在对物质进行分析测试时,有时仅依靠单一的测试技术,不能获得很好的测试结果,研究者往往会将两种或两种以上的测试方法结合起来,以期达到理想的测试结果,像这种将两种或者两种以上方法结合起来的技术称之为联用技术。
现代技术的发展已使质谱超越了对样品进行简单的常规测试并推断化合物的分子结构的阶段。将热重分析与质谱分析结合起来,必将为研究物质的热降解过程提供一个更加全面,高效的分析工具。尤其是弥补了热重分析法只能给出热分解温度、热失重百分量,而无法定性确定挥发气体成分的不足。将热重分析和质谱联合起来使用的仪器叫做热重质谱联用仪。
TG-MS 工作原理

TG-MS 是将样品加热至气化后电离,再送入质量分析器进行离子检测。
具体来说,由热重分析仪在程序控制温度和一定气氛下对样品进行加热,测量样品在加热过程中因挥发物的存在或者燃烧分解出气体发生的微小质量变化。然后,逸出的样品气体分子通过一个离子源进入质谱,在离子源中样品分子被高能电子束轰击。这个能量比有机物的离子化势能和键强度大,该能量实际上足够从分子上移动一个或更多的电子,形成正电荷分子离子。
另外,电子束的能量还能够引起分子发生大量的碎裂,通过复杂的裂解途径形成许多不同的正电荷碎片离子,分析这些离子可获得化合物的分子量、化学结构、裂解规律和由单分子分解形成的某些离子间存在的某种相互关系等信息。

TG-MS 的联用可以同时获得样品热失重变化特征和获得气体产物的逸出行为,最终生成温度与质量曲线,每个温度段都会生成该温度气化样品的质谱。在分析过程中精确测量样品质量,即可量化出样品成分与温度的函数关系。然后再用质谱法对样品进行定性,即可将定性分析结果与所有挥发组分的物理性质联系起来。
TG-MS 仪器结构

热重质谱联用仪主要由以下部分组成:热重分析部分、毛细管连接、电加热部分、质谱部分和数据处理系统。

热重质谱联用仪的结构示意图
1
热重分析部分
热重分析部分和一般的热重分析仪基本相同,主要由热天平、炉体加热系统、程序控温系统、气氛控制系统等几部分组成。此外,热重分析部分还带有气体输送管的接口,方便热降解过程中产生的气体通过气体输送管进入到质谱检测系统。
2
毛细管连接部分
毛细管部分是将热重分析与质谱系统连接起来的核心部件(为耐热毛细管),在高温下,将热重分析系统产生的气体以及挥发物引入到玻璃气体池中。
3
电加热部分
电加热部分是将通过毛细管输入的气体加热,目的是为了保证毛细管部分的恒温,使气体不发生冷凝。
4
质谱部分
质谱部分与一般的质谱仪基本相同,主要由进样系统、离子源、质量分析器、检测器和真空系统等几个部分组成。当毛细管将热重分析部分产生的气体导入质谱中,即可进行实时检测,实现热重质谱的联用。
TG-MS 应用领域

01

材料热稳定性分析
TG-MS 可以用来评估材料在受热时的热稳定性;通过监测样品的质量变化和气体产物的质谱图,确定材料的热分解温度、失重速率以及产生的气体组分。
02

物质分解过程分析
TG-MS 可以了解物质在加热过程中的分解过程;通过观察质量变化和气体产物的变化,推断出样品中的化学键断裂、分子碎片以及最终产物。
03

气体产物鉴定
质谱分析可以提供气体产物的详细信息,这有助于确定样品中的特定组分,以及它们在热分解过程中的行为。
04

药物分析
在药物研发和质量控制中,TG-MS 可以用来分析药物样品的热稳定性、纯度和成分;这对于确保药物产品的质量和安全性至关重要。
TG-MS 应用实例

揭示可控碳缺陷密度合成机理
天津理工大学赵炯鹏教授、吉林大学姚向东教授采用热重-质谱(TG-MS)原位追踪热解过程,揭示碳缺陷的合成机理。
热重曲线证实了其质量变化趋势,与 LDPC 的质量损失骤降相比,HDPC 的质量损失是逐步的。质谱通过追踪 CO 和 CO2 信号进一步验证了 HDPC 和 LDPC 形成过程的差异。与 LDPC 相比,HDPC 的 CO 信号在较低的温度下出现,在较高的温度下消失。而 HDPC 在热解过程中没有 CO2 信号,说明已经完成了 CO2 到 CO 的转化。

