说明:本文华算科技系统介绍了电催化领域的核心理论,包括Sabatier原理、吸附–能量标度关系、d带中心理论及活性描述符,结合图示与热力学解释,阐述了催化剂设计与性能评估的基本原则。
Sabatier原理由诺贝尔奖得主Paul Sabatier于1913年提出,是电催化领域的核心理论之一,其核心思想是:理想的催化剂与反应物的结合强度需适中——若吸附过弱,反应物难以活化;若吸附过强,中间产物或产物无法及时脱附,导致活性位阻塞。
这一原理强调催化剂需平衡吸附与脱附的热力学条件,以促进反应动力学。密度泛函理论(DFT)的成功使结合能计算成为常规实践,将Sabatier原理从经验原则转变为定量预测工具。
Sabatier原理的图形化表现为火山型曲线,其横坐标为吸附能,纵坐标为催化活性(通常用电流密度或TOF表示)。

图1 H*的吉布斯自由能和交换电流密度的关系示意图。DOI:10.1002/chin.200524023
初始(反应物)和最终(产物)状态之间的自由能差由热力学定义,并且与实际的催化剂无关。当施加的电极电位等于半电池电位时,反应物和产物的自由能相等,系统处于平衡状态。
一旦电极电位偏离半电池电位,例如析氯反应(CER),则需要正过电势,而阴极(还原)反应如析氢反应(HER)则需要负过电势。在此框架下,催化剂的作用是调节反应物和产物之间的自由能形貌(FEL)。
对于如CER或HER,只有一个反应中间体,其自由能取决于该中间体吸附到哪个催化剂表面上。该反应中间体相对于反应物的自由能在平衡电位时表示为ΔGRI。
理想的自由能形貌的一般共识是该反应中间体在平衡时具有与反应物和产物相同的自由能。即ΔGRI=0是理想催化剂的标准,并且可以被视为催化活性的“描述符”。原因如图2所示。
如果反应中间体被束缚得太弱(ΔGRI<0),则第一步在热力学上是不利的(图1A,蓝色线)。另一方面,如果中间体被束缚得太多(ΔGRI>0),则第二步在热力学上是不利的。

图2 (A) 表示不同结合强度(ΔGB)的反应中间体的自由能形貌(B) 显示了催化剂与反应中间体弱结合时需施加过电位η = ηTD。DOI:10.3389/fenrg.2021.654460
吸附–能量标度关系是描述不同反应中间体在催化剂表面吸附能之间线性关联的理论框架。

图3 标度关系示意图。CHx吸附能与多种金属表面上C吸附能之间的标度关系。DOI:10.1073/pnas.1006652108
从热力学角度来看,自由能形貌在平衡时应该是完全平坦的,以获得理想的催化剂。即使在涉及两个以上基本步骤的情况下也是如此。然而,在实践中,对于两个电子转移反应来说,调节自由能要容易得多,而对析氧和氧还原反应(OER和ORR:2H2O ↔ O2 + 4H+ + 4e–)则更为困难。
这反映在实验文献中,一些HER/HOR催化剂,如Pt,几乎不需要过电位就能实现电流密度的指数级增加,并且一旦施加过电位,电流密度就会迅速增加。
其他例子包括基于Pd的催化剂,它也表现出几乎没有过电位来催化CO2与甲酸之间的两个电子转移反应。相比之下,即使是活性最高的OER/ORR催化剂也需要数百毫伏的过电位才能达到mA/cm2的电流密度。

图4 在U=0V(黑色线)和U=1.23V(蓝色线)时的理想OER催化剂的热力学图。相对能量用红色字母表示。DOI:10.3389/fenrg.2021.654460
OER是一个四电子过程,Rossmeisl等人根据一个假设的路径计算了自由能,该路径假定OH、O和OOH吸附中间体作为反应中间体。每个步骤都被假定为通过协同质子–电子转移步骤进行。
在图5中,S表示OER催化剂的活性位点。为了实现理想的催化剂,每一步都必须在平衡电位下达到热力学上理想的状态。
换句话说,在自由能变化在自由能变化为ΔGi的情况下,热力学上理想的催化剂的标准是:ΔG1=ΔG2=ΔG3=ΔG4=0eV在U=1.23时,这导致了在U=0相对于RHE时,ΔG1=ΔG2=ΔG3=ΔG4=1.23eV,这对应于计算氢电极(CHE)模型框架内的DFT计算中的通常条件。
然而,到目前为止,还没有发现接近热力学理想催化剂要求的电极材料。这是因为结构相似中间体的结合能难以独立调节。例如,已知OH和OOH吸附物的结合能表现出线性相关关系。


