说明:本文华算科技主要介绍了异质结的概念、形成机制、分类方式以及表征方法。异质结是由不同材料接触形成的界面结构,其形成改变了载流子分布和能带排列。文中还详细介绍了多种表征异质结的手段,如TEM、XPS、PL、UV-Vis等,这些方法可从不同角度揭示异质结的结构与性能。
什么是异质结
异质结是指由两种或两种以上具有不同能带结构、晶格常数、化学组成或电子性质的材料在空间上相互接触而形成的界面结构单元。

图1. GeSXSe1-X/WSe2垂直双层异质结的结构和特性特征。DOI: 10.1002/adfm.202517969
异质结的形成改变了原有体系的载流子分布、电荷输运行为及局域能带排列,使得界面处出现电势差、内建电场或载流子重分布等效应,成为调控电荷动力学、能量转换及界面反应行为的重要结构基础。
从电子结构理论的角度看,异质结的本质是能带的空间拼接与能级的重新平衡过程。当两种不同材料接触时,由于其费米能级、电子亲和势或功函数的差异,界面区域会发生电荷重新分布,直至形成热力学平衡状态。
该平衡状态对应于界面电势的重新构建与能带弯曲现象的产生。此时,体系的整体电子化学势趋于一致,而界面附近形成的内建电场或势垒层则决定了载流子迁移与能量转换行为。

图2. 能带调控构建空间电荷重构异质结,NiFe LDH@CoOx-CNF n-p异质结界面表征。DOI: 10.1039/D5QI00530B
异质结的稳定性取决于界面结合能、晶格匹配度及界面原子重排的能量代价。界面处的应变能、极化电荷密度及电偶极矩变化均会影响其形成过程的驱动力。
对于理想异质结而言,其界面需满足最小化自由能的条件,即通过电子态重组、局域势能均化及晶格弛豫以实现结构稳定。由此,异质结不仅是两种材料的几何结合,更是电子结构、应变场及极化耦合共同作用的结果。

图3. 晶格匹配的共价异质界面协同内建电场促进高效H2O2光合成。DOI: 10.1002/adma.202412070
异质结的分类
异质结可根据材料类型、能带对齐方式、界面结合特征及结构维度进行分类。其分类不仅体现不同物理机制的差异,也反映异质结在能带调控和界面电子行为方面的结构逻辑。
按能带对齐方式分类
从能带工程学角度,异质结通常依据能带对齐关系划分为三种基本类型:Ⅰ型(嵌入型)、Ⅱ型(错位型)与Ⅲ型(破带型)。
Ⅰ型异质结中,一种材料的导带和价带完全位于另一种材料的能带间隙内,形成能量势阱结构,便于载流子在局域区域聚集;
Ⅱ型异质结的导带和价带呈错位分布,促进电子与空穴在不同空间区域分离,从而实现电荷的定向迁移;
Ⅲ型异质结的能带出现交错或反转,表现为能带间的不连续跳跃特征,形成强耦合或隧穿势垒结构。能带对齐方式决定了载流子传输行为与界面电场分布,是区分异质结电子特性的核心依据。

图4. A)I型异质结;B)II型异质结;C)III型异质结。DOI: 10.1002/admi.202500191
按界面结合特征分类
依据界面原子结合的连续性与化学相容性,异质结可分为外延异质结与非外延异质结。外延异质结具有晶格取向匹配关系,界面结合紧密且具有长程有序性;非外延异质结则由晶格不匹配或不同结构体系结合形成,界面原子排列不连续但仍具电荷耦合效应。

图5. 三维晶体的外延异质结构。DOI: 10.1038/s43586-022-00139-1
此外,依据化学键特性还可区分为范德华异质结与共价异质结。
前者以范德华力实现层间结合,保持原有层状结构的完整性;后者通过化学键形成稳固界面,表现出更强的电子相互作用。界面结合特征直接决定了电子态耦合强度与电荷传输方式,是异质结结构稳定性与功能特性的决定性因素。

图6. 范德华异质结构。DOI: 10.1038/s43586-022-00139-1
按材料体系分类
从组成材料体系角度,异质结可划分为半导体异质结、金属-半导体异质结、绝缘体-半导体异质结、金属-绝缘体异质结等类型。
不同体系之间的能带宽度、功函数差异及界面极化效应导致其能带对齐关系和内建电场特性显著不同。对于半导体异质结而言,能带匹配与载流子势垒是其主要特征;而金属-半导体异质结则体现肖特基势垒或欧姆接触特征,表现出不同的电输运机理。

