COF 8大表征总结!XPS、TEM、FTIR、TGA、同步辐射XAS等!

什么是同步辐射XAS

同步辐射XASX-ray Absorption SpectroscopyX射线吸收光谱)是利用同步加速器产生的高强度、高准直性X射线,研究物质对X射线吸收特性的光谱技术,核心包含X射线吸收近边结构XANES与扩展X射线吸收精细结构(EXAFS)两部分,可在原子层面获取吸收原子的电子状态与局部配位环境信息。

XANESX-ray Absorption Near-Edge StructureX射线吸收近边结构)

聚焦于X射线吸收边前后几十电子伏特的能量范围,其光谱特征源于吸收原子内层电子向外层空轨道(或连续态)的跃迁。跃迁概率与吸收原子的电子能级分布直接相关,因此对吸收原子的氧化态、配位环境对称性及电子结构具有极高灵敏度。

EXAFSExtended X-ray Absorption Fine Structure,扩展X射线吸收精细结构)

研究吸收边高能侧(吸收边以上几百至几千 eV射线吸收系数的振荡现象,其本质是吸收原子与周围近邻原子对X射线的散射干涉效应。

通过对振荡信号的拟合分析,可获取吸收原子周围近邻原子的种类、配位数(CN)、键长(R)及德拜沃勒因子(Δσ2等结构参数。

COF 8大表征总结!XPS、TEM、FTIR、TGA、同步辐射XAS等!
同步辐射如何构建完整证据链?
1. XPS与同步辐射:表面化学态还能怎么深入?
XPS是表征表面元素化学态的重要技术,但在鉴定COF/MOF中金属单原子的精确配位环境时,常因信号弱、分辨率不足而受限同步辐射XAS则能提供更高能量分辨率和元素特异性的分析,形成互补。
COF 8大表征总结!XPS、TEM、FTIR、TGA、同步辐射XAS等!
(DOI:10.1038/s41467-024-49834-5)

