化学吸附是物质表面研究领域的重要分支,指的是吸附质分子与固体表面原子(或分子)之间发生电子转移、交换或共有的过程,形成化学吸附键的现象。在此背景下,化学吸附仪成为了不可或缺的工具,能提供丰富的催化剂使用前后信息,包括程序升温还原(TPR)、程序升温脱附(TPD)、化学脉冲吸附等研究,以及催化剂的程序升温氧化(TPO)研究。


基本原理
TPD/TPR 测试程序升温分析技术是一种动态的分析过程,通过在惰性气体保护下以一定升温速率加热催化剂表面吸附物质,可以检测流出气体的组成和浓度变化,以及表征催化剂表面化学性质的变化。根据不同的预处理条件和气氛,可以进行 TPD、TPR、TPO、脉冲吸附等不同类型的程序升温分析,从而研究催化剂表面吸附中心、活性组分、助剂及载体相互作用力、催化效应、金属分散度以及催化剂失活和再生等方面的信息。

程序升温分析技术实验装置的核心包括气路系统、温度控制系统和检测系统。

程序升温还原(TPR)
程序升温还原(TPR)是用于研究与温度相关的还原反应的技术,主要用于研究活性组分、助剂及载体之间的相互作用力,催化剂的还原性质以及各种催化效应,常见气氛为 H2 和 CO(通常为 10% 混合气),测定温度同样可达 800℃。
通过在程序升温条件下,让还原性气体与催化剂发生反应,可以得到反应后的气体组成随温度变化的曲线,即 TPR 谱图。这项测试能提供催化剂在还原过程中的信息,如金属氧化物的还原温度和金属与载体之间的相互作用。

H2-TPR 气体流量图
程序升温脱附(TPD)
程序升温脱附(TPD)和氧滴定则主要用于检测酸性/碱性固体催化剂的表面特性、研究催化剂表面吸附中心的类型和数量,在常规气氛(通常为 10% 混合气)下测定温度可达到 800℃。

通过测量吸附分子在加热过程中释放的气体,可以得到催化剂的 TPD 谱图。常用的测试气体和条件包括 NH3、CO2、O2、H2 和 CO,通常在特定温度范围内进行测试。

MoO3 和 SnO2/MoO3 样品的 NH3-TPD 和 H2-TPR 曲线
程序升温氧化(TPO)
还有一些相关测试如程序升温氧化(TPO)和 CO 分散度测试,它们也是催化剂研究中常用的技术手段。TPO 主要用于研究活性金属比表面积以及催化剂失活和再生等现象,常见气氛为 O2(通常为 10% 混合气)。
脉冲吸附
脉冲吸附则主要用于测量金属的分散度情况,常见气氛为 CO 和 H2。
TPD、TPR、TPO 的区别
TPR 测的是体相(也就是整块物质)的被还原特性,用于确定合适的还原温度。还可以用于冶金行业;
TPO 测的是表相附着物(如积碳)的种类和数量(量少于前者);
TPD 是测的活性中心表面的性质(量最少)。

影响因素
催化剂粒度:催化剂粒度对测试结果的影响主要表现在气体在催化剂表面的扩散影响。催化剂粒度小, 可消除内扩散传质的影响。但是如果催化剂的粒径过小,则会导致床层压降过大,更坏的情况下会使一些小颗粒催化剂漏入催化剂承板,被载气流代入检测器中。

催化剂表面净化:确保催化剂表面不含杂质,特别是在使用 TCD 作为检测器时至关重要,否则可能会影响实验结果的准确性。
催化剂物理化学性质:催化剂的活性组分、助剂和载体之间的相互作用力,以及金属的价态、合金化等特性,会影响实验结果的解读和分析。
升温速率:升温速率过高,峰形会变得尖锐,导致峰重叠严重;升温速率过小,TPD 信号会减弱,导致部分信息缺失;因此需要选择适合的升温速率,一般选在 10-20 K/min。

