说明:本文华算科技介绍了位点间距效应(ISDE)的定义、作用及其调控策略。ISDE指活性位点间距对性能的影响,包括单金属原子位点、异核原子位点及纳米/亚纳米尺度下的效应。通过调控合成条件、前驱体/载体结构工程及晶格应变工程等方法,可制备具有特定位点间距的催化剂,从而优化性能。
什么是位点间距效应?
位点间距效应是指在催化材料中,活性位点之间的距离对催化性能产生重要影响的现象。这一效应挑战了传统上认为相邻位点是独立作用的模型,表明位点之间可能存在长程协同作用,从而增强反应效率。

DOI: 10.1002/anie.202500644
电催化中的ISDE
调整位点间距离会影响局部电子结构、自旋耦合和吸附性质,从而优化吸附/脱附能垒、促进化学键的活化,并为反应中间体提供替代路径。此外,促进位点间的电子转移可以增强轨道杂化和成键能力。
单金属原子位点
单原子催化剂(SACs)因其高原子利用率、不饱和配位环境、可调的电子结构以及强金属-载体相互作用,成为研究原子尺度催化反应的理想平台。
(1)位点间相互作用
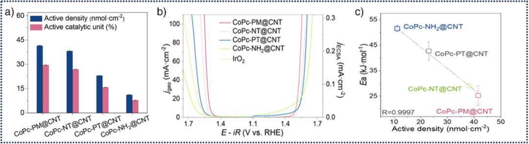
提高高密度单原子催化剂的负载量,即缩短相邻金属原子位点之间的距离,是提升催化性能的有效策略。
例如,研究表明,使用酸酐作为间隔分子可以有效分散堆叠的CoPc单元,从而增加活性位点的暴露。较短的间隔分子(如CoPc-PM@CNT)导致单位面积上活性位点密度更高,进而实现优异的催化性能。
与其他材料相比,CoPc-PM@CNT表现出更低的过电位、更高的比质量活性、转换频率以及长期稳定性。

图1. 单金属位点中由位点间相互作用调控的电催化性能。(a) 催化剂的活性位点密度与活性单元结构示意图;(b) 催化剂的极化曲线;(c) 表观活化能(Ea)与活性位点密度之间的线性关系。DOI: 10.1021/jacs.3c06665
(2)位点–载体相互作用
单原子位点在电催化中不仅促进活性位点间的电子传递,直接提升反应性能,还会影响其与载体的相互作用,从而提高催化剂的稳定性或激活其他催化中心。
异核原子位点电催化中的ISDE
通过构建异核双原子催化剂(DACs)并调控其金属组成,可实现电荷的极化与重新分布,从而改变催化表面的电子性质,提高反应性能。
例如,在氮掺杂石墨烯(HNG)上构建的Fe/Cu双原子催化剂,形成了局部N2Fe–CuN2构型,其中Fe–Cu键长为2.3±0.2 Å。该结构由于NO3–与Fe/Cu的d轨道之间强烈的相互作用,降低了NO3–还原为NH3的能垒,从而表现出更高的催化效率。

图2. 异核原子位点中的ISDE。(a) Fe/Cu-HNG的结构及Fe–Cu位点距离;(b) Fe/Cu-HNG、Fe-HNG和Cu-HNG的氨产率对比。DOI: 10.1038/s41467-023-39366-9
纳米/亚纳米尺度下的ISDE
原子排列与间距的变化在调控单原子位点电催化中起关键作用,例如晶格或层间距的调整。涵盖多个空间尺度的催化剂可通过协同相互作用产生的集体效应进一步增强催化活性。
(1)晶格中的ISDE:通过掺杂或引入空位等缺陷优化原子间距离,从而提升催化性能(图3a–c);
(2)层间距调控:调节层间距也可提高催化效率。
(3)间隙原子填充:利用轻原子(如H、B、C)填充间隙位点可进一步调控原子距离和电子结构(图3d–h)。
(4)粒子间距离的几何效应:电催化活性纳米粒子之间的空间距离是影响介观尺度传质过程的关键因素,进而调控催化剂性能。
例如,通过使用具有可调平均粒子间距的Cu纳米粒子修饰气体扩散电极,研究间距在工业级电流密度下对CO电解产物选择性的影响。结果表明,增大Cu纳米粒子间的平均间距可显著提高对多碳产物(如乙酸)的选择性。