图5 (A)由于和吸附物之间的线性比例关系(ΔG2+ΔG3=3.2eV),无法同时将和调整到1.23eV,当ΔG2+ΔG3=1.6eV时,实现了最小的热力学(理论)过电位(B)以火山图的形式绘制了与ΔG2的关系,表示热力学过电位。DOI:10.3389/fenrg.2021.654460

图6 (a)不同氧化物表面OH与OOH吸附能的标度关系(b-f)通过引入吸附物特异性稳定作用突破标度关系的策略示例。DOI:10.1038/nmat4778
d带中心(εd)定义为过渡金属催化剂d轨道投影态密度(PDOS)的一阶矩,其物理意义是d电子能量的重心位置。其数学表达式为:

E是结合能,R(E)是背景减去后的UPS强度/d轨道的投影态密度(pDOS),Ef是费米能级。

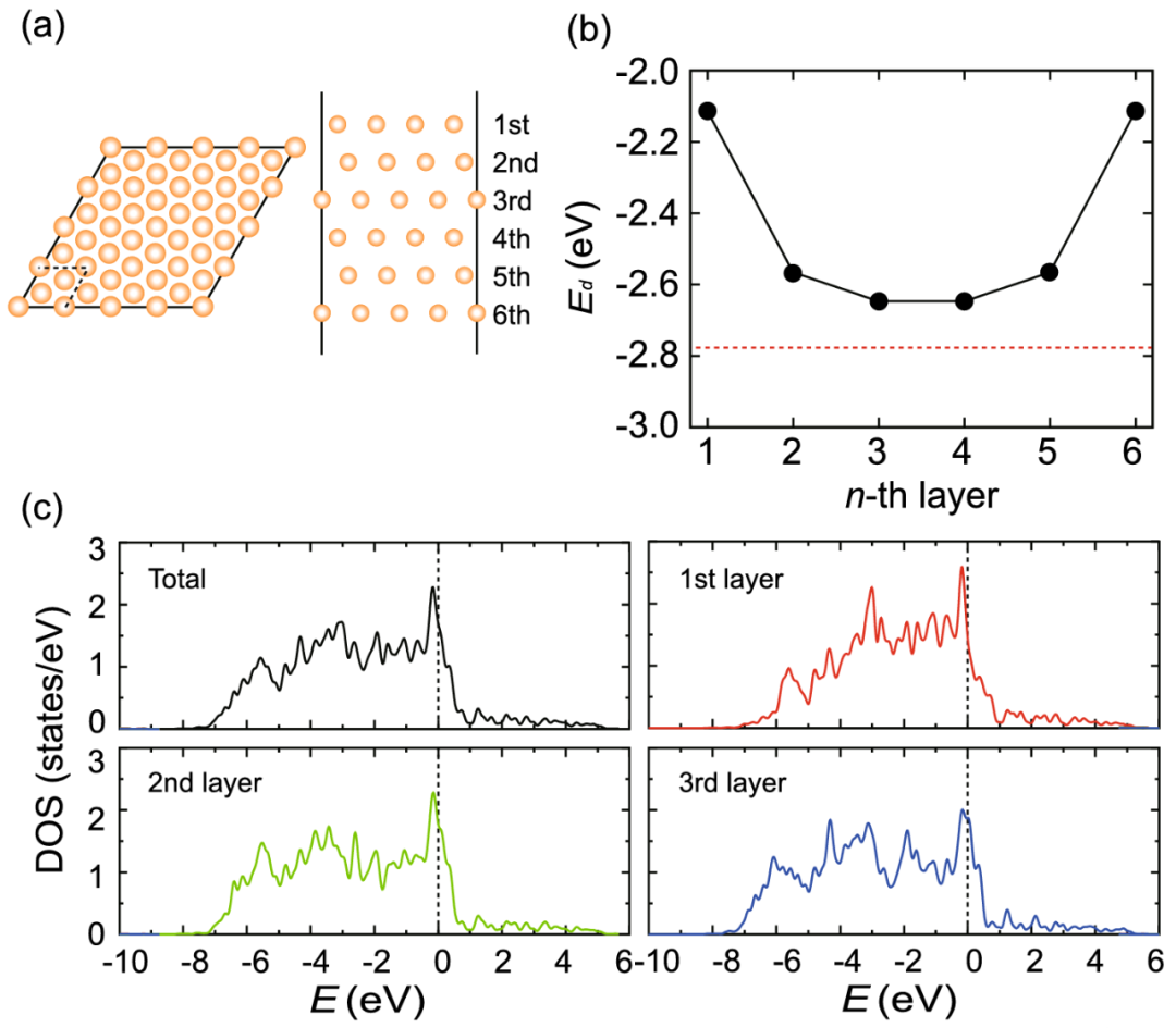
图7(a)六层Pt(111)表面的顶视和侧视图(b)每个Pt层在Pt晶格结构中的d带中心计算值(c)层分辨态密度(DOS)的Pt表面。DOI:10.1007/s40042-023-00934-3
d带中心位置决定吸附强度,远离费米能级时吸附减弱。根据Hammer-Nørskov模型,d带理论源于吸附物与金属表面之间的结合能取决于其自身的电子结构。局部d带中心将决定吸附物种与催化剂表面的键合强度,因为电化学过程发生在催化剂表面上。
此外,图8展示了吸附物价电子能级与过渡金属表面s态和d态之间化学键的形成过程。此类化学键的特征在于吸附物态与金属d态之间反键态的占据程度。当d态能级相对于费米能级越高时,反键态的未占据程度越大,吸附键强度也就越强。

