

说明:本文华算科技将从同步辐射XAS的基础出发,深入解析其在《Nature Communications》论文中的具体应用,以及它如何与原位Raman和原位DRIFTS等表征技术协同作用,揭示了同步辐射XAS在解析催化剂中的应用。
同步辐射XAS(X-ray Absorption Spectroscopy,X射线吸收光谱)是利用同步加速器产生的高强度、高准直性X射线,研究物质对X射线吸收特性的光谱技术,核心包含X射线吸收近边结构(XANES)与扩展X射线吸收精细结构(EXAFS)两部分,可在原子层面获取吸收原子的电子状态与局部配位环境信息。
XANES(X-ray Absorption Near-Edge Structure,X射线吸收近边结构)
聚焦于X射线吸收边前后几十电子伏特的能量范围,其光谱特征源于吸收原子内层电子向外层空轨道(或连续态)的跃迁。跃迁概率与吸收原子的电子能级分布直接相关,因此对吸收原子的氧化态、配位环境对称性及电子结构具有极高灵敏度。
EXAFS(Extended X-ray Absorption Fine Structure,扩展X射线吸收精细结构)
研究吸收边高能侧(吸收边以上几百至几千 eV)X 射线吸收系数的振荡现象,其本质是吸收原子与周围近邻原子对X射线的散射干涉效应。
通过对振荡信号的拟合分析,可获取吸收原子周围近邻原子的种类、配位数(CN)、键长(R)及德拜–沃勒因子(Δσ2)等结构参数。

高灵敏度识别表界面氧物种与缺陷结构
对催化剂表面的活性氧及缺陷结构具有极高灵敏度,可以实时监测反应过程中氧空位与表面氧的动态变化。
原位追踪晶体结构与相变过程
可在反应条件下实时监测催化剂载体或活性组分的晶体结构变化(如相变、晶粒生长)。
无破坏性,可长期动态监测
测试过程无需接触样品,也不会对样品结构或反应体系造成干扰,可实现长时间(如几小时至几十小时)的动态监测,为催化剂长效活性提供结构层面的解释。

高特异性识别表面吸附物质与反应中间体
不同表面吸附物质具有独特的红外吸收峰,可通过峰位精准识别,同时可以捕捉反应中间体的生成与转化过程,明确反应路径。
原位追踪反应动态,揭示反应机制
可在不同温度、反应气氛下实时记录红外光谱,追踪表面物质随反应条件的变化。
定量分析表面浓度,关联反应动力学
红外吸收峰的积分面积与物种浓度遵循朗伯–比尔定律,可通过峰面积定量计算表面物种的覆盖度与生成速率,结合动力学数据,明确反应决速步。
适用于复杂反应体系,排除气相物种干扰
通过背景扣除与漫反射模式,可有效排除气相物种(如未吸附的丙烯、CO2)的干扰,仅聚焦催化剂表面的信号。


DOI:https://doi.org/10.1038/s41467-025-64243-y
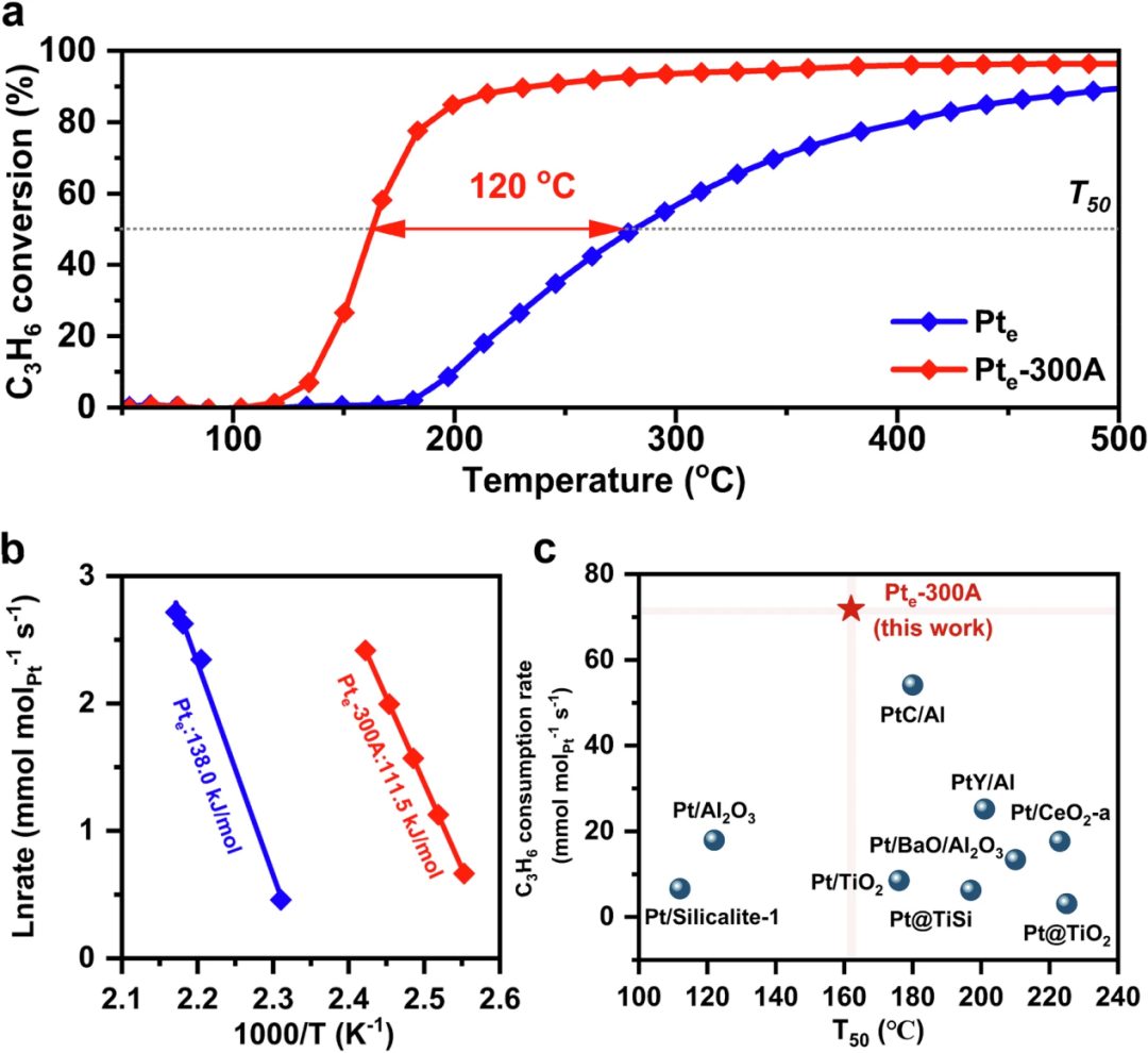
在这里,作者将Pt团簇负载于CeO2载体上形成Pt/CeO2催化剂,并通过氢气还原活化提升丙烯(C3H6)氧化的催化性能。
结合同步辐射XAS、X射线光电子能谱(XPS)、原位Raman、原位DRIFTS和DFT计算等多种表征测试,共同证实了该催化剂的成功制备,并有助于理解在不同反应温度下的催化作用机制。
通过对比Pt/CeO2催化剂与Pt foil和PtO2标准样品的Pt L3边XANES谱图,可以看出,未经过H2活化的Pt催化剂吸收边位置与PtO2非常接近,表明该催化剂中Pt主要以高度氧化的状态存在。
而经过300℃的H2活化后的Pte-300A催化剂,其XANES吸收边位置明显向低能量方向移动,更接近Pt foil的吸收边位置。这一变化表明,H2活化过程使Pt发生了显著的还原,部分高度氧化的Pt转变为Pt0。

