介绍完二次离子质谱的基本概念及其运作原理,再深入探讨一下飞行时间二次离子质谱技术。

ToF-SIMS 概述
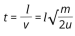
飞行时间(ToF)选择器测量的是二次离子(SI)到达检测器所需的时间,这是其质量和电荷的函数。从表面溅射下来的 SI 被一个提取器收集起来,提取器通过脉冲开关将其释放到一个管道中,然后通过管道到达检测器。
来自样品表面的电荷相同的离子被提取器加速到相同的动能(Ek),因此,由于 Ek=1/2mv2 的关系,较重的 SI(m 较大)的速度(v)较低,因此到达检测器的时间较长。较轻的离子速度较大,会先于较重的离子到达探测器。
SI 上的电荷也会影响它到达探测器的时间。两个质量相同但电荷不同的离子具有不同的动能。电荷量大的离子会比电荷量小的离子先到达检测器。这两个概念的示意图如下。

这里说明入射离子束撞击样品并释放出二次离子(SI)。样品和提取器之间存在电压差,这决定了要收集的离子的极性。SI 被提取器收集,通过开关电压,为进入选择器的每一束 SI 设定 t0。另外,有时也可以通过脉冲离子束来设置 t0,这样就可以在连续的 t0s 时间内让零散的离子包撞击样品。有必要设置 t0,以便计算飞行时间。
左图:显示了几个单价 SI 根据质量进行的分离,以及如何与光谱上的峰值相对应。右图:显示了不同质量和不同电荷的离子根据两者的不同而分离。通过提取器的二价离子的动能是等效一价离子的两倍,因此通过选择器的速度更快。请注意,离子是按质量:电荷比分离的,光谱的 x 轴上显示的就是这一比率。
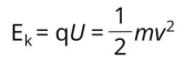
入射离子(PI)脉冲撞击样品后,样品会立即释放出二次离子(SI)。通过样品和提取器之间的电位梯度,这些离子被加速到质量选择器。提取器位于选择器的入口处,其产生的电压称为提取电压(U)。该梯度的方向决定了分析过程中提取的 SIs 的极性。U 的典型值约为两千伏,其工作距离(即样品与选择器入口之间的距离)为几毫米。
进入选择器后,SIs 在到达检测器之前,会在一个长度约为 2 米的无场区域内漂移。这些离子的动能(Ek)由其电荷(q)和加速度势能(即 U)决定,因此:

到目前为止,大多数 SI 都带有单位电荷(q = ±1),因此产生的光谱主要是这些离子的信号。因此,这里只讨论单价 SI。由于这些单价离子具有相同的动能,因此在选择器漂移区域内的 SI 会根据其质量进行分散。较重的离子(m 值较大)速度(v 值)较低,因此到达检测器的时间较长。所用时间(t)由以下公式得出:

离子的质量与其飞行时间之间的关系正是这种选择器名称的由来。

在这个问题中,a 和 b 是根据已知质量标准的经验得出的常数,它们与物理学相关。具体而言,a 是由 t0(某个特定时间点)决定的,而 b 则与离子的飞行路径长度以及提取电压有关。
理论上,如果两个离子的质量完全相同,那么它们到达检测器的飞行时间应该是一致的。然而,实际情况并非如此。当离子从表面溅射而出时,由于仪器和样品等因素的影响,它们的动能会存在微小的差异。这种动能上的差异会导致飞行时间(Δt)有所变化,进而影响到测量质量(Δm)的准确性。
这种动能上的差异还会在质谱图上表现为峰值的变宽,即质量分辨率(m/Δm)的降低,从而增加了确定峰值位置的不确定性。为了解决这个问题,ToF SIMS 仪器通常采用两种选择器设计之一来提高“能量聚焦”的效果,这两种选择器分别是反射器(reflectron)和静电扇形选择器(electrostatic sector analyser,简称 ESA)。
选择器的分辨率对于区分质量相近的二次离子(SI)至关重要。例如,硫原子的质量为 32.07,而氧分子的质量为 2 × 15.99 = 32.00,两者质量非常接近。因此,具有高分辨率的选择器能够更准确地区分这些质量相近的离子。


