循环伏安法(Cyclic Voltammetry,CV)是一门重要的电化学研究技术,对于分析电化学体系中物质的转变,电极反应速率,反应控制步骤,及反应动力学等环节具有不可替代的作用。只要弄清了电极反应的基本过程和影响反应进程的关键因素,就能有效地人为控制电极反应的方向和速率,从而为生产和科学研究给出可靠的理论指导。
电化学反应的实质,即两类导体界面发生的有电子参加的氧化或还原反应。一般而言,电极表面的电化学反应包括多个单元步骤,如图 1 所示,只有当每个单元反应都能发生时,电极反应才能正常进行。

图 1 一般电极过程示意图
虽然电极过程的步骤较多,但其电子转移过程才是电化学反应的核心,电极反应过程中物质的转化也主要是在该阶段发生,通过循环伏安法可以清晰地了解电极反应过程中物质变化的规律。下面给出两类常见的应用。
a

判断电极反应可逆程度是 CV 分析中非常重要的一环。在 CV 测试中,同一电极上的氧化/还原反应在时间上是分开的。对于可逆电极反应来说,循环伏安图正扫和负扫阶段的电流-电压曲线在形状上是对称的,如果出现本来存在的峰消失或新的峰生成,说明电极界面上发生了不可逆的反应。
除了形状上对称,阴极(cathode)峰电流(Ipc)、峰电位(φpc)和阳极(Anode)峰电流(Ipa)、峰电位(φpa)满足一定的关系:
峰电流:Ipc=Ipa
峰电位:Δφ=φpa¬φpc=2.22RT/nF (mV);当T=25℃时,Δφ=55.6/n (mV)。
图 2 给出了三种典型的循环伏安曲线,曲线 A 中,阴极峰和阳极峰峰形对称,峰高基本一致,说明发生在电极/电解液界面上的反应高度可逆;在曲线 B 中,虽然还原峰和氧化峰都存在,但还原峰的峰强明显低于氧化峰的峰强,说明电极反应部分可逆;在曲线 C 中,氧化峰可见而还原峰已基本不可见,说明反应是不可逆的。

图 2 三种典型的电化学体系的 CV 曲线
除此之外,还有一类准可逆电化学反应的循环伏安曲线,它的峰形、峰电位以及峰电流除了与转移的电荷数、温度、反应物/产物浓度-扩散等有关系外,还与电位扫描速率有关系。一般而言,随着扫速增加,准可逆电化学反应的氧化峰和还原峰之间的电位差 Δφ 会逐渐变大(图 3)。但对于完全可逆的电化学体系,这种情况就不存在,如图 4 所示 ,随着扫速的增加,氧化峰和还原峰的电位基本未发生改变。

图 3 准平衡电化学系统的 CV 曲线

图 4 平衡电化学系统的 CV 曲线
b

分析电极反应机制,了解电极反应中物质的转变也意义重大。在 CV 曲线中,扫描电压从负到正可以看为阳极氧化过程,对应氧化峰;反之为阴极还原过程,对应还原峰。一般而言,氧化还原峰的产生会伴随着氧化态物质和还原态物质的相互转变。
图 5 给出了 Bi2Se3 负极在钠半电池中的 CV 曲线,其中出现了多对氧化还原峰,峰形尖锐分布较窄,说明在电化学的过程中可能存在多种物相转变。从 CV 曲线上峰的个数可以判断一个完整的电化学反应存在的相变,但要分析各个峰位置上的物相变化必须要结合原位/非原位的物相鉴定技术,才能使结果可靠。因此,作者又联合原位 XRD 技术对 Bi2Se3 在充放电过程中物相的变化进行表征,结果发现在放电过程中,Bi2Se3 先转变成 NaBiSe2 晶体,再转变成 Na2Se 和 Bi,完全放电后转变成 Na2Se 和 NaBi;而在随后的充电阶段,活性物质没有恢复成 Bi2Se3,而是转化成了 Bi 金属和 NaBiSe2 晶体。

