循环伏安法(Cyclic Voltammetry,CV)是一种研究电极/电解液界面上电化学反应行为-速度-控制步骤的技术手段,其广泛应用于能源、化工、冶金、金属腐蚀与防护、环境科学、生命科学等众多领域。该方法测试简单、响应迅速,得到的循环伏安曲线信息丰富,可称之为“电化学的谱图”。但由于影响因素较多,一般只用于定性分析,如研究电极反应的性质、电极反应机理、反应速度和电极过程动力学参数等。

循环伏安法的基本原理
一个完整的电化学体系至少应该包括工作电极,对电极以及电解液。而在 CV 测试过程中,使用较多的是三电极系统和两电极体系(点击了解三电极体系),如图 1 所示。

图 1 用于循环伏安测试的两种电化学体系
三电极系统和两电极体系都包含了工作电极(WE)、参比电极(RE)和对电极(CE)。工作电极始终是研究电极,参比电极主要是用于测定工作电极的电势/电位,对电极的作用是和工作电极组成回路以通过电流。区别在于:三电极体系中的 WE、RE、CE 单独存在,而两电极体系中 WE 和 RE 是同一电极。
需要注意的是,CV 测试时要求 CE 尽量不能影响工作电极上的反应,故一般选择铂这类稳定的物质;而参比电极与工作电极之间不能存在电流,且必须有稳定已知的液接电势,以保证测量 WE 上的电极电势的准确性,常见的参比电极及其氢标电极电势归纳于表 1 中。

表 1 常见的参比电极及其电极电势
循环伏安测试的基本原理是将三角波形的脉冲电压(图 2)作用于工作电极和对电极形成的闭合回路,以一定速率改变工作电极/电解液界面上的电位,迫使工作电极上的活性物质发生氧化/还原反应,从而获得电极上发生电化学时的响应电流大小。记录该过程中的电极电势和响应电流大小,即得到对应的电流-电压曲线。

图 2 三角波形的脉冲电压
若扫描电压仅仅从起始电位 Ui 沿某一方向扫描至终止电压 Us,得到的电流-电压曲线称为线性伏安扫描曲线(图 3);如电压继续按同样的速度反向扫描至起始电压 Ui,完成一次循环,得到的电流-电压曲线则称为循环伏安曲线(图 4)。同样地,根据实际需要还可以进行连续多次循环扫描。

图 3 线性伏安扫描曲线

图 4 循环伏安曲线
从上面给出的循环伏安(CV)曲线,不难发现随着扫描电位的改变,CV 曲线在不同的电位出现了响应电流变化的峰。
我们把一个电化学体系尽量简化:假设初始体系中最初只有一种氧化态物质 O,在工作电极上只存在一种氧化还原反应:O+e–⇄R(R 为还原态产物)。那么在理想状态下,当工作电极电势降低至 O⇄R 反应的标准电极电势时,O 会在电极上得到电子,发生还原反应,生成 R,于是在测量回路中形成电流。
由于电极上反应速率强烈依赖于电极电势,而反应电流密度则取决于反应速率和反应物浓度,因此随着电压不断降低,测量回路中电流增大。继续降低电压,反应物 O 在体系中的浓度降低,因此反应电流又逐步降低,当 O 完全转换成 R 时,由于 R 不能继续被氧化,即使改变电压也不能迫使 R 发生转化,因此测量回路中电流又趋近于 0。也就是说,在发生电化学反应的电压区间,电流是先增大后减小的,最终形成了“峰” 。反之,当逆向扫描时,电压升高至 O⇄R 反应的标准电极电势附近,电极上生产的还原态活性物质 R 又发生氧化反应失去电子,产生氧化峰。
因此,循环伏安测试时不同电压范围产生的氧化/还原峰,实质上代表了该电位下电极表面发生的电化学反应。对于某些复杂的电化学反应,其循环伏安曲线上可能存在多个峰,这就表明其电化学过程中反应物可能存在多种相变。

CV 曲线的测试
CV 曲线一般通过电化学工作站测试得到。除了测量 CV 曲线,电化学工作站还可以实现线性扫描伏安法、阶梯波伏安法、Tafel 图、计时电流/电量法、电化学噪声测量、电位溶出分析等测试需求(点击了解几种常用的电化学测试方法)。本文以辰华 CHI660E 系列电化学工作站为例,简要讲解如何测试 CV 曲线。
01

将待测体系接入电化学工作站,如图 5-7 所示,检查接线是否准确。注意三电极体系和双电极体系的区别,三电极体系中对电极和工作电极应尽量保持正对,两电极体系中对电极和参比电极应接在同一电极上。

