穆斯堡尔谱是根据穆斯堡尔效应由穆斯堡尔谱仪测得的一种 γ 射线吸收谱。穆斯堡尔效应涉及到原子核的性质,包括核的能级结构以及核所处的化学环境,据此可以应用穆斯堡尔谱来对原子的价态,化学键的离子性和配位数,晶体结构,电子密度和磁性质等进行研究。因此,穆斯堡尔谱在化学和材料领域也得到了日益广泛的应用。
01
超精细相互作用

由于穆斯堡尔效应涉及到原子核的性质,包括核的能级结构以及核所处的化学环境,通过原子核-核外环境间的超精细互相作用可以用来对物质作微观结构分析(例如原子的价态、化学键的离子性和配位数、晶体结构、电子密度和磁性质等)。
有三种主要的超精细相互作用:同质异能位移(Isomer shift 简称 I.S.)、四极分裂和磁超精细分裂。下图给出了 57Fe 的能级图和标征同质异能位移、四极分裂和磁超精细分裂的穆斯堡尔谱。

57Fe 的能级图和标征同质异能位移、四极分裂和磁超精细分裂的穆斯堡尔谱


同质异能位移由原子核在激发态和基态时,由在有限核半径 R 内分布的核电荷与原子核处 s 电子电荷密度之间的库仑力互相作用产生,其结果改变了基态核激发态的能级,同时也改变了跃迁能级,所以又称为化学位移。核能级的微小变化 δE 为:

式中:z——核电荷;
|φ(0)|2 ——电子云在核内区域的密度;
R——核半径。

同质异能位移
由于核基态半径 R0 和核激发态半径 Rc 往往不一样,即使是相同的核,辐射源核吸收体的化学环境也不完全相同,如上图所示,辐射源的核能级由 E0 变为 Es 吸收体的核能由 E0 变为 Ea。化学位移通常用符号 δ 表示:

如果辐射源和吸收体化学状态有差异,则 |φa(0)|2 ≠ |φs(0)|2,化学位移 δ ≠ 0,可提供化学键、价态和配位基的有关信息。
在穆斯堡尔谱中,通常以谱线中心相对于零速度(或者相对于某个参考速度)的位移称为化学位移,如下图所示:

FeBr2 穆斯堡尔谱的化学位移


核电荷分布形状可以用核四矩 Q 的物理量来衡量,没有核四矩的核(I=0,1/2),Q=0,核电荷呈球型分布;存在核四矩的核(I>1/2),当 Q>0 时,表示核电荷绕自旋轴呈长椭球型;当Q扁椭球型。
如电子与电场相互作用一样,核四极矩也能够同周围不均匀电场的电场梯度互相作用,这种作用使核自旋量子数为 I 的能级产生分裂。即

式中:q——一个正比于电场梯度的量;
mt——核自旋电子数。
以 57Fe 和 119Sn 为例,他们的基态 I=1/2,Q=0,无四极矩分裂。第一激发态为 I=2/3,在不均匀电场中,将分裂为 mt=±2/3 和 mt=±1/2 两个能级。前者成为 Ⅱ 组分,后者成为 δ 组分。如下所示,两条组线的间隔为


57Fe 的电化学位移和四极矩分裂


不对称电场虽然会使能级分裂,但 ±mt 仍属同一能级。若在磁场中(外加磁场或者固有磁场)进行测验,将会进一步分裂。核磁矩和磁场相互作用引起核磁能级分裂,产生 2I+1 个磁能级。

式中:μ——核磁矩;
H——外加磁场(或固有磁场)。
由于核磁能级分裂,使穆斯堡尔谱线增多,也称为磁超精细分裂,简称磁分裂或塞曼效应。如下图所示,以 57Fe 为例,激发态 I=1/2,3/2,在固有磁场 H 的作用下,根据 Δmt=0,±1,I 可分裂为 2I+1 个能级,总 6 个能级。

57Fe 的超精细作用示意图
02
应用案例


测量晶态和非晶态
穆斯堡尔谱能够快速地确定含穆斯堡尔核的固体是为晶态还是非晶态。晶态固体的穆斯堡尔谱参量都有确定的值,一般共振谱线很尖锐,而非晶态固体,穆斯堡尔谱参量是连续或准连续分布的,一般共振谱线较宽。

(左)非晶态和(右)晶态 Fe75P15C10 的穆斯堡尔谱
上图分别展示了非晶态和晶态的 Fe75P15C10 的穆斯堡尔谱,对比两个图谱可以看出二者显著不同。

