位点的数量,从而调节了表面重构的速度。最后,电催化剂的电子结构不仅影响反应物在表面的吸附和解吸效率,还影响表面重构过程中的电子转移速率,最终决定着表面重构的整体速率(图8)。

图8. MnCo-CH@Co3N核壳异质结构的构建。DOI: 10.1002/smll.202406465。
1)形态演变:在电催化剂表面重构过程中发生的溶解和再沉积过程,以及新物质的形成,会导致表面形态发生显著变化。这种变化可以通过原位扫描隧道显微镜(STM)和原位透射电子显微镜(TEM)技术进行有效监测(图9)。

图9. 原位STM图像。DOI: 10.1038/s41929-023-01009-z。
2)化学价态变化:在表面重构过程中发生的电子转移会导致催化剂表面原子的氧化态发生变化,这种变化可以通过原位X射线光电子能谱(XPS)和原位X射线吸收光谱(XAS)进行灵敏检测(图10)。

图10. 结构表征。DOI: 10.1016/j.matt.2023.12.001。
3)晶体相变:表面重构会促使预催化剂的原子排列发生变化,从而导致晶体平面的重新排列。此外,表面重构还可能促成新晶体相的形成。利用原位X射线衍射(XRD)光谱技术可以有效地监测这些结构变化(图11)。

图11. S-Co3O4/CC-HER的XRD谱图及S-Co3O4/CC的原位XRD谱图。DOI: 10.1002/aenm.202400052。
4)协调环境的演变:在表面重建过程中,旧化学键的断裂以及新键的形成会导致配位环境发生变化,这种变化可以通过原位拉曼光谱和原位X射线吸收谱(XAS)进行有效监测。此外,原位傅里叶变换红外(FTIR)光谱能够追踪在表面重建过程中由于反应物质在电催化剂表面的吸附和解吸而引起的表面官能团的变化(图12)。

图12. Co2(OH)3Cl@NiMoO4的原位傅里叶变换红外光谱表征。DOI: 10.1007/s12274-024-6812-1。
反应条件的调控
表面重建从根本上来说涉及电极表面与电解质之间的相互作用,在此过程中,电解质中的离子能够显著影响重建过程以及重建后的催化物质的结构特性。
例如,研究人员发现碱金属阳离子在更负电位(– 1.31 V vs. RHE)下的存在可以降低自由能,促进可溶性三元Cu氢化物的形成(图13)。它可以与电解质中吸附的氢或水分子快速反应,然后重新沉积在电极上,从而形成更小的Cu纳米颗粒。

图13. 自由能梯度和自由能随Cu离表面距离的变化。DOI: 10.1038/s41467-024-49492-7。
电化学条件,包括外加电压、电流密度和操作模式,也是影响表面重构动力学的重要因素。
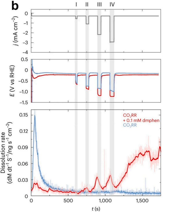
图14显示,在二甲基苯酚存在下,铜基电催化剂的溶解速率随电压和电流密度增加而提高,表明表面重构通过溶解–再沉积平衡进行,可通过增强电压和电流密度加速,以优化CO2还原性能。去除二甲基苯酚后,溶解速率稳定,表明其在该过程中的关键作用。

图14. 不同阴极电流密度下CO2RR表面重构过程中Cu的溶解速率。DOI: 10.1038/s41929-023-01070-8。
离子掺杂
在预催化剂中掺杂杂原子可以调节预催化剂的电子结构和表面活性位点的分布,从而调节预催化剂的重构动力学和重构物的结构。
例如,在Bi2S3催化剂中掺氯形成内电场,加速重构过程中电子转移和结构坍塌,促进空位丰富的Bi成核生长(图15)。相比之下,纯Bi2S3形成完美晶体结构。电子富集的Bi空位增强了*OCHO和CO2吸附,降低甲酸生成活化能,提升CO2电催化转化为甲酸的效率。

图15. CO2RR重构Bi2S3和Bi19Cl3S27的示意图。DOI: 10.1002/anie.202407665。
掺杂剂可以改变表面原子的配位环境,导致缺陷或空位的形成,从而可以调节活性金属位点周围的结构,为表面重构创造有利的动态条件。
通过用磷原子掺杂的方式在CoMoO4中引入了氧空位,从而改变了金属–氧键合结构,并促进了MoO42–在电催化剂表面的溶解。经过重构后,活性钴成分的d能带中心更接近费米能级,增强了活性位点对反应物和中间体的吸附,从而提高了反应速率性能(图16)。

图16. P-CoMoO4合成示意图及TEM图像和对应的EDX元素映射。DOI: 10.1016/j.apcatb.2024.124837。
电催化剂复合物
由多种功能组分构成的复合电催化剂具有可调控的功能优势,这使得可以协同调节表面重构动力学、物种活性和稳定性,从而显著提升整体电催化性能。
首先,复合材料各组分在表面重构过程中的协同作用有助于形成高活性的催化结构。在电催化剂表面构建保护层,可以有效控制表面重构的速度和程度,从而防止因过度重构而导致结构退化。
研究人员将Ag纳米粒子组装到Cu纳米线表面,观察到Ag含量的增加可以诱导CO2RR反应中释放的Cu+离子沉积在Ag表面,形成核壳结构(图17)。Ag-Cu界面的动态演化以及*CO中间体的积累,显著改变了界面处的氧亲和力,从而影响了CO2还原的氢化能垒,导致C2+产物的分布发生变化。

图17. Ag-Cu双相异质界面动态重构示意图。DOI: 10.1038/s41467-024-54630-2。
单原子催化剂的设计
单原子催化剂具有原子利用率最大化、配位可调和电子环境可调节等优点。在电催化过程中,单个原子周围的某些配位键可能会被破坏,从而形成具有优越活性和选择性的原子系综作为活性位点。
研究人员使用多吡啶铜前驱体合成了高载量的Cu-N单原子催化剂。在CO电还原条件下,Cu-N单原子催化剂发生动态迁移,缩短了Cu-Cu原子间距离,并优化了Cu-N配位环境(图18),这有助于*CO中间体的二聚化及其随后的加氢形成*CCO,从而使得乙酸生产的法拉第效率(FE)超过70.2%。

图18. Cu原子团簇演变的示意图。DOI: 10.1021/jacs.4c13197。
本文系统阐述了表面重构的定义、多种机制、关键影响因素及先进调控策略,揭示了其通过动态改变催化剂表面结构、价态与配位环境来显著提升催化活性和选择性的本质。未来,通过结合先进原位表征技术和理论计算,实现对重构过程的精准设计与实时调控,将为开发下一代高效、稳定的电催化体系提供核心科学基础与关键技术路径。