

01
原位红外和红外的区别
红外可以观察到原子间相对振动、转动所产生的波数,因此普通红外通过透射可以获得样品的骨架结构,而原位红外又可分为透射和漫反射两种,透射是利用高真空进行探针分子的吸附而获得小分子在样品表面的吸附活化过程。而漫反射可以进行常压吸附,加压吸附,也可以进行真空吸附,对于研究机理过程来说,原位红外是比较常用的表征手段。

02
原位红外的优势
✦
•
实时性:原位红外测试能够实时监测电化学反应过程中物质的变化,获得反应物、中间体和产物的信息。
✦
✦
•
原位性:测试在电化学反应进行的同时进行红外光谱测试,能够获取真实反应条件下的光谱信息。
✦
✦
•
高灵敏度:原位红外测试对于某些微量物质的检测具有较高的灵敏度,能够检测到低浓度的物质。
✦
✦
•
结构分析:该技术能够提供有关物质结构的信息,有助于分析催化剂的结构变化和表面官能团的动态行为。
✦
✦
•
界面分析:专门用于研究电极/电解液界面的化学性质,有助于理解界面反应和电荷转移过程。
✦
✦
•
多组分分析:可以同时检测多种物质的存在和变化,提供更全面的反应信息。
✦

03
原位红外的应用
原位 ATR-IR 监测反应中间体
澳大利亚阿德莱德大学乔世璋课题组通过将 Cu2+ 离子引入至 CeO2 基质中形成 Cu-Ce-Ox 固溶体,成功地实现在 CRR 操作环境下稳定 Cu2+ 活性位点。

TOC 示意图
为了阐明 Ce-Cu-Ox 和 CuO/CeO2(非固溶体,存在 CuO 纳米颗粒)催化的 CH4 选择性差异来源,作者采用原位衰减全反射红外光谱(ATR-IR)来识别它们在 CRR 过程中的反应性物种。
相比于 CuO/CeO2,在 Cu-Ce-Ox 谱图上可以观察 1955 cm-1 处的强峰,其对应着 CO 的顶端吸附(COatop)。这表明 Cu-Ce-Ox 中 Cu2+ 位点展现出比 CuO/CeO2 的 Cu0 位点更强地吸附 *CO 中间体的能力。其次,强烈的 *CO 吸附有助于其在 Cu-Ce-Ox 上 Cu2+ 活性位点氢化成 *CHO 中间体(1490 cm-1),并通过一系列质子耦合电子转移反应进一步氢化成 *OCH3 中间体(1392 cm-1),而 *OCH3 是生成 CH4 的关键物种。另一方面,CuO/CeO2 表现出几乎不变的 *CHO 和 *OCH3 峰,同时出现了 *OCCOH 峰(1190 cm-1),这源于 *CO 二聚化反应并有利于 C2H4 的产生。

图1. 在 CO2 饱和的 0.1M KHCO3 电解液中,(a)Cu-Ce-Ox 和(b)CuO/CeO2 催化剂在不同电位下的原位 ATR-IR 光谱
作者利用 ATR-IR 表征手段,监测催化剂表面活性物种的变化。根据原位表征结果证实 Cu-Ce-Ox 催化剂中 CeO2 基质作为保护 Cu2+ 活性物种的自牺牲成分,使得 Cu2+ 活性位点在还原条件下保持不变。其次 Cu-Ce-Ox 催化剂中的 Cu2+ 可以增强 *CO 中间体的吸附稳定性,从而促进其进一步加氢并抑制二聚化,导致其表现出显著提高 CH4 的选择性。
原位红外探究铑催化环己醇脱氢反应进程
北京大学马丁课题组采用纳米金刚石(ND)为核、石墨(G)为壳的核壳结构碳(ND@G)作为载体,制备了具有单一活性位点的 Rh 单原子催化剂(Rh1/ND@G (0.1 wt %)),Rh 纳米颗粒催化剂(Rhp/ND@G (2.1 wt %))以及双重活性位点的Rh1+n/ND@G (1.7 wt %)催化剂。