反射式 TOF(Reflectron-TOF)
反射式 ToF 选择器可确保相同质量的离子同时到达检测器,而不考虑其能量的微小变化。这是利用离子镜反射离子来实现的。与能量较低的离子相比,能量较高的离子在被反射之前会向离子镜移动更远。这样,质量和电荷相同的离子就能被聚焦,并同时到达检测器,而不管它们的动能如何。此外,使用反射电子管还能增加飞行路径,从而提高质谱的分辨率。

展示了反射 Tof 选择器如何利用离子镜反射不同能量的离子,使它们同时到达检测器


静电扇形选择器(ESA)TOF
与反射器类似,ESA 使用多个静电分析器来聚焦各种能量的离子,使它们同时到达探测器。
当离子穿过电场时,它们会在多个电场中发生偏转,从而根据离子的动能对其进行聚焦。由于离子偏转的方式,动能过高或过低的离子会被阻挡,无法在选择器周围完全移动,从而被排除在系统之外。这只允许特定动能的离子通过,从而消除了任何不需要的离子产物。这种技术具有较高的质量分辨率和较高的传输效率。

静电扇形选择器利用一系列弯曲的通道将不同能量的离子聚集在一起,使它们同时到达探测器


ToF-SIMS 探测器
ToF-SIMS(时间飞行二次离子质谱仪)的检测器功能在于记录从质量分析器逸出的二次离子的飞行时长。鉴于这些离子的流量相对较低,探测器必须具备检测单个离子的灵敏度,因此,当前的高端仪器普遍采用了微通道板(MCP)探测器技术。
微通道板构造独特,它实质上是一块嵌有微小通道的玻璃板。这些通道直径大约介于 5-50 微米之间,且彼此平行,从玻璃板的顶部一直延伸至底部。值得注意的是,这些通道并非完全垂直,而是略微倾斜,倾斜角度约为 10°,这样的设计使得进入通道的二次离子(SI)会与通道壁发生碰撞。通道壁表面覆盖有一层特殊涂层,当离子与之碰撞时,涂层会释放出电子。在板两面之间施加的电场作用下,这些电子沿着微通道向下加速运动。电子在移动过程中与通道壁再次碰撞,引发更多的电子释放,形成电子级联效应,从而极大地增强了原始 SI 碰撞产生的信号强度(放大倍数可达 103 倍)。
微通道板(MCP)探测器示意图
电子束从平板流出后,其路径有两个选择:一是直接被阳极接收,二是撞击闪烁体以转换成光子,随后这些光子会被光电倍增管捕捉并放大其信号。接着,时间数字转换器(TDC)会将这些信号映射到具体的时间刻度上。
当重的 SI(因其移动速度较慢)离开选择器时,其动量可能不足以激发探测器上的电子发射。为了改善对这些信号的捕捉,我们可以在探测器前端增设一个“后加速”电压。
记录 SI 撞击的时间通常短暂,仅持续几十纳秒,在此期间,探测器会进入“死区时间”,无法响应任何后续的撞击。若 SI 撞击的频率超出了这一时间限制,探测器就会进入“饱和”状态,导致在死区时间内到达的多个离子被错误地记录为一次计数,进而破坏了每个 PI 脉冲产生的 SI 数量与检测到的数量之间的线性关系。
然而,当死区时间内到达的 SI 数量少于 4 个时,我们可以通过泊松统计校正来恢复这种线性响应,这一过程通常由仪器软件自动完成。
部分仪器选择器具备扩展动态范围(EDR)功能,对于可能使检测器饱和的 SI,它们会先通过滤波器衰减其信号强度后再进行检测。例如,若一个 PI 脉冲产生了 25 个 X + SI,这些离子原本会使检测器饱和,但若它们先经过一个衰减 10% 的滤波器,则只有 2 或 3 个离子会到达检测器,从而落在泊松校正的有效范围内。
若我们关注的离子产生了饱和信号,而仪器又不具备 EDR 选择器,那么,我们可以通过减少每个脉冲的 PI 个数(如缩短脉冲长度)来减轻饱和现象。但这种方法会相应地降低所有其他 SI 信号的强度。相比之下,EDR 功能则能更精确地针对指定的 SI 进行过滤。


