电化学阻抗谱(Electrochemical Impedance Spectroscopy,EIS)是电化学测试技术中一类十分重要的方法,是研究电极过程动力学和表面现象的重要手段。
近年来,由于频率响应分析仪的快速发展,交流阻抗的测试精度越来越高,且目前在电化学领域具有广泛的应用,例如电极过程动力学分析(双电层和和扩散等)、研究电池电极材料、固体电解质、导电高分子、腐蚀防护机理等。电化学阻抗谱是在某一直流极化条件下,特别是在平衡电势条件下,研究电化学系统的交流阻抗随频率的变化关系。

EIS 的测试原理

电化学阻抗谱是在电化学电池处于平衡状态下(开路状态)或者在某一稳定的直流极化条件下,按照正弦规律施加小幅交流激励信号,研究电化学的交流阻抗随频率的变化关系,称之为频率域阻抗分析方法。电化学阻抗谱数据可以有多种展示方法,最常用的为复数阻抗图和阻抗波特图。
EIS 测量的前提条件
因果性条件:输出的响应信号只是由输入的扰动信号引起的;
线性条件:输出的响应信号与输入的扰动信号存在线性关系;
稳定性条件:扰动不会引起系统内部结构发生变化,当扰动停止后,系统能够恢复到原先状态。
对于电化学阻抗谱测试而言,由于采用的小幅度的正弦电势信号对系统进行微扰,电极上交替出现阳极和阴极过程,二者作用相反。因此,即使扰动信号长时间作用于电极,也不会导致极化现象的积累性发展和电极表面状态的积累性变化,因此 EIS 属于一种“准稳态方法”。
另一方面由于电势和电流间存在线性关系,测量过程中电极处于准稳态,使得测试数据的数字化处理十分简易,并且频率域的测量方法赋予了 EIS 很宽的测定频率范围。
从 EIS 谱图能够获得的信息:
(1)了解影响电极过程的状态变量的情况;
(2)判断有无传质过程的影响;
(3)获得从参比电极到工作电极之间的溶液电阻 RL ,双电层电容 Cd 及电极反应电阻 Rr 的信息等。
用 EIS 研究电化学系统的基本思路

将电化学系统看作是一个等效电路,这个等效电路是由电阻(R)、电容(C)、电感(L)等基本元件按串联或并联等不同方式组合而成,通过 EIS,可以测定等效电路的构成以及各元件的大小,利用这些元件的电化学含义,来分析电化学系统的结构和电极过程的性质等。

给黑箱(电化学系统 M)输入一个扰动函数 X,它就会输出一个响应信号 Y。用来描述扰动与响应之间关系的函数,称为传输函数 G(ω)。若系统的内部结构是线性的稳定结构,则输出信号就是扰动信号的线性函数。

如果 X 为角频率,为 ω 的正弦波电流信号,则 Y 即为角频率,也为 ω 的正弦电势信号,此时,传输函数 G(ω) 也是频率的函数,称为频响函数,这个频响函数就称之为系统 M 的阻抗(impedance),用 Z 表示。

EIS 技术就是测定不同频率 ω(f) 的扰动信号 X 和响应信号 Y 的比值,得到不同频率下阻抗的实部 Z’、虚部 Z”、模值 |Z| 和相位角 f,然后将这些量绘制成各种形式的曲线,就得到 EIS 抗谱。
EIS 的种类

电化学阻抗谱包括许多不同的种类,其中最常用的是阻抗复平面图和阻抗波特图。以理想极化电极为例,分析它的阻抗复平面图和阻抗波特图。

阻抗复平面图
阻抗复平面图(能奎斯特图,Nyquist plot)是以阻抗的实部为横轴,以阻抗的虚部为纵轴绘制的曲线。

理想极化电极的等效电路图
理想极化电极的电化学反应电流→0,电化学反应电阻无穷大而在等效电路中处于断路状态,等效电路只由溶液电阻和双电层电容串联组成。

理想极化电极电化学阻抗的复平面图
图中,Z’ 为常数 RL,而 Z” 随 ω(频率)而增大,ω 越大,Z” 越小。
阻抗波特图
阻抗波特图(Bode plot)由两条曲线组成。一条曲线描述阻抗的模随频率的变化关系,称为 Bode 模图;另一条曲线描述阻抗的相位角随频率的变化关系,称为 Bode 相图。通常,Bode 模图和 Bode 相图要同时给出,才能完整描述阻抗特征。

理想极化电极电化学阻抗的 lg|Z|-lgω 图

理想极化电极电化学阻抗的 Φ-lgω 图
电极过程的等效电路

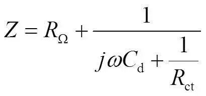
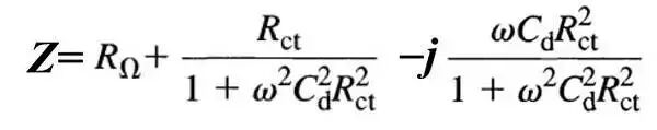
a. 电荷传递过程控制的 EIS
如果电极过程由电荷传递过程(电化学反应步骤)控制,扩散过程引起的阻抗可以忽略,则电化学系统的等效电路可简化为:

