一、XRD基本概念
-
定义
X射线衍射(XRD)是利用波长0.001–10 nm的X射线与物质相互作用产生的衍射现象,分析物质内部原子排列结构的技术。 -
核心优势
-
无损、快速、高精度
-
可获取物相组成、晶胞参数、晶粒尺寸、结晶度等结构信息
-
衍射本质
-
晶体:长程有序 → 尖锐衍射峰
-
非晶:短程有序 → 宽化漫散射峰(”馒头峰”)
二、基本原理
1. 布拉格方程(Bragg’s Law)
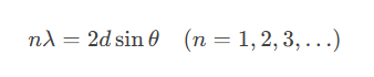
定义:布拉格方程是X射线在晶体中产生衍射需要满足的基本条件,是XRD理论的基石。它简要阐明衍射的基本内涵,揭示了衍射与晶体结构的内在关系。当X射线照射到晶体中时,X射线在照射到相邻两晶面的光程差是2dsinθ。如果光程差等于X射线波长的n倍时,X射线的衍射强度将相互加强,反之在其他地方衍射强度不变或减弱。

-
:X射线波长(常用Cu-Kα: 0.154 nm)
-
:晶面间距(Å)
-
:入射角
-
物理意义:仅当光程差为波长整数倍时发生相长干涉。

2. 谢乐公式(Scherrer Equation)
定义:谢乐公式是测晶粒度的理论基础,X射线的衍射谱带的宽化程度和晶粒的尺寸有关,晶粒越小,其衍射线将变得弥散而宽化。谢乐公式用于描述晶粒尺寸与衍射峰半峰宽之间的关系。

-
:晶粒垂直晶面方向的平均尺寸(nm)
-
:校正后的半高宽(FWHM,弧度)
-
:形状因子(0.89–1.0)
-
适用条件:晶粒尺寸
三、X射线衍射仪组成
| 组件 | 功能与要求 |
|---|---|
| X射线源 |
|
| 测角仪 |
|
| 单色器 |
|
| 探测器 |
|
| 分析软件 |
|
四、实验关键参数
| 测试类型 | 扫描速度 | 步长 | 角度范围 | 靶材选择 |
|---|---|---|---|---|
|
|
|
|
|
|
|
|
|
|
|
|
|
|
|
|
|
|
五、应用实例分析
定性分析
定性分析是根据XRD谱图与标准谱的对比,得出以下信息:a.样品是无定形还是晶体, 无定型样品为大包峰,没有精细谱峰结构;晶体则有丰富的谱线特征;b.所测样品的物相组成,纯相还是非纯相;c.判断晶胞是否膨胀或者收缩。
-
物相鉴定(ICDD PDF卡片库比对)
-
案例1:LALZO电解质 → 立方相(Ia-3d),衍射峰匹配标准卡片(*JCPDS 00-001-1234*)
-
案例2:PVDF-HFP膜 → α相(20.3°)与β相(18.5°宽峰),结晶度差异影响离子电导率
-
-
晶型判断:收缩/膨胀晶胞 → 峰位偏移(如LiMn₂O₄充电时(111)峰向高角度移动)
定量分析
-
晶粒尺寸
-
ZnO纳米颗粒:

(需Si标样校准仪器宽化) -
结晶度
-
PTMG-HDI-BHDS聚合物:PEO特征峰(19.5°)强度降低50% → 结晶度下降 → 离子电导率提升(Nat. Commun. 2021)
-
Rietveld精修
-
LiFePO₄脱锂:精修晶胞体积收缩2.1% → 证实两相反应机制(Chem. Mater. 2020)
原位XRD在电化学中的应用
| 研究方向 | 关键发现 | 技术价值 |
|---|---|---|
| 相变动力学 |
|
|
| SEI层演化 |
|
|
| 负极体积变化 |
|
|
六、注意事项与误差控制
-
样品制备
-
粉末样品:过325目筛,避免择优取向(背压法装样)
-
薄膜样品:硅片基底,扣除基底衍射峰(如Si峰28.4°)
-
数据验证
-
重复性:同一样品三次测试,峰位偏差
-
标样校准:NIST SRM 640c(硅)验证仪器精度
-
Scherrer公式局限
-
不适用于微观应变导致的宽化(需Williamson-Hall法分离)
七、前沿技术拓展
-
同步辐射XRD:高亮度(>10⁸ photons/s)→ 探测电极/电解质界面副产物
-
机器学习辅助:卷积神经网络(CNN)自动识别物相(准确率>95%,Acta Mater. 2023)
-
3D-XRD:原位追踪晶粒尺度结构演化(如枝晶生长)
总结
XRD的核心价值在于建立 “结构-性能”关联:
-
静态分析:物相鉴定 → 晶胞参数 → 晶粒尺寸
-
动态分析:原位监测相变/反应机制 → 指导材料设计
本文源自微信公众号:一起学电池
原文标题:《XRD基本原理及应用实例》
原文链接:https://mp.weixin.qq.com/s/ZcgEWm_3ieQX_fypd3cQzQ
本转载仅出于分享优质测试干货,旨在传递更多观点,并不代表赞同其全部观点或证实其内容的真实性。文章中所包含的图片、音频、视频等素材的版权均归原作者所有。如有侵权请告知删除。

