
Q: CV采用什么体系进行测量?为什么?

A: CV是表征电极反应参数的一种手段。电极反应一般是由氧化还原体系,支持电解质与电极体系构成。在绝大多数循环伏安法测量中均采用三电极体系,采用三电极系统的原因是极化过程中工作电极、辅助电极的电位在发生变化,且极化电流在工作电极和辅助电极之间溶液上产生的欧姆电位降也会附加到被测的电极电势上,对测试结果产生影响。


CV定性分析的具体方法

Q:CV测试时有哪些重要的参数?在测量时如何对参数进行选择?

A: CV在测量时需要对于①初始电位②上限电位③下限电位④初始扫描方向⑤扫描速度⑥扫描段数(2段为1圈)⑦采样间隔⑧静置时间⑨灵敏度(数值和测试电流同一数量级或大一级,尽量小,但是测试过程左下角不会出现overflow)进行设置,通过测定物出峰的范围以及需求进行设置,通常可以先进行大范围的电位测试,确定出峰位置,然后再选择合适的电位区间,需要注意的是电位范围选择过大会出现水的氧化还原峰,对于测试物出峰会有影响。
Q:CV图中如何确定氧化还原峰?
A: 循环伏安曲线中还原峰对应阴极反应,其电流为阴极电流,对应的峰为还原峰,峰电位越正,峰电流越大,越容易还原;而氧化峰则对应阳极反应,其电流是阳极电流,对应的峰为氧化峰,峰电位越负,峰电流越大,越容易氧化。

①从电位上判断,对于同一氧化还原电对,通常氧化峰位于还原峰较正的位置上,也就说,峰电位较正的峰是氧化峰,峰电位较负的峰是还原峰,这是极化造成的结果。
②扫描方向:循环伏安法参数设置中有一项起始扫描极性(negtive 还是positive),正扫(从低电压向高电压扫描)是指从负电位到正电位,扫出的峰就是氧化峰;负扫(从高电压向低电压扫描)是指从正电位到负电位,说明外加电路给电极上加电子,溶液中易发生还原反应的离子(例如:三价铁离子)向电极靠近,得到电子,从而发生还原反应,所以扫出的峰就是还原峰。所以电位越负的话,说明还原性越强,所以扫出的峰就是还原峰。
在同一电压向正扫和向负扫将分别是氧化和还原,不是看电压高低来决定是氧化还是还原。
Q:CV图需要对哪些参数进行分析?
A: 循环伏安图中可以得到的几个重要参数是:阳极峰电流(ipa),阴极峰电流(ipc),阳极峰电位(Epa)和阴极峰电位(Epc)。
测量确定峰值电流ip的方法是:沿基线作切线外推至峰下,从峰顶作垂线至切线,其间高度即为ip。Ep可直接从横轴与峰顶对应处读取。
Q:如何利用CV确定反应机理?
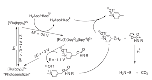
A: 以下图光降解反应为例,推测其反应过程,二联吡啶钌作为氧化剂,抗坏血酸为还原剂。

活化能与电位之间关系如下:

通过溶剂系数等合并后可得两个不同反应过程的吉布斯自由能计算式:

将电位数值代入则可得到吉布斯自由能大小,根据自由能的正负则可判断反应历程。
Q:如何利用CV判断反应特性?
A: ①利用循环伏安确定反应是否为可逆反应(一般这两个条件即可)。
a.氧化峰电流与还原峰电流之比的绝对值等于1。
[有时对同一体系,扫描速率不同也会在一定程度上影响其可逆性。一般而言,扫描速度对峰电位没有影响,但扫描速率越大其电化学反应电流也就越大。]
b.氧化峰与还原峰电位差约为59/n(mV), n为电子转移量(温度一般是293K)。
[但是一般我们实验时候不是在这个温度下,因此用这个算是有误差的,一般保证其值在100mv以下都算合理的误差。]
②判断扩散反应或者是吸附反应:
改变扫描速率,看峰电流是与扫描速率还是它的二次方根成正比。
a.若是与扫描速率成线性关系,就是表面控制。
b.若是与二次方根成线性关系, 就是扩散控制。
本文源自微信公众号:一起学电池
原文标题:《CV曲线上,常见Q&A 解答》
原文链接:https://mp.weixin.qq.com/s/WZUiR_DnLlEWNEkrMUQKsA
本转载仅出于分享优质测试干货,旨在传递更多观点,并不代表赞同其全部观点或证实其内容的真实性。文章中所包含的图片、音频、视频等素材的版权均归原作者所有。如有侵权请告知删除。