气氛及气体组成:不同的气氛条件下,如 NH3、CO2、O2、H2、CO 等混合气体,会影响吸附和脱附过程的行为,从而对实验结果产生影响。
载气流速:流速越大,峰位前移,峰形偏钝,当 Fc(载气流速)在 20-60 mL/min 时,Tm(峰顶温度 )随 Fc 发生了变化, 说明实验中存在着再吸附现象。而 Fc 在 60-80 mL/min时,Tm 不再随 Fc 发生变化,加大 Fc 以消除再吸附现象。由于载气流速过高,会导致脱附物种的浓度降低,使检测器的灵敏度降低,检测信号迟滞,因此该实验应控制 Fc 为 60 mL/min。

样品装填量:样品量多,信噪比加大,图像质量提高,峰变宽(温度均匀性下降,出现冷点热点)。

样品性质:样品的含量、形态(粉末、颗粒状、块状、薄膜等)、成分以及制备过程中的处理温度等因素,直接影响到实验的可靠性和准确性。
吸附条件:吸附温度、吸附剂种类等因素会影响吸附的稳定性和强度,从而影响后续的脱附实验。
通过控制和了解这些影响因素,可以更准确地进行催化剂表征实验,并得到可靠的结果用于后续的分析和应用。

案例分析
催化剂的优化设计和高效利用需要深入了解催化材料的表面结构和表面化学性质。化学吸附仪提供了在设计、生产阶段评估催化剂材料所需信息的能力,以及在使用一段时间后的信息反馈。
化学吸附仪测得是表面吸附活性物质(反应底物)的反应活性,是最接近催化反应性能,本质是附着在其表面的物质的反应性质,而非催化材料本身的本征特性。它具有多种表征功能,包括对催化剂进行 TPD、TPR、程序升温表面反应(TPSR)等研究,以及对失活催化剂、干燥催化剂进行 TPO 研究。利用脉冲吸附技术还可研究催化剂的酸性、表面金属分散度、金属与载体的相互作用等。
不同方法制备金属复合材料

常规浸渍法(左)和吸附法(右)制备的 FeOx /ZrO2 材料 TPR 图谱
上图为传统浸渍法和吸附法制备两种在 ZrO2 上分散 FeOx 催化剂 TPR 图谱。纯赤铁矿(Fe2O3)的氢还原是一个复杂的过程,可以经中间氧化物按不同的步骤(i-viii)进行。

一般来说,赤铁矿还原的第一步是 Fe3O4 的形成,相应地,在低温区 TPR 峰(确切的位置在很大程度上取决于杂质)对应 Fe3O4 的形成,Fe3O4 还原曲线在 550℃ 左右出现一个对称峰,而 FeO 在较高温度下还原(>750℃)。
当负载铁相时,会出现不同且复杂的情况。浸渍法制备的 FeOx/ZrO2 催化剂的 TPR 曲线呈现出一条曲折的曲线(左图),但当用吸附法制备的 FeOx/ZrO2(右图),在低温(Tmax,1 约 430℃)和高(Tmax,2 约 850℃)温区,以两个清晰的强还原峰为主,两个明显且尖锐的还原峰表明 FeOx 聚集体的尺寸小于浸渍的催化剂的尺寸。
以上结果可表明,载体的性质对 Fe2O3 的还原路径影响较大。
不同方法制备金属/碳复合材料

煅烧法(黑)、浸渍法(红)和机械混合法(蓝)制备金属/碳材料 TPR 图谱
如上图所示,MnCe@CNTs-R 的 H2-TPR 图谱仅在 540℃ 左右出现一个强峰(作者认为,540℃ 附近的峰非常强导致其他弱还原峰不能识别),这归因于 Ce-O-Mn 的还原,表明 MnOx,CeOx,CNTs 之间存在强烈相互作用。
MnCe/CNTs-I 和 MnCe/CNTs-M 样品的 H2-TPR 图谱存在多个还原峰(低于 600℃),这是由于 MnOx 的还原过程按 MnO2→Mn2O3→Mn3O4→MnO 的顺序进行,高于 600℃ 时的还原峰对应 CeO2→CeO 过程,表明 MnOx,CeOx,CNTs 之间相互作用较弱。
H2-TPR 表征结果可一定程度反应 MnOx,CeOx,CNTs 的相互作用对催化剂还原性起到重要作用,直接体现于(NH3-SCR 反应)催化剂活性。
离子掺杂前后金属氧化物