ToF-SIMS 数据
与专注于电子、光或能量检测的其他技术相区别,SIMS(二次离子质谱)技术独特地聚焦于离子的检测,其能力覆盖从氢至铀的广泛元素范围,并能识别质量高达 105 原子质量单位(amu)的各类分子离子。这些离子在精密的选择器中,依据其质量/电荷比(m/z)实现分离,该比值与原子质量单位紧密关联。
举例来说,铜元素存在两种天然同位素,分别具有 63amu 和 65amu 的质量。因此,在 m/z 63 和 m/z 65 的位置,我们可以观察到两个代表 Cu+ 的峰。这两个信号的强度比例直接反映了它们各自的同位素丰度。
此外,由于不同原子和分子的电离电位(Ki)各异,它们在样品中的电离程度也各不相同。例如,尽管铜和锌的浓度可能相等,但铜的电离势较低(750 kJ/mol),而锌的电离势较高(900 kJ/mol),导致铜比锌更容易电离,从而在检测中 Cu+ 离子的数量多于 Zn+ 离子。
电离效率受到多种因素的复杂影响,特别是原子的化学环境。因此,利用 SIMS 进行定量分析极具挑战性,需要为所有待测离子建立基质匹配的标准。
在最新一代的仪器中,大型且复杂的分子离子首先被第一个质量分析器筛选出来,随后被送入第二个质量分析器进行碎裂处理,以实现更为精确的身份识别。


ToF-SIMS 的经典应用
最初,ToF-SIMS 主要应用于无机材料和矿物的分析,涵盖了半导体、工业材料、涂层以及有机污染的化学组成与分布图绘制。然而,近年来,随着相关技术的飞速发展,ToF-SIMS 的应用范围显著扩展,现已广泛用于聚合物样品、药品、生物分子、组织样本和细胞的分析,以及法医鉴定和诊断等领域。
制药科学
Zhou 等人研究表明,在粘性颗粒上涂覆润滑剂可提高低浓度赋形剂的可吸入药物的气溶胶化效果。由于这纯粹与最外层的表面化学成分有关,ToF-SIMS 可用于分析表面的变化,并确定表面辅料的成分和分布。
也利用 Tof-SIMS 研究了表面活性 l-亮氨酸和 1,2-二棕榈酰-sn-甘油-3-磷脂酰胆碱(DPPC)对改善吡嗪酰胺和莫西沙星共喷干燥粉末气溶胶化的影响。

L-亮氨酸和 DPPC 莫西沙星共喷粉末的 ToF-SIMS 化学图谱
地质学与矿物学
痕量元素和表面化学的高精度分析在地质学和采矿学中发挥着重要作用。ToF-SIMS 可以逐粒提供表面最上层原子层的元素和分子信息。

单个硅砂颗粒显示红色为硅,绿色为铝,蓝色为铁
ToF-SIMS 通常用于矿物加工领域,观察浮选过程中化学激活剂或抑制剂的相互作用。最近,ToF-SIMS 数据被用于根据单个颗粒最外层的表面化学性质预测矿物的润湿性或疏水性。

根据 ToF-SIMS 图像预测不同黄铁矿颗粒的接触角
法医取证
飞行时间二次离子质谱法(ToF-SIMS)提供小面积分析,以确定表面元素和有机成分的特征。ToF-SIMS 适用于识别和询问铅笔、圆珠笔和某些染料的可疑标记。这可能有助于确定伪造或篡改文件的来源。

不同打印机墨水的 ToF-SIMS 光谱和图像
大多数弹药往往在底火中使用玻璃粉,这些玻璃粉会与枪弹残留物中的其他成分融合。由于 ToF-SIMS 的检测限极低,因此可以识别不同来源残留物中有机和无机物质的特定特征。

对来自 17 个不同制造商的 29 种枪击残留物的 ToF-SIMS 图谱进行多变量分析
本文源自微信公众号:中科蓝海ZKBO
原文标题:《顶刊利器:飞行时间二次离子质谱(TOF-SIMS)的基本内容与应用》
原文链接:https://mp.weixin.qq.com/s/TaKWLBR7y-_f-t15_HGQKA
本转载仅出于分享优质测试干货,旨在传递更多观点,并不代表赞同其全部观点或证实其内容的真实性。文章中所包含的图片、音频、视频等素材的版权均归原作者所有。如有侵权请告知删除。

