说明:本文华算科技系统阐述了配位数的定义、分类及重要性,重点分析了配位数变化的内因(如中心离子尺寸、静电作用)与外因(如配体性质、温度、压力)的影响机制。文章还探讨了配位数对材料物理化学性质的调控作用,以及其在不同条件下的动态响应特性,为理解配位化学提供了全面视角。


什么是配位数?
配位数(CN)是配位化学中最基础的概念之一,统指与中心原子/离子直接相连的供体原子/配体的数量,其数值范围通常在2至10之间,部分f区元素可达12甚至更高。
该参数不仅决定了配合物的空间构型(如四面体、八面体、二十面体),更深刻影响着材料的电子性质、催化活性、磁学行为及稳定性。

图1 第一壳层配位(配位物种)、第二/长程配位(杂原子掺杂、双金属位点等)以及外部微环境(非共价相互作用和质量/质子/电子转移)。DOI:10.1002/adma.202502131


配位数的分类
单基(齿)配位体:配体中只含有一个配位原子,只与金属原子形成一对电子。
多基(齿):配体中含有两个或两个以上的配位原子,有时也将多齿配体称为配体螯合。双齿配位体如乙二胺H₂NCH₂CH₂NH₂,常见的多齿配位体可以提供三到六对电子,EDTA是最常见的六齿配位体。
桥联配位体:同时向两个金属原子提供两对电子的配位体。
两可配位:含有两种不同原子作为配位原子,可根据条件和所涉及的金属将不同配合物与不同原子进行配位。

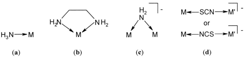
图2 (a)单齿联结(b)双齿联结(c)桥联和(d)两可联结配位复合物。
对于单齿配体体系,配位数直接等于配体分子数;而对于双齿或多齿配体,则需累加所有供体原子的贡献,其配位数=配体数×每个配体的配位原子数。比如,乙二胺(en)作为双齿配体,Pt(en)²⁺的配位数为4(而不是2),因为它有两个双齿配体,总共包含四个供体原子。


配位数变化为何重要?
结构决定性质:配位数通过调控键长、键角和配位多面体对称性,主导材料的物理化学特性。如通过调整与金属离子配位的原子数量可以有效改变原子金属中心的电子结构。
动态响应能力:配位数并非静态参数,而是对外界条件(如压力、温度、化学势)高度敏感。随着压力的增加,GeO2、TiO2和SiO2中,锗和硅的平均配位数从4变为6或更高,而氧化钛的平均配位数则从6变为9或更高。

图3 硬X射线Kβ’’发射线与阳离子–配体配位之间的函数关系(在4和7配位之间接近线性)。DOI:10.1021/acs.jpclett.3c00017


配位中心如何影响配位数?
一个原子的配位数既取决于静电相互作用,也取决于尺寸因素。原子半径与空间容纳能力是决定高配位数可能性的首要因素。其中,较大的中心原子能够容纳更多配体而不产生过度空间排斥,因而倾向于形成高配位数。
表1 rM/ro比值、配位数和金属离子的构型


图4 金属离子的基本水合结构(a)线性(b)三角平面(c)四面体(d)平面四边形(e)八面体。
静电作用
Kossel运用静电理论解释配位化合物的形成现象,并指出虽然体系源于带相反电荷离子间的相互吸引,且具有最小势能,但这些体系通常并不对应于n价阳离子与n个一价阴离子的简单加合。
在阴离子配位化合物中存在着两种作用力:阳离子与阴离子之间的吸引力,以及阴离子彼此间的排斥力。Magnus通过计算推导出一系列系数,这些系数表征了具有不同配位阴离子数量及不同几何构型的配位离子中吸引力与排斥力的比值,该系数被称为屏蔽常数。
由此得出配位离子形成能(U)的通用表达式其形式为:

其中p为配位阴离子的数量;n为中心金属离子上的电荷;r为金属离子的半径;sp为屏蔽常数,其值取决于p。
当半径r固定时,U的数值将与p(n–sp)成正比。若在固定中心离子电荷n与半径r的条件下,计算不同配位数p对应的U值,则可发现U值呈现先增大后减小的变化趋势,并在特定p值处达到峰值。
表2 以+4价中心离子为例,不同p值对应的p(n – sp)计算结果

从上表可以看出,周围是单元电荷负离子的+4氧化态离子的最可能的配位数为6。类似的静电效应得到了以下不同电荷下的中心离子和单价负离子的最大配位数。(分析基于四个基团呈四面体排列、六个基团呈八面体排列的假设)
表3 不同电荷下的中心离子和单价负离子的最大配位数

尺寸因素
一般来说,金属离子半径越大,配位数就越高。这是电荷和空间位阻相互作用的结果,较小的金属阳离子会由于增加阴离子给体导致的排斥库仑相互作用增强,而较大的阳离子可以适应这种增加。

图5 固体中过渡金属(TM)阳离子的配位数统计。DOI:10.1002/advs.202202756
例如,第四周期过渡金属倾向于形成4、5或6配位的配合物,而较大的阳离子如镧系、锕系元素则可以容纳更高的配位数。锕系元素的离子半径较大(表4),配位数通常为8-10。甚至更高的配位数也已发现(图6)。
表4 锕系元素(actinoids)特征DOI:10.3390/ijms21020555