图8 过渡金属表面的键合形成。DOI:10.1073/pnas.1006652108
活性描述符是能够定量或半定量关联催化剂内在性质(如电子结构、几何构型)与其催化活性(如过电位、周转频率)的物理或化学参数。
吸附自由能是最核心的一类描述符。
在析氢反应中,氢吸附自由能(ΔGH)是关键描述符,其理想值趋近于0 eV,这对应着最佳的催化活性。
在析氧反应中,含氧中间体(OH*、O*、OOH*)的吸附自由能及其组合(如ΔGO* − ΔGOH*)是预测活性的关键。
在电催化二氧化碳还原中,CO*、OCHO*等关键中间体的吸附能也被用作描述符来预测特定产物的选择性。

图9各种材料的交换电流密度与其对应ΔGH*关系的火山图。DOI:10.1002/adma.201907818

图10(a)ΔGOOH与ΔGOH的理论极限电势图(b)金属氧化物的OER火山图(c)质子耦合电子转移的四步经典OER反应机理,其速率决定步骤通常涉及*OOH中间体的形成(d)晶格氧参与反应机理示意图。DOI: 10.1002/advs.202301706
d带中心理论指出,过渡金属催化剂的d带中心相对于费米能级的位置与其对吸附物的键合强度密切相关。d带中心越高,吸附通常越强,反之亦然。这一理论成功解释了HER、OER等多种反应的活性趋势。

图11 d带模型应用示意图。电化学测量数据显示,多种金属基底上钯覆盖层的氢吸附能(ESCE)变化与计算的d带中心位移(δεd)高度吻合。DOI:10.1073/pnas.1006652108
eg轨道占据:在OER钙钛矿氧化物催化剂中,过渡金属阳离子的eg轨道填充度是一个有效的描述符,eg轨道填充接近于1时通常表现出最高的OER活性。

图12 d电子、eg电子、容忍度及电荷转移能相对OER活性趋势的置信带图。DOI:10.1093/nsr/nwx119
电负性/离子电负性(AIE):某些研究中,电负性相关的参数被用于预测催化活性,特别是在合金或单原子催化剂中。
广义配位数(GCN)和结构描述符(φ):这类描述符考虑了活性位点周围原子的局部配位环境,超越了简单的配位数概念,能够更精细地描述不同几何构型对催化性能的影响。
键长与键角:活性位点与吸附原子之间的键长、局部键角等几何参数直接影响轨道重叠和化学键强度,因此也被认为是重要的描述符。
【高端测试 找华算】
华算科技是专业的科研解决方案服务商,精于高端测试。拥有10余年球差电镜拍摄经验与同步辐射三代光源全球机时,500+博士/博士后团队护航,保质保量!
🏅已助力5️⃣0️⃣0️⃣0️⃣0️⃣➕篇科研成果在Nature&Science正刊及子刊、Angew、AFM、JACS等顶级期刊发表!
👉立即预约,抢占发表先机!