图7. 设计和合成MoO2–MoSe2金属-半导体异质结构。DOI: 10.1021/acs.nanolett.4c01865
按结构维度与界面形态分类
在纳米尺度下,异质结可按照几何维度进一步划分为零维、二维、三维或复合维度异质结构。
零维异质结表现为界面点接触或量子限域行为,二维异质结则由层状结构堆叠形成面接触界面,三维异质结则表现为体相嵌入或相间包覆结构。不同维度的异质结具有不同的电子态分布特征、能带偏移规律及载流子扩散动力学。
界面维度不仅决定能带交叠程度,还影响电场分布与极化取向,是决定异质结电子特性的重要几何变量。

图8. 晶内三维钙钛矿异质结构的设计和表征。DOI: 10.1038/s41586-025-08867-6
综上所述,异质结的分类体系体现了其多层次结构特征与电子态分布规律。不同类型的异质结在能带耦合、界面电势与载流子输运行为上存在显著差异,其系统性分类为研究异质界面物理提供了清晰的理论框架。
如何表征异质结
透射电子显微镜(TEM / HRTEM / STEM)
透射电子显微镜(TEM)和其高分辨形式(HRTEM)可直接观察异质结界面原子排列、晶格匹配情况、缺陷、畴界等结构信息。扫描透射电镜(STEM)结合能谱(EDX)或电子能量损失谱(EELS)可以分析界面处的成分分布和价态变化,对异质结的空间分布和界面质量提供直观证据。

图9. CF/CZOS异质结材料的高分辨率透射电子显微镜(HRTEM)图像。DOI: 10.1088/2752-5724/add7f3
X射线光电子能谱(XPS)和紫外光电子能谱(UPS)
XPS可用于分析异质结中不同元素的化学态,UPS可以测量材料的价带顶位置和功函数。结合两者可以估算能带对齐方式(如类型I、II或III),判断带隙偏移和界面电子结构,是表征能带结构的重要手段。

图10. DOI:10.1038/ncomms8666
光致发光(PL)和时间分辨光致发光(TRPL)
PL用于分析载流子复合行为。异质结的PL强度变化可反映界面复合机制和能带结构;TRPL则可以测量寿命变化,推断异质结是否实现了载流子分离,是检验光电性能的重要手段。

图11:TRPL 直观看到异质结载流子分离导致的寿命延长。DOI:10.1038/ncomms7242
紫外-可见吸收光谱(UV-Vis)
UV-Vis光谱可以分析材料的吸收边和带隙。通过Tauc图或Kubelka-Munk方法估算带隙变化,同时比较异质结构与单一组分的吸收能力是否增强,反映其对光的响应范围是否拓展。

图12: In2O3, Nb2O5, and IN10的紫外可见吸收光谱表征。DOI:10.1038/s41467-024-49004-7
原子力显微镜(AFM)和导电原子力显微镜(c-AFM)
AFM提供界面形貌信息,而c-AFM可以测量异质结不同区域的导电性差异,对理解电荷分离路径和局部电流分布极为重要,有助于揭示异质结的光电活性区域。

图13:扭曲角为28.03°的MoS2/Gr异质结的典型C-AFM电流映射。 DOI:10.1038/s41467-018-06555-w
拉曼光谱
拉曼光谱用于分析晶格应力、相互作用和界面耦合等。对于2D材料异质结,如MoS₂/WS₂,拉曼位移可揭示应变效应或电子转移,间接反映界面耦合强度。

图14:拉曼映射,MoSe₂/MoS₂ 区域对比。DOI:10.1038/ncomms8749
X射线衍射(XRD)与高分辨XRD(HRXRD)
XRD分析异质结的晶体结构和取向关系,HRXRD可判断是否存在晶格失配、应变层、界面粗糙度等信息,尤其适用于外延异质结构的质量评价。

扫描隧道显微镜(STM)与扫描隧道谱(STS)
STM可实现原子级别的成像,STS可测局域态密度(LDOS)分布,揭示异质结中的能带结构细节、局部费米能级移动等,常用于研究量子异质结构和超晶格。

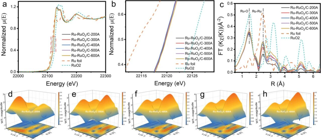
同步辐射X射线吸收谱(XAS)及X射线吸收近边结构(XANES)可探测局域电子态与化学键变化,揭示界面电子耦合程度。此外,角分辨光电子能谱(ARPES)能够直接获得能带色散关系,为异质结能带排列与电子态交互提供准直接证据。

图17. 同步辐射X射线吸收谱(XAS)从原子尺度揭示了异质结的配位环境特征。DOI: 10.1002/advs.202414534
【高端测试 找华算】
华算科技是专业的科研解决方案服务商,精于高端测试。拥有10余年球差电镜拍摄经验与同步辐射三代光源全球机时,500+博士/博士后团队护航,保质保量!
🏅已助力5️⃣0️⃣0️⃣0️⃣0️⃣➕篇科研成果在Nature&Science正刊及子刊、Angew、AFM、JACS等顶级期刊发表!
👉立即预约,抢占发表先机!