TOC示意图

图 1.(a)气态环己醇、环己酮和苯酚的 FTIR 光谱;(b)Rh1/ND@G 催化剂上环己醇脱氢的原位 FTIR 光谱;(c)Rh1+n/ND@G 催化剂上环己醇脱氢的原位 FTIR 光谱;(d) Rhp/ND@G 催化剂上环己醇脱氢的原位 FTIR 光谱
通过原位傅里叶变换红外光谱可以清晰地追踪环己醇脱氢反应进程。为了确定环己醇,环己酮以及苯酚的特征峰位置,作者先测定三种标准物的标准谱图(图 1a),确定环己醇羟基(OH)的 FT-IR 振动峰(3000-3800 cm-1),环己酮羰基(C=O)的振动峰(1735 cm−1)以及苯酚的特征峰位置(1540 和 1512 cm−1)。基于此,作者发现在任何一种 Rh 催化剂催化下,环己醇的 OH 峰强度均会随着时间推移显著下降(图 1b-d),证明 Rh1/ND@G,Rh1+n/ND@G 以及 Rhp/ND@G 对于环己醇催化脱氢成环己酮的普适性。

图 2. (a)Rh1/ND@G、(b)Rh1+n/ND@G 和(c)Rhp/ND@G 催化剂催化环己醇脱氢反应的原位 FTIR 光谱
作者利用原位红外表征手段,清晰地显示环己醇脱氢反应的反应进程,并结合三种模型催化剂,证明催化剂的异质性在催化多步骤反应的重要性。异质性的 Rh1+n/ND@G 催化剂(具备单原子 Rh1 和组装体 Rhe 活性位)在环己醇脱氢反应中扮演重要作用,因为 Rh1 位点表现出最高的环己醇部分脱氢成环己酮活性,而 Rhe 位点主要负责催化环己酮脱氢。因此,Rh1 和 Rhe 活性位点的共存显着提高整体的反应活性。


01
原位拉曼的优势
✦
•
实时监测:原位拉曼技术能够实时监测物质内部的结构、化学成分和动态变化,为研究者提供了一个独特的视角来深入探索物质的性质。
✦
✦
•
非破坏性:它是一种非破坏性分析方法,可以在不破坏样品的情况下获取信息;这意味着我们可以对样品进行多次测量,从而获得更加准确的数据。
✦
✦
•
高灵敏度:能够检测到微小的物质变化。
✦
✦
•
快速响应:可以在短时间内获得结果。
✦

02
拉曼光谱和红外光谱的异同点
相同点
(1)对于某些给定的化学键,其红外吸收频率与拉曼位移基本相等,均代表第一振动能级的能量。因此,对某些给定的化合物,某些峰的红外吸收波数和拉曼位移完全相同。
(2)红外吸收波数与拉曼位移均在红外光区,两者都反映分子的结构信息。拉曼光谱和红外光谱一样,也是用来检测物质分子的振动和转动能级。
不同点
(1)本质区别:红外光谱是吸收光谱,拉曼光谱是散射光谱。
(2)红外光谱使用红外光(尤其中红外光),而拉曼可选择可见光到近红外光。
(3)拉曼光谱和红外光谱多数时候相互补充,即:红外强,拉曼弱、红外弱,拉曼强。
(4)红外光谱鉴定有机物更优,而拉曼光谱在提高无机化合物信息时更全面。
(5)红外光谱解析:三要素(吸收频率、强度、峰形),拉曼光谱解析除了有三要素外,还有去偏振度。

03
原位拉曼的应用
原位拉曼助力电催化过程水界面行为研究
厦门大学李剑锋课题组通过结合原位拉曼光谱技术(SHINERS)和从头算分子动力学(AIMD)模拟研究 Pd 单晶(Pd(hkl))表面上界面水的结构和解离过程。

TOC示意图
Pd 是研究最广泛的 HER 电催化剂之一,因此作者阐明了在 Pd 表面上界面水的结构有序机制以及局部阳离子扰动对界面水结构的影响,从而探究了其对 HER 电催化反应速率的影响。