图 5 辰华 CHI660E 电化学工作站

图 6 三电极体系接线示意图

图 7 两电极体系接线示意图
02

打开电化学工作站电源,双击 CHI660E 操作软件(图 8)进入测试主界面。

图 8 CHI660E 操作软件
03

点击操作栏上的“T”进入测试技术(蓝色框所示),选择需要测试的项目(图 9)。

图 9 电化学工作站测试程序界面
04

选择 CV 测试后,进入 Parameters 界面,修改 CV 测试的电压窗口、扫描速率以及循环次数等(图 10)。

图 10 Parameters 参数设置界面
05

点击工具栏上的开始按钮,即可开始 CV 测试(图 11)。测试完成后,将文件保存为 .csv 或 .txt 等格式,即可利用 Origin 等工具作图,得到对应的 CV 曲线。

图 11 CV 测试中及测试完成界面

图 12 CV 测试后数据保存
06

用 Excel 软件打开保存的 .csv 原始数据,选择电压和电流数据,导入 Origin 等绘图软件,以电压为横坐标,电流为纵坐标,即可得到对应的 CV 曲线(图 13)。

图 13 Origin 绘制的循环伏安曲线

常见问题及解答
Q1
CV 测试时有哪些重要的参数?在测量时如何对参数进行选择?
CV 在测量时需要对于初始电位、上限电位、下限电位、初始扫描方向、扫描速度、扫描段数(2 段为 1 圈)、采样间隔、静置时间、灵敏度(数值和测试电流同一数量级或大一级,尽量小,但是测试过程左下角不会出现 overflow)进行设置,通过测定物出峰的范围以及需求进行设置,通常可以先进行大范围的电位测试,确定出峰位置,然后再选择合适的电位区间,需要注意的是电位范围选择过大会出现水的氧化还原峰,对于测试物出峰会有影响。

Q2
CV 图中如何确定氧化还原峰?
循环伏安曲线中还原峰对应阴极反应,其电流为阴极电流,对应的峰为还原峰,峰电位越正,峰电流越大,越容易还原;而氧化峰则对应阳极反应,其电流是阳极电流,对应的峰为氧化峰,峰电位越负,峰电流越大,越容易氧化。

(1)从电位上判断,对于同一氧化还原电对,通常氧化峰位于还原峰较正的位置上,也就说,峰电位较正的峰是氧化峰,峰电位较负的峰是还原峰,这是极化造成的结果。
(2)扫描方向:循环伏安法参数设置中有一项起始扫描极性(negtive 还是 positive),正扫(从低电压向高电压扫描)是指从负电位到正电位,扫出的峰就是氧化峰;负扫(从高电压向低电压扫描)是指从正电位到负电位,说明外加电路给电极上加电子,溶液中易发生还原反应的离子(例如:三价铁离子)向电极靠近,得到电子,从而发生还原反应,所以扫出的峰就是还原峰。所以电位越负的话,说明还原性越强,所以扫出的峰就是还原峰。在同一电压向正扫和向负扫将分别是氧化和还原,不是看电压高低来决定是氧化还是还原。

Q3
CV 图需要对哪些参数进行分析?
循环伏安图中可以得到的几个重要参数是:阳极峰电流(ipa),阴极峰电流(ipc),阳极峰电位(Epa)和阴极峰电位(Epc)。测量确定峰值电流 ip 的方法是:沿基线作切线外推至峰下,从峰顶作垂线至切线,其间高度即为 ip。Ep 可直接从横轴与峰顶对应处读取。

Q4
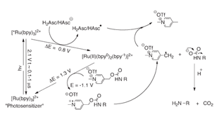
如何利用 CV 确定反应机理?
以下图光降解反应为例,推测其反应过程,二联吡啶钌作为氧化剂,抗坏血酸为还原剂。

活化能与电位之间关系如下:

通过溶剂系数等合并后可得两个不同反应过程的吉布斯自由能计算式:

将电位数值代入则可得到吉布斯自由能大小,根据自由能的正负则可判断反应历程。

Q5
如何利用 CV 判断反应特性?
(1)利用循环伏安确定反应是否为可逆反应,一般这两个条件即可:① 氧化峰电流与还原峰电流之比的绝对值等于“1”(有时对同一体系,扫描速率不同也会在一定程度上影响其可逆性。一般而言,扫描速度对峰电位没有影响,但扫描速率越大其电化学反应电流也就越大)。② 氧化峰与还原峰电位差约为 59/n(mV),n 为电子转移量(温度一般是 293K,但是一般我们实验时候不是在这个温度下,因此用这个算是有误差的,一般保证其值在 100mv 以下都算合理的误差)。
(2)判断扩散反应或者是吸附反应:改变扫描速率,看峰电流是与扫描速率还是它的二次方根成正比。① 若是与扫描速率成线性关系,就是表面控制。② 若是与二次方根成线性关系,就是扩散控制。
本文源自微信公众号:中科蓝海ZKBO
原文标题:《什么是 CV 曲线?》
原文链接:https://mp.weixin.qq.com/s/3axl0z7SYMzdl5OSkDWSJA
本转载仅出于分享优质测试干货,旨在传递更多观点,并不代表赞同其全部观点或证实其内容的真实性。文章中所包含的图片、音频、视频等素材的版权均归原作者所有。如有侵权请告知删除。