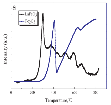
溶胶凝胶法制备掺杂前后铁氧化物 TPR
如图所示,在 409 和 633℃ 处,Fe2O3 的 H2-TPR 曲线出现出两个还原峰,对应 Fe2O3 还原为 Fe3O4 和 Fe3O4 还原为 FeO。
同时,LaFeO3 在 301°C 处开始消耗 H2,比 Fe2O3(开始消耗 H2 温度)低了近 109°C,表明相比在 Fe2O3 中,LaFeO3 中的高价态铁离子更容易还原至低氧化态,即 LaFeO3 中的铁离子比 Fe2O3 中的铁离子更适合作为体系内 PMS(过硫酸盐)的电子受体。
位于 700°C 以下的还原峰归属于 Fe3+ 至 Fe2+ 的还原,基于本研究 DFT 计算结果,作者认为存在多个 Fe3+ 到 Fe2+ 的还原峰可能是因为 LaFeO3 表面不同 Fe-O 键键能不同。700°C 以上的还原峰可归因于 Fe2+ 还原为 Fe0。
催化剂 CO2 化学吸附能力

同济大学陈作锋团队利用 TPD 研究了两种催化剂的化学吸附能力。TPD 信号被解卷积为两个解吸峰,91℃ 的低温峰与线性吸附的 CO2 相关,351℃ 左右的中温峰与双齿或单齿碳酸盐物种相关。

常见问题
TPD/TPR 等预处理条件怎么选择?
在保证样品不被破坏的情况下尽量升温,如果低于 100 度,可能样品中的水分都脱除不掉,肯定对数据有一定影响的。
为什么测试两次结果重复性差?
样品不稳定,不均匀,样品量有一定影响的,样品颗粒度的大小会影响出峰位置,影响热重测试结果的因素对化学吸附都会有影响,升温速率这些都会。
测试 TPD 对样品粒度有要求吗?
催化剂的粒度大小主要影响气体在催化剂表面的内扩散。减小催化剂粒度,可消除内扩散传质的影响。但是过小的催化剂颗粒会使床层压降过大, 甚至使一些小颗粒催化剂漏入催化剂承板, 被载气流代入检测器中,如果太细,可以压片后再打碎。
化学吸附测试过程要注意哪些问题?
(1)预处理脱气(惰性气氛升高到一定温度,维持一定时间);
(2)降温到一定温度,进行吸附至饱和(这个温度点是材料能够产生吸附的温度,之前出现的一些没有脱附峰或者峰比较弱,计算的酸量不对,一部分原因可能是吸附温度给的不对,材料本身就没有产生吸附,更不会有脱附);
(3)升温进行脱附,升到最终温度,最好维持 10min 左右。
得到数据怎么是负值?
负值只是检测器信号显示方式,数据重新处理下即可,纵坐标统一乘以 -1。
TPD 测试中,定量分析得到的脱附量单位 cm3/g 或 mmol/g 之间怎么换算?
1 mmol/g = 22.4 cm3/g。
本文源自微信公众号:中科蓝海ZKBO
原文标题:《程序升温化学吸附分析仪 TPD/TPR/TPO》
原文链接:https://mp.weixin.qq.com/s/jJUysiWLMC0rMR5EhynjtQ
本转载仅出于分享优质测试干货,旨在传递更多观点,并不代表赞同其全部观点或证实其内容的真实性。文章中所包含的图片、音频、视频等素材的版权均归原作者所有。如有侵权请告知删除。