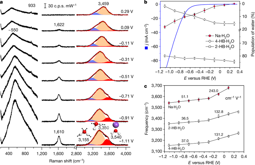
图 1. 界面水的原位拉曼光谱测试(SHINERS)
上图显示了 Pd(111)表面上界面水在 0.1M NaClO4 溶液(pH=11)中的原位电化学拉曼光谱,该溶液在 Ar 保护的条件下测试了 0.29V 至 -1.11V 范围的电位变化。
在 0.29V 时,可以看到两处明显的拉曼峰:一处来自 ClO4–(933cm−1),而另一处为 3000cm-1 到 3800cm−1 范围内的水分子中 O-H 的伸缩振动峰。此外,在 -0.11V 处出现的明显的新的宽拉曼谱带(550cm-1)则是由水分子的振动模式造成的,值得注意的是,随着电势减小至 -1.11V,550cm-1 波段的强度也逐渐增大。由于 550cm-1 处的拉曼强度与界面水结构的有序性密切相关,因此该现象说明了界面水形成了一种特殊的有序结构。

图 2. 界面水的 HER 曲线及其原位拉曼光谱表征(SHINERS)
在一定偏压下,与水分子键合的水合阳离子被引导向 Pd 表面,以减少 Pd-H 距离并提高电荷转移效率从而提高 HER 性能。由于界面静电相互作用的影响,该过程也与阳离子的浓度和离子强度成正比。从热力学的角度来看,通过界面附近的局部水合阳离子调节策略,可以将无序的本体 H2O 有效地排列成有序的界面 H2O(即熵减少过程)在有限区域中以最小化额外工作并最大化电化学能量转换。
原位拉曼探究新型尿素氧化催化剂催化机理
澳大利亚阿德莱德大学的乔世璋联合安徽大学的陈平&中国科学技术大学的刘庆华课题组发现泡沫镍负载的亚铁氰化镍(Ni2Fe(CN)6)催化剂实现高效的尿素氧化反应,比传统的 Ni 基催化剂拥有更高的催化活性和稳定性。
研究发现与以 NiOOH 为催化活性中心的大多数 Ni 基催化剂相比,Ni2Fe(CN)6 催化剂上的尿素氧化反应路径完全不同。Ni2Fe(CN)6 可以直接促进涉及 Ni 位点上中间体 NH3 产生以及 Fe 位点上氨分解为 N2 的两步反应路径。由于不同的速率确定步骤(RDS)以及更加有利的热力学和动力学,Ni2Fe(CN)6 在 1.35V(过电位为 0.98V)的电位下,实现 100mA cm−2 的阳极电流密度。
原位拉曼光谱证明催化剂在催化反应过程中的结构稳定。如图 1a 所示,位于 2100 和 2140cm–1 的强峰属于 Ni2Fe(CN)6 化合物氰基伸缩振动特征,250 和 348cm–1 属于 Ni-N 伸缩振动峰,而 510cm–1 归属于 Fe-C 的伸缩振动峰。重要的是,施加多个电位的 Raman 振动峰和开路电压(OCP)下的振动峰相同,表明 Ni2Fe(CN)6 在催化 UOR 反应的过程中并没有自氧化产生 Ni3+ 的 NiOOH。

图 1. Ni2Fe(CN)6 与传统 NiC2O4 催化剂的比较(a)Ni2Fe(CN)6 (b)NiC2O4 在 1.0M KOH 以及不同电位下的原位 Raman 光谱
作者利用原位 Raman 和 SR-FTIR 表征手段,探测 Ni2Fe(CN)6 催化 UOR 反应过程中催化剂的结构信息以及重要中间体,揭示全新的 UOR 反应机理。Ni2Fe(CN)6 催化剂实现前所未有的 UOR 高活性和稳定性得益于催化剂本身 Fe 和 Ni 位点协同促进了尿素的两步分解成 N2,跳过了导致活性较弱的 *COO 中间物。
本文源自微信公众号:中科蓝海ZKBO
原文标题:《原位测试之原位红外、原位拉曼》
原文链接:https://mp.weixin.qq.com/s/G-iR-bNk3JEcDH6yeQ_Yrg
本转载仅出于分享优质测试干货,旨在传递更多观点,并不代表赞同其全部观点或证实其内容的真实性。文章中所包含的图片、音频、视频等素材的版权均归原作者所有。如有侵权请告知删除。