等效电路的阻抗:


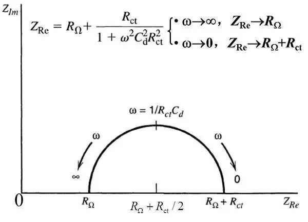
电极过程的控制步骤为电化学反应步骤时,Nyquist 图为半圆,据此可以判断电极过程的控制步骤。从 Nyquist 图上可以直接求出 Rω 和 Rct。由半圆顶点的 ω 可求得 Cd。

在固体电极的 EIS 测量中发现,曲线总是或多或少的偏离半圆轨迹,而表现为一段圆弧,被称为容抗弧,这种现象被称为“弥散效应”,原因一般认为同电极表面的不均匀性、电极表面的吸附层及溶液导电性差有关,它反映了电极双电层偏离理想电容的性质。
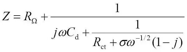
b. 电荷传递和扩散过程混合控制的 EIS
如果电荷传递动力学不是很快,电荷传递过程和扩散过程共同控制总的电极过程,电化学极化和浓差极化同时存在,则电化学系统的等效电路可简单表示为:

电路的阻抗:

Nyquist 图上扩散控制表现为倾斜角 π/4(45°)的直线。

电极过程由电荷传递和扩散过程共同控制时,在整个频率域内,其 Nyquist 图是由高频区的一个半圆和低频区的一条 45° 的直线构成。高频区为电极反应动力学(电荷传递过程)控制,低频区由电极反应的反应物或产物的扩散控制。


扩散阻抗的直线可能偏离 45°,原因:电极表面很粗糙,以致扩散过程部分相当于球面扩散;除了电极电势外,还有另外一个状态变量,这个变量在测量的过程中引起感抗。
c. 复杂或特殊的电化学体系
对于复杂或特殊的电化学体系,EIS 谱的形状将更加复杂多样。只用电阻、电容等还不足以描述等效电路,需要引入感抗、常相位元件等其它电化学元件。

EIS 实例分析

PPy 和 PPy/SAS 电极材料在 0.5mol/L 的 Na2SO4 电解液中,开路电位下的交流阻抗图谱,频率范围是 105~10-2Hz。图中所有的曲线均由半圆和斜线组成。高-中频区的圆弧表征该电极与法拉第反应有关的电荷传递阻抗。

PPy 和 PPy/SAS 电极材料在开路电位下的交流阻抗图谱
圆弧的直径越小表示电荷传递阻抗越低。显而易见 PPy/SAS 的半圆较小,说明 PPy/SAS 电荷传递阻抗较低。另外可从高频区的谱线与实轴的交点估算该电极及溶液在一定的极化电位下的欧姆阻抗(包括电极本身阻抗 Relectrode、参比电极到工作电极区间的电解质本体阻抗 Rbulk 及电极与电解质界面阻抗 Rintcrface)。
中频区,PPy 谱线与实轴的夹角接近 45°,PPy/SAS 谱线与实轴的夹角大于 45°,这是离子向电极迅速扩散的特征。
低频区的斜线是由电极上离子的 Warbug 阻抗所致,即电解液中的离子向电极表面扩散时的扩散阻抗。当低频区的斜线与实轴夹角为 90° 则表示是理想的电容器性离子扩散,但实际电容器的低频曲线夹角会略低于 90°。显然 PPy/SAS 在低频区的阻抗谱线斜率比 PPy 大很多,已近似平行于虚轴,说明 PPy/SAS 电化学电容较高。
这可能是磺酸基和 PPy 骨架之间存在着较强 π 的某种形式的键合,使电子的离域性增强,电荷传递较易。
Yang 等人对不同温度下的各组分正极材料的电化学阻抗谱进行了测量。通过数据拟合分析可知,随着温度的提升,5 种正极材料的例子电导率发生了显著的提升,结果表明,通过交流阻抗技术结合直流极化测试可以有效区分电极材料的电子电导率和离子电导率。

(a-e)钴酸锂和四种三元正极的 EIS 测试结果(-20-100℃)以及(f)温度关联的离子电导率
Jow 等人利用电化学阻抗谱研究了石墨负极的 SEI 成膜特性。研究结果表明,石墨表面的 EIS 阻抗严重依赖于电极电位,根据 RSEI 和 R 之间的关系可知,石墨负极表面的 SEI 形成主要分为两个电位区间,第一个电位区间在 0.15V 以上,在这个电位区间 SEI 的导电性较差,第二个电位区间在 0.15V 以下,这个区间的 SEI 呈现高导电性特性。

(a)首次脱锂过程,锂/石墨半电池在不同电压的阻抗谱;(b)锂/石墨半电池在 0.05V 电位下的阻抗谱及等效拟合电路
本文源自微信公众号:中科蓝海ZKBO
原文标题:《什么是电化学阻抗谱?》
原文链接:https://mp.weixin.qq.com/s/m8oX3VyUOzVnJ9zh0zPeMQ
本转载仅出于分享优质测试干货,旨在传递更多观点,并不代表赞同其全部观点或证实其内容的真实性。文章中所包含的图片、音频、视频等素材的版权均归原作者所有。如有侵权请告知删除。