通过XPS与同步辐射光谱的协同表征,钌(Ru)以单原子形式成功整合到COF-205骨架中,并与框架中的氮原子配位。Ru的氧化态介于+2与+3之间,其电子结构受到COF配位环境的显著调控。这种明确的单原子分散与独特的电子特性,是理解其催化行为的关键。
COF 8大表征总结!XPS、TEM、FTIR、TGA、同步辐射XAS等!
对比未负载 Pt 的 CTF,Pt-CTF/CP 的 N 1s 谱中,C–N═C 峰(398.7 eV)向高结合能偏移 —— 这是因为 Pt (II) 与 N 原子形成配位键,拉走 N 的电子,导致 N 结合能升高,为 “Pt-N 配位的单原子位点” 提供了化学环境证据。
普通 XPS 常因信号弱、分辨率低,难以区分相似价态(如 Pt²⁺与 Pt³⁺),而同步辐射 XPS 的高能量分辨率,能捕捉到 0.1 eV 的峰位差异,让 “单原子电子态” 的论证从 “模糊推测” 变成 “精准实锤”。
2. 气体吸附与同步辐射:如何确认材料稳定性?
气体吸附是 COF/MOF 的 “基础体检”(测比表面积、孔径),但只看静态孔结构,无法解释 “为什么有的材料反应快、有的会振荡”—— 而同步辐射能补上 “动态传输” 的关键一环,让 “结构 – 功能” 关系不再断层。
N吸附等温线与孔径分布
COF 8大表征总结!XPS、TEM、FTIR、TGA、同步辐射XAS等!
Pt-CTF/CP的N₂吸脱附等温线显示其为介孔材料,孔径分布图在1.4 nm和5.3 nm处有峰。证明了材料具有高比表面积和多级孔结构,这为反应物/产物的传输提供了通道,并与电镜观察到的“碳颗粒被CTF包裹”的形貌相互支持。
CO吸附热分析
COF 8大表征总结!XPS、TEM、FTIR、TGA、同步辐射XAS等!
不同 POF 的 CO₂吸附热(ΔHₐds)显示:di-POF(高氨基)> POF > ph-POF(低氨基)。结合同步辐射 XANES排除 Pd 氧化态变化),直接揭示反应振荡的本质 —— 氨基多的 POF 对 CO₂吸附强,导致 CO₂扩散慢,积累到一定程度后快速脱附,形成 “高 / 低转化率” 循环。
如果只做气体吸附,你只能说 “材料有孔”;但结合同步辐射,你能说 “孔道如何影响传输,传输如何调控反应”—— 这正是顶刊审稿人想看到的 “深度关联”。
3. 热分析与同步辐射:如何确立 COF/MOF 的稳定性与相变本质?
做 COF/MOF 研究,“稳定性” 是绕不开的话题 。热分析(TGA/DSC)是判断材料热稳定性和相变行为的关键技术,但它无法解释 “热过程中结构怎么变”;而同步辐射能追踪热诱导的原子级变化,让 “稳定性” 从 “重量变化” 升级为 “结构演化”。
差示扫描量热(DSC)曲线
COF 8大表征总结!XPS、TEM、FTIR、TGA、同步辐射XAS等!
Cu[Fe]₂/₃-g的DSC曲线显示出一个明显的玻璃化转变(Tg)和后续的放热结晶峰(Tc)。
DSC提供的Tg是证明其玻璃态本质的决定性证据之一。该数据表明,通过机械研磨得到的非晶态是一种热力学亚稳态的玻璃,而非永久性的结构破坏。这为使用同步辐射PDF去深入研究其短程有序结构提供了充分的理由和重要性。
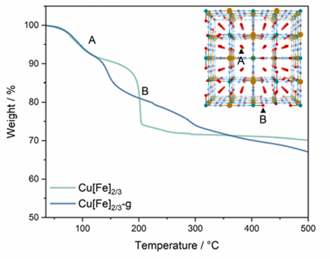
热重分析(TGA)曲线
COF 8大表征总结!XPS、TEM、FTIR、TGA、同步辐射XAS等!
晶体与玻璃态PBA的TGA曲线,显示它们具有相似的水分失去步骤。证明了玻璃化过程没有破坏材料的基本化学组成(如配位水),暗示其结构变化主要在于长程有序性,这与PDF的发现高度一致。
热分析为同步辐射研究提供了“温度路标”和“稳定性证明”,确保了同步辐射所观测到的结构是相关且稳定的,共同构筑了材料构效关系的热力学基础。
4. FTIR与同步辐射:分子振动如何佐证结构?
红外光谱能够灵敏地探测分子键的振动信息,能快速识别官能团(如 C≡N、O-H),但单独使用时,难以判断官能团与金属位点的相互作用 —— 而同步辐射能提供原子级配位信息,两者联用可形成 “分子振动 – 原子配位” 的证据闭环。
COF 8大表征总结!XPS、TEM、FTIR、TGA、同步辐射XAS等!
晶体和玻璃态PBA的FTIR图谱,在~2100 cm⁻¹附近均保留了C≡N的特征伸缩振动峰。直接证明了在机械研磨的玻璃化过程中,金属-配体(M-C≡N-M’)的连接键得以保留
同步辐射PDF 分析进一步发现,玻璃态 PBA 的 Cu-Fe 键长(4.94 Å)略短于晶体(5.03 Å)—— 结合 FTIR 的 C≡N 峰位无偏移,说明短程配位环境仅发生微小收缩,而非键的断裂或重构。
如果只看 FTIR,你只能说 “键还在”;但结合同步辐射,你能说 “键的长度、相邻原子的排列都没变”—— 这种 “分子 – 原子” 的双重验证,让结构分析更严谨,避免因 “官能团存在但配位变化” 导致的机理误判。
5. TEM与同步辐射联用:形貌之外还能看到什么?
TEM能看清形貌和晶格,但难以进行轻元素分析和化学态识别。同步辐射X射线纳米探针(Nano-XRF/XAS)则可在纳米尺度进行元素分布与化学态mapping,实现 “哪里有(形貌)、有什么(成分)、是什么状态(化学态)” 的三维关联。
COF 8大表征总结!XPS、TEM、FTIR、TGA、同步辐射XAS等!

COF 8大表征总结!XPS、TEM、FTIR、TGA、同步辐射XAS等!