图6 [ThIV(NO3)6]2−分子结构的示意图;所有硝酸根均为双齿螯合,ThIV中心具有12配位,配位键用粗线表示。DOI:10.3390/ijms21020555
除了静电考虑之外,决定配位数和因此立体化学排列的另一个重要因素是阳离子和阴离子大小的相对大小。
由静电相互作用产生的最大配位数值,仅在空间位阻因素不起作用的前提下成立,如当中心离子体积较大时不能对应上述表格中的最大配位数。随着配位离子数量的增加,它们之间会产生空间接触,最终将导致部分配位离子无法与中心离子保持有效接触。
实际上,可以为每个配位数计算一个临界半径比。临界半径比是指中心离子和配位离子接触时的半径比值。在这些计算中,假设离子是球形的。
表5 不同的配位数对应的临界半径比

Cr4+的半径约为0.56Å,F–的半径约为1.35Å,这给出了一个半径比值Cr4+:F–等于0.41,与八面体构型的最小特征相符。


配体效应素如何影响配位数?
空间位阻
大体积配体通过配体间排斥直接限制配位数上限。对于过渡金属来说,最大配位数为九(过渡金属只有九个价轨道),而相对较小的配体如氢则需要达到这个数量,例如非氢化铼(VII)[ReH9]2-。
当使用较重的配体时,倾向于发现低于四个的配位数,例如三(三环己基膦)铂(0)(Pt(PCy3)2)。
这种效应可通过Tolman锥角(托尔曼锥角)参数定量衡量配体空间位阻大小。其定义为在金属中心原子与配体键合的位置,配体所有原子在范德华半径范围内所形成的一个圆锥的顶角。

图7 带有P配体的过渡金属配合物及其在Tolman锥角值上的预期影响。DOI:10.1039/c9dt02876e
配体的大小影响着金属中心的反应活性,在许多催化循环中(如氧化加成、插入反应等),反应物需要接近金属中心。位阻大的配体(大锥角)会抑制配位饱和,为反应物提供空配位点,从而加速反应。但同时,它也可能阻碍底物接近金属,减慢反应。因此,存在一个最优的锥角范围。
配体电子性质通过σ键给电子能力与π键软性调控配位数。强σ键配体(如膦、胺)增加金属中心电子密度,可能降低其对额外配体的亲电性,间接抑制高配位数形成;反之,π键(如CO)稳定金属–配体键,允许更紧凑的配位层。


外界条件如何影响配位数?
温度
在相同的压力下,随着温度的升高,分子的热运动加剧,此时分子间的距离增大、分子间引力下降。在引力和热运动的共同作用下,发现随温度增加配位数逐渐减小。
相对于配位结构,高温物相通常比低温物相具有更高的对称性,尤其表现为许多高温相呈现立方结构,而低温相则对称性较低。然而例外情况依然存在:例如在1570°C发生α-La₂S₃→γ-La₂S₃相变时,La₂S₃中镧原子的配位数反而从7增加至8。

图8 固定压力下随温度升高配位数降低。(a)P=1.1Pc(b)P=1.3Pc(c)P=1.5Pc(d)P=2.0Pc。DOI:10.7498/aps.69.20191591
压力
压力对配位数的作用具有“致密化–电子重排”协同性。增大压力时,原子间距离缩短,次近邻原子可进入第一配位壳,触发相变。普遍规律为:压力增加促使配位数增加。

图9 钙–氧对的平均配位数随压力变化的关系。DOI:10.1029/2019JB018238
温压交互
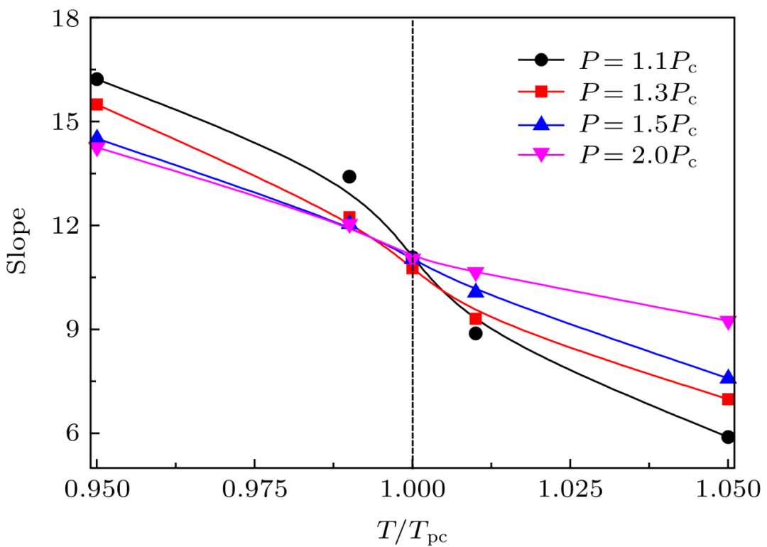
根据Goldshmidt所总结的基本规律:原子平均配位数会随压力和密度的增加而增加,随温度的升高和密度的降低而减少。温压协同效应呈现非线性耦合。高温缩小配位数随压力的变化范围,而高压可抑制温度引起的配位数下降,配位数随着主导效应变化。

图10 温度和压力作用下配位数曲线斜率,虚线处为压力、温度影响配位数临界值。DOI:10.7498/aps.69.20191591

图11 (左)在1电子伏特的温度下,位置与对称函数峰、键长、平均离子–离子距离以及配位数NC的关系(右)配位数作为温度和压力的函数。DOI:10.1016/j.hedp.2019.100737
【高端测试 找华算】
华算科技是专业的科研解决方案服务商,精于高端测试。拥有10余年球差电镜拍摄经验与同步辐射三代光源全球机时,500+博士/博士后团队护航,保质保量!
🏅已助力5️⃣0️⃣0️⃣0️⃣0️⃣➕篇科研成果在Nature&Science正刊及子刊、Angew、AFM、JACS等顶级期刊发表!
👉立即预约,抢占发表先机!