进一步对Ptₑ催化剂进行拟合,从EXAFS谱图中可以看出,仅出现了Pt-O键的特征峰,这表明在催化剂中Pt主要与CeO2载体表面的氧原子发生配位,形成了Pt-O键,不存在明显的Pt-Pt键。
结合HAADF-STEM表征可以推断该催化剂中的Pt主要以单原子形式存在,且与CeO2载体表面的氧原子紧密结合,形成了高度分散的Pt-O-Ce结构。
与Ptₑ催化剂不同,Ptₑ-300A催化剂的EXAFS谱图中除了出现Pt-O键外,还出现了明显的Pt-Pt键特征峰。
Pt-Pt键的出现表明H2活化过程促使Pt发生聚集,形成了Pt0簇。同时,Pt-O键配位数的降低,说明部分Pt-O键断裂,Pt与CeO2载体表面氧原子的相互作用减弱,更多的Pt转变为Pt0。

除了单一的XAS技术之外,XAS与其他表征技术的结合对于分析材料性质来说具有极大的帮助。
通过催化剂在丙烯氧化过程中的原位Raman谱图可以看出,低温下CeO2载体的氧空位未被激活,丙烯分子仅在Pt⁰位点发生轻微活化,反应速率较慢。这点于XAS结果互为验证,证明低温下氧未激活,高温下氧参与反应,为后续机制划分提供了关键性条件。

通过原位DRIFTS测试可以发现,在Ptₑ-300A催化剂上,丙烯氧化反应过程中出现了多种不同的中间体,且随着温度升高,乙酸盐的强度逐渐增加,最终生成CO2。这表明Pt0团簇能够有效地吸附和活化丙烯分子,促进反应中间体的生成和转化。

利用DFT展示了Pt/CeO2催化剂上丙烯(C3H6)氧化的两种动态反应路径,核心是通过量子化学方法计算不同反应条件下的电子结构与能量变化,量化验证了温度驱动的反应机制转变。
研究发现,低温(℃)时,O2在Pt0位点解离能垒更低,C3H6与O2在Pt0位点共吸附活化,而高温(>170℃)时,Pt-O-Ce界面氧活化能垒降至0.17 eV,O2转向界面活化并通过界面传递至Pt0位点,与已吸附的C3H6协同反应,很好的从能量层面解释了两种反应路径的合理性与温度依赖性。

通过本次解读的文章可以看出,同步辐射XAS并非孤立工作,它与 HAADF-STEM、原位Raman、原位DRIFTS等多种表征技术紧密配合,从不同维度验证和补充彼此的结果,形成了一个完整的研究体系。
在未来的催化研究中,同步辐射XAS也一定会助力更多催化机制的突破和高效催化剂的开发。
【高端测试 找华算】
华算科技是专业的科研解决方案服务商,精于高端测试。拥有10余年球差电镜拍摄经验与同步辐射三代光源全球机时,500+博士/博士后团队护航,保质保量!
🏅已助力5️⃣0️⃣0️⃣0️⃣0️⃣➕篇科研成果在Nature&Science正刊及子刊、Angew、AFM、JACS等顶级期刊发表!
👉立即预约,抢占发表先机!