研究材料的磁性质

Co50Fe50/Al2O3 纳米复合材料中不同 Al2O3 含量样品的室温穆斯堡尔谱
上图是 Co50Fe50/Al2O3 纳米复合材料中不同 Al2O3 含量样品的室温穆斯堡尔谱,当 Al2O3 含量为 0%~50% 时,各个样品的穆斯堡尔谱均只由一套磁超精细分裂六线峰(来自晶粒尺寸较大的铁磁性的 Co50Fe50 纳米合金)组成,而当 Al2O3 含量增加至 70% 时,样品的穆斯堡尔谱则变为两套峰,分别为磁超精细分裂六线峰和四极分裂双峰(来自晶粒尺寸较小的铁磁性的 Co50Fe50 纳米合金)。
由下表中数据可知,四极分裂双峰的成分只占整个谱比例的 3%,所以 Al2O3 含量为 70% 的样品中超顺磁 Co50Fe50 纳米合金的数量非常少。

Co50Fe50/Al2O3 纳米复合材料中不同 Al2O3 含量样品的室温穆斯堡尔谱参数

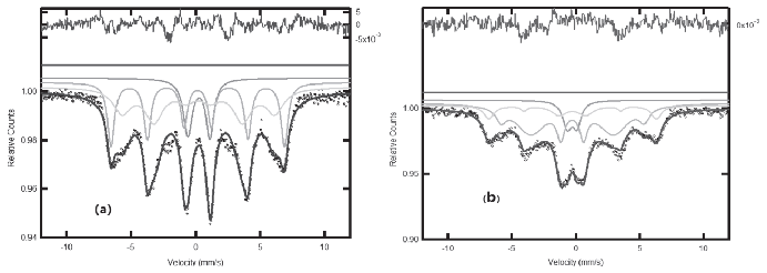
区分原子所处环境
下图为 Ni0.4Zn0.6FeO4 和 Ni0.25Zn0.6Mn0.15Fe2O4 铁氧体的穆斯堡尔谱拟合图。

Ni0.4Zn0.6FeO4(左)和 Ni0.25Zn0.6Mn0.15Fe2O4(右)铁氧体的穆斯堡尔谱拟合
对于尖晶石 NiZn 铁氧体,Zn2+ 主要占 A 位,而 Ni2+ 主要占据 B 位。从下表中铁氧体穆斯堡尔谱拟合参数中可知,B 位与 A 位的 ISO 值不同,说明 Fe3+ 离子 S 电子层的电荷环境不同,则 Fe3+ 离子即分布在 A 位,又分布在 B 位,因此可知 NiZn 铁氧体为混合型尖晶石铁氧体。

铁氧体的穆斯堡尔谱拟合参数

研究相成分的转变
下图为室温下 FexN/膨胀石墨的穆斯堡尔谱,可以明显看出,FexN/膨胀石墨的变化趋势是随着氮化温度而变化。

室温下 FexN/膨胀石墨的穆斯堡尔谱
在不同的温度下,均有一套或者多套磁性谱和顺磁性谱组成。还可以找到对应于 α-Fe 的穆斯堡尔谱,说明在温度低于 400℃ 时,只能氮化部分铁颗粒。但是当温度从 300℃ 升高到 400℃ 时,对应 α-Fe 子谱的峰面积从 69.76% 降至 34.65%,表明氮化程度得到了很大的提升。在 400℃ 以后,氮化铁中的氮化铁中的 γ΄-Fe4N 逐渐转化为 ε-FexN(2

FexN/膨胀石墨的穆斯堡尔谱参数

测定元素的价态
D.Larcher 等人采用穆斯堡尔谱对 Sb2O5 电极材料放电前后元素价态的变化进行了测定。如图所示,负极材料 Sb2O5 在初始的时候 Sb 的价态全部是无价,而在其放电至 0V 时,电极材料就只有 40% 的五价 Sb。

Sb2O5 在初始时和放电至 0V时的穆斯堡尔谱
03
常见问题

Q1
拟合方法是什么?
最小二乘法进行拟合解谱。

Q2
能不能得到具体物质结构式?
只通过穆斯堡尔的分析,不能直接得到物质结构,还需要结合其他测试方法及分析结果,一起分析得到物质结构。

Q3
穆斯堡尔光谱仪的检测范围?
能测量铁原子及与铁原子相关的原子的价态、物相、形态和配位素,Fe 含量最好大于 2%。

Q4
穆斯堡尔谱测试需要特定的温度条件吗?
是的,许多穆斯堡尔实验需要在低温条件下进行,以减小热运动对谱线的影响,提高测量精度。

Q5
如何改善穆斯堡尔谱的信噪比?
提高信噪比的方法包括优化样品制备、提高放射源强度、延长测量时间和使用低温技术等。
本文源自微信公众号:中科蓝海ZKBO
原文标题:《穆斯堡尔谱:揭秘物质微观结构(下)》
原文链接:https://mp.weixin.qq.com/s/GTgGE1l5iTGFfl2EYdBnOA
本转载仅出于分享优质测试干货,旨在传递更多观点,并不代表赞同其全部观点或证实其内容的真实性。文章中所包含的图片、音频、视频等素材的版权均归原作者所有。如有侵权请告知删除。