HAADF-STEM中的亮点暗示了重原子(Pt)的孤立存在。EDX图则直观显示N和Pt信号在碳载体边缘共定位,证明Pt-CTF成功包覆在碳颗粒上,排除了Pt在碳上单独聚集的可能性,最终确认 “Pt 单原子位点” 的空间分布与配位结构
普通电镜只能给你 “宏观形貌”,而同步辐射 + 显微成像能给你 “微区结构 – 成分 – 化学态” 的精准对应 —— 比如在 MOF 基催化剂中,你能看到 “Co 单原子仅分布在 MOF 的缺陷位点,且为 Co²⁺”,这对理解活性位点起源至关重要。
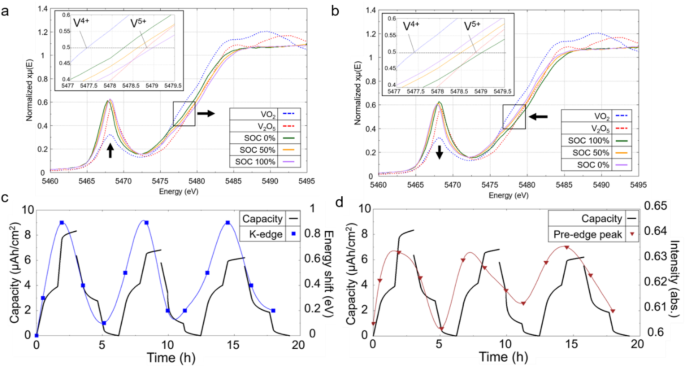
5. 同步辐射 XAS 如何 “一锤定音”:从单原子配位到动态反应追踪?
在 COF/MOF 机理研究中,XAS 是 “终极武器”—— 它既能静态解析单原子配位,又能动态追踪反应过程,帮你破解 “审稿人最关心的两个问题”:活性位点是什么?反应中发生了什么?
静态解析:锁定单原子配位
COF 8大表征总结!XPS、TEM、FTIR、TGA、同步辐射XAS等!
(DOI:10.1038/s41467-025-63637-2
XANES表明Pt处于正价态;EXAFS谱中Pt-Pt配位峰的完全缺失,证实了其原子级分散;而WT-EXAFS与拟合分析共同锁定其配位环境为Pt-N/O。这些结果与电镜观测相互印证,完整揭示了单原子位点的结构与配位
动态追踪:排除错误机理
COF 8大表征总结!XPS、TEM、FTIR、TGA、同步辐射XAS等!
在POF/Pd/POF催化CO氧化振荡期间,于高转化率和低转化率阶段分别采集的XANES谱图完全重叠。有力排除了Pd氧化态变化是反应振荡原因的传统机理,引导研究者转向并确立了由“CO₂扩散控制”的新机理。
普通表征只能给你 “间接线索”,而 XAS(尤其是原位 XAS)能给你 “直接证据”—— 它就像 “反应摄像机”,实时记录活性位点的原子级变化,让机理从 “推测” 变成 “眼见为实”。
同步辐射联用有哪些 “必用策略”?
同步辐射联用的 “顶刊逻辑” 其实很清晰,核心就是 “补全证据链”:
“是单原子还是团簇?”——XAS+TEM+XPS,形成EXAFS 无金属 – 金属键+XPS 定氧化态的完整证据链。
“反应中结构怎么变?”——原位 XAS + 原位 Raman,构建XAS 追踪原子配位 / 价态+Raman 监测中间体的完整证据链。
“孔道如何影响性能?”——气体吸附 + 同步辐射 PDF,形成气体吸附定孔结构+PDF 析孔道内原子排列完整证据链。

华算科技是专业的科研解决方案服务商,精于高端测试拥有10余年球差电镜拍摄经验与同步辐射三代光源全球机时,500+博士/博士后团队护航,保质保量!

🏅已助力5️⃣0️⃣0️⃣0️⃣0️⃣➕篇科研成果在Nature&Science正刊及子刊、Angew、AFM、JACS等顶级期刊发表!

👉立即预约,抢占发表先机!

声明:如需转载请注明出处(华算科技旗下资讯学习网站-学术资讯),并附有原文链接,谢谢!
(0)
上一篇 2025年11月10日 下午5:07
下一篇 2025年11月10日 下午5:56

相关推荐