原位 TG-MS 测试结果
研究气固磷化反应机制
天津大学张兵团队通过原位 TG-MS 分析监测反应过程中释放的气体。
与纯 NaH2PO2 相比,NiO 和 NaH2PO2 混合物的分解行为存在显著差异,该混合物具有较小的重量损失和较低的初始温度。此外,与第一个失重阶段相对应的 MS 信号分成两个峰,在反应过程中检测到 PH3 的弱信号。这些 TG-MS 结果表明释放的气体和 NiO 之间存在强烈的相互作用。简而言之,在 NiO 表面上 PH3 分解为 H2 降低了 NaH2PO2 歧化所需的反应温度。

d,e:NaH2PO2 和 NiO 混合物磷化过程的原位热重-质谱以及一些重要中间体的信号;f,g:单独 NaH2PO2 分解的原位热重-质谱信号
监测加热过程中正极材料产氧情况
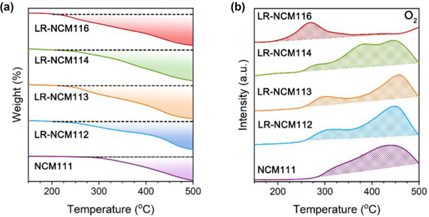
中科院宁波材料所刘兆平研究员团队及合作者通过原位 TG-MS 表征加热过程中电极材料的质量损失与氧气释放的情况。
结果显示,高 Mn 含量富锂锰基正极材料在更低的温度下释放氧气,表明了其较差的结构稳定性。除了氧气释放,正极材料在加热过程中发生的结构转变也与热稳定性紧密相关。

a:不同组成的富锂锰基正极材料在加热过程中质量损失对比;b:不同组成的富锂锰基正极材料在加热过程中氧气释放对比
揭示不同材料的不同还原过程
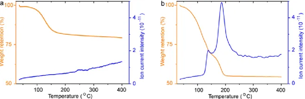
安徽师范大学耿保友及其合作者同步 TG-MS 研究进一步揭示了 PtClx/C-60-IMD 和 H2PtCl6/C-60 在 H2/Ar 混合气中的还原过程之间的显著差异。
对于 PtClx/C-60-IMD,HCl 信号稳步增加,表明该还原过程十分温和,并且 TG 失重始于 100℃。而 H2PtCl6/C-60 存在两个明显的还原峰,其中 145℃ 附近的峰归因于 H2PtCl6 分解为 PtClx,200℃ 附近的峰代表 PtClx 向 Pt NPs 还原,此过程 HCl 释放峰的出现对应着强烈的反应过程,可能是其还原尺寸失控的原因。

PtClx/C-60-IMD 的 TG-MS 曲线
表征材料分解温度
南京工业大学刘晓勤、孙林兵课题组通过 TG-MS 对不同载体负载碱前驱体硝酸钠的分解温服进行了表征。数据结果显示,硝酸钠在不同的载体上分解温度不同。
当载体为沸石 Y 时,硝酸钠在 650℃ 左右分解;当载体为氧化硅 SBA-15 时,硝酸钠在 400-600℃ 左右分解;当载体为 MIL-101(Cr) 时,硝酸钠在 300℃ 左右分解。充分证明硝酸钠在 MIL-101(Cr) 上可以实现低温分解。

不同载体材料负载碱前驱体的 TG-MS 数据。a:硝酸钠负载于沸石 Y;b:硝酸钠负载于氧化硅 SBA-15;c:硝酸钠负载于 MOF MIL-101(Cr)。C 代表硝酸钠的分解位置,D 代表载体骨架坍塌位置
TG-MS 常见问题

Q1
TG 和 MS 联用,升温速率对结果有什么影响?
一般来说,TG 和 MS 联用时,建议设置大的升温速率,如 10、15、20℃/min,而不选择低于 10℃/min,主要目的是为了使分解产物快速集中进入质谱,从而使信号增强。

Q2
指定产物分析和全扫有什么区别?
TG-MS 分为指定产物分析和全扫。指定产物分析是只检测指定物质的质荷比(相对分子质量),没有指定的物质则没法测出来,如果知道样品中预期有哪些产物或者只想分析固定的产物,建议选择指定物质分析,精度和分辨率较高;全扫是不指定产物分析,质谱测出检测下限到检测上限的所有物质,精度和分辨率较差。

Q3
待测产物的相对分子质量一样如何区分?
指定产物分析中有可能遇到相对分子质量一样的物质,比如 CO、C2H4 和 N2,这需要根据物质的性质进行辨别,比如 CO 和 C2H4 都含有 C,但是 CO 没有 H,C2H4 中的氢原子可能会轰击掉,那么就可以用 27 代替乙烯,而氮气的话可能会被离子源轰击成两个 N 原子,那么就可以用 14 来代替氮气。

Q4
TG-MS 测试是否可以定量,能不能解出结构式?
TG-MS 是在线监测,数据可以看到随着温度的变化,是否有该种产物产生以及产生他们的温度和相对量,只能半定量,不能定量分析,并且得不到物质的结构式。
本文源自微信公众号:中科蓝海ZKBO
原文标题:《热重-质谱联用技术(TG-MS)》
原文链接:https://mp.weixin.qq.com/s/mEhfF1vWi3X_afiy5HiGnQ
本转载仅出于分享优质测试干货,旨在传递更多观点,并不代表赞同其全部观点或证实其内容的真实性。文章中所包含的图片、音频、视频等素材的版权均归原作者所有。如有侵权请告知删除。