图 5 Bi2Se3 负极的 CV 曲线
电极过程热力学关心的是使电极表面物质发生相变或状态变化所需要的条件,而动力学行为则关注电化学过程发生的快慢问题。研究电极过程动力学行为,就是找出电极过程的控制步骤,分析相关的动力学参数,通过采取措施人为改变该步骤或增强其反应速率,从而达到改善/加快电化学反应速率的目的。常见的应用包括判断影响电极反应的主导因素-吸附/扩散,计算物质扩散速率,分析材料的电催化特性等。
图 6 给出了 CV 在电容器领域用于计算材料的电容量的实例。其中,图 6A 给出了不同材料的 CV 曲线,并利用了积分法(图 6B)计算并比较他们的电容量。不难发现在相同的测试条件下,SM 样品的 CV 曲线接近矩形,说明其电极行为主要是电容行为,其 CV 曲线面积最大,经过计算其电容量也最高。

图 6 不同材料的 CV 曲线及电容量
在电催化领域用 CV 可用于计算 Tafel 斜率,从而直观判断电催化活性。图 7a 给出了三种催化剂对催化 OER 反应的线性扫描曲线,不同金属化合物对于吸氧反应的催化,并通过转化得到其对应的 Tafel 曲线(图 7b);Tafel 斜率越小,表明速率决定步骤在多电子转移反应的末端,这通常是一个好的电催化剂的标志。三种催化剂中,Fe0.33Co0.67OOH PNSAs/CFC 样品的 Tafel 斜率最小,说明电流密度增长越快,过电位(η)变化越小,也就说明其电催化性能越好。

图 7 三种催化剂的线性伏安曲线和塔菲尔曲线
在二次离子电池体系中,CV 则可以用于计算分析电化学反应过程中离子的扩散速率 D、分析电极表面反应过程的主导因素。对于可逆的电化学反应,其峰电流 Ip 可以由 Randles-Sevcik 公式计算,如下所示:
Ip=2.69×105n3/2AC0D1/2ν1/2
其中:n 为交换电子数,A 为电极/电解液接触面积,C0 为扩散离子浓度,D 为扩散系数,v 为扫描速率。
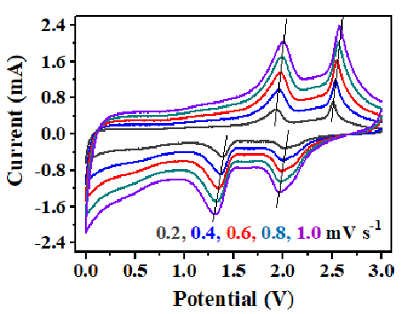
图 8 给出了不同 FeS2 负极在不同扫速下的 CV 曲线,通过拟合不同峰位置的峰电流 Ip 与 ν1/2 的斜率,带入 Randles-Sevcik 公式,就可以得到不同峰位置的锂离子扩散系数 D。

图 8 FeS2 负极负极在不同扫速下的 CV 曲线和峰电位处 I-V1/2 的拟合曲线
除了这些典型应用之外,CV 在电化学分支学科中的交叉应用也愈发普遍。如锂离子电池中电极材料在充放电的过程中同时存在法拉第反应和非法拉第反应,这二者究竟是谁主导了整个电化学反应进程,可以通过循环伏安技术来分析;再比如,锂-硫电池中经常引入“催化剂” 来加速多硫化物转化,从而提高锂硫电池动力学。那么,金属化合物对多硫化物催化行为究竟有多快,可以借鉴电催化的理论,分析其线性伏安曲线和 Tafel 曲线,从而获得准确科学的判断。
本文源自微信公众号:中科蓝海ZKBO
原文标题:《电化学测试 | 循环伏安法的应用》
原文链接:https://mp.weixin.qq.com/s/ux6h98So0fpUPmkvjAd4CA
本转载仅出于分享优质测试干货,旨在传递更多观点,并不代表赞同其全部观点或证实其内容的真实性。文章中所包含的图片、音频、视频等素材的版权均归原作者所有。如有侵权请告知删除。