图3.(a) Cu2-xSe和VSe-Cu2-xSe的结构模型;(b) 不同电位下乙醇的法拉第效率;(c) VSe-Cu2-xSe上乙醇生成增强的示意图。DOI: 10.1002/adfm.202214946(d) 金属间化合物的原子距离调控;(e) 过电位与Tafel斜率;(f–h) 相互作用及相关性验证。DOI: 10.1007/s40820-023-01142-1
如何合成ISDE?
通过调控合成条件、前驱体/载体结构工程以及晶格应变工程等方法,可制备具有特定位点间距的催化剂。

DOI: 10.1002/anie.202500644
合成条件调控
调节活性位点密度是直接且有效调控位点间距的策略,主要通过控制金属负载量实现,例如调节金属离子浓度或处理温度。常用的方法包括浸渍–煅烧或沉积法。

图4. 浸渍-煅烧法制备CoFe-PPy水凝胶的合成示意图。DOI: 10.1021/acsenergylett.9b00893
电沉积法通过调控前驱体浓度,可精确控制金属负载量,进而调控位点间距。

图5. 通过改变Ir前驱体浓度实现Ir负载量的精确控制。DOI: 10.1038/s41467-020-14917-6
前驱体/载体结构工程
通过调整有机金属前驱体的载体环大小、改变载体链长度或采用先进合成策略,可精确控制单原子催化剂中的位点间距。
例如,利用酸酐间隔的钴四氨基酞菁(CoPc-NH2)进行一步溶剂热合成,制备分子间隔的单原子催化剂。刚性间隔基团确保了有序结构和Co单原子的有效分散。

图6. 三种不同金属位点间距的材料示意图。DOI: 10.1021/jacs.3c06665
此外,双位点催化剂(DACs)的合成强调了空间排列在催化中的重要性。双原子活性位点的构型(相邻、桥接或分离位点)直接影响其催化性能。
对于同核(M1 = M2)和异核(M1 ≠ M2)双位点催化剂,原子间距对优化协同效应至关重要。合成策略通常涉及使用具有双核金属中心的前驱体或具有双锚定位点的定制载体,方法包括煅烧、浸渍、沉积、自组装和离子交换。

图7. 通过双核镍配合物煅烧合成Ni₂–N掺杂碳催化剂,实现在不同温度下对原子间距的调控。DOI: 10.1039/C9TA13192B
晶格应变工程
晶格应变是指颗粒表面或局部区域内原子间距离的变化。调控位点间距的策略通常包括缺陷工程(掺杂、空位)、尺寸/形貌控制、载体应变和合金化。
缺陷态通过增加活性表面位点数量、改变催化剂结构和晶格,显著影响催化性能。这些结构修饰进而影响反应选择性。此外,缺陷可通过降低活化能垒和加速整体反应速率来影响反应动力学。特别是,掺杂和空位等缺陷在调控原子间距方面发挥关键作用,从而进一步提高催化效率。

图8. 将硼引入金属晶格以调控活性金属位点的原子间距:OsBx制备示意图。DOI: 10.1007/s40820-023-01142-1
【高端测试 找华算】
华算科技是专业的科研解决方案服务商,精于高端测试。拥有10余年球差电镜拍摄经验与同步辐射三代光源全球机时,500+博士/博士后团队护航,保质保量!
🏅已助力5️⃣0️⃣0️⃣0️⃣0️⃣➕篇科研成果在Nature&Science正刊及子刊、Angew、AFM、JACS等顶级期刊发表!
👉立即预约,抢占发表先机!

