晶格畸变 VS 晶格应变

说明:本文聚焦晶格畸变晶格应变的核心差异与关联,系统解析二者定义、量化方法及表征技术区分不同类型的晶格畸变与晶格应变的特征。
晶格畸变 VS 晶格应变
晶格畸变 VS 晶格应变

一、晶格畸变是什么?

 

晶格畸变多种不同尺寸、弹性模量的元素原子在晶格中随机分布时,原子偏离理想晶格位置,形成的非均匀弹性应变场或原子排布偏差现象
晶格畸变 VS 晶格应变
晶格畸变的基本概念示意图。DOI: 10.1002/adma.202305453

晶格畸变相关公式

为精准描述晶格畸变程度,研究中发展了多种量化模型与参数,核心包括以下几类。

1.原子位移与体积相关参数

均方根原子位移(urms)反映原子偏移程度,公式为:
晶格畸变 VS 晶格应变
参数含义:NT为组元总数,N为晶格位点总数,晶格畸变 VS 晶格应变为m型原子在i位点p方向的错配诱导位移;
该公式直接反映原子偏离理想晶格位置的程度,与错配体积参数呈线性相关(urms=k×δb,k为成分依赖系数)。
晶格畸变 VS 晶格应变
随机固溶体与含CSRO的固溶体在晶格畸变程度上的显著差异。DOI: 10.1002/adma.202305453
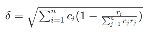
原子尺寸差异参数(δ)反映晶格畸变的程度,公式为:
晶格畸变 VS 晶格应变
参数含义:n为组元数,ci、cj为原子百分比,ri、rj为原子半径;
该公式为最常用的经验判据,δ越大表明晶格畸变越严重,一般认为δ>8%时晶格易坍塌为金属玻璃。
晶格畸变 VS 晶格应变
原子键长与位移的畸变度量标准。DOI: 10.1002/adma.202305453

2.应变波动相关参数

均方根应变(εRMS能够评估晶格稳定性,公式为:
晶格畸变 VS 晶格应变
参数含义:ci为组元浓度,εi为第i种元素的弹性应变;
该公式表征应变场的波动程度,与晶格弹性能积累直接相关,是评估晶格稳定性的核心指标。
晶格畸变 VS 晶格应变
基于原子对分布函数(PDF)的晶格畸变实验证据。DOI: 10.1002/adma.202305453

晶格畸变的类型

晶格畸变主要有四种核心类型,分类依据是畸变的成因、结构表现及影响范围。

1.尺寸错配型畸变

因不同原子的半径差异,在形成合金或固溶体时,溶质原子与溶剂原子的尺寸不匹配导致周围晶格发生拉伸或挤压,形成的局部性、自发性畸变。畸变范围局限于错配原子附近,是最普遍的晶格畸变类型。
例如FeCoNiCrMn 合金包含 Fe、Co、Ni、Cr、Mn五种元素,Mn 原子半径显著大于其他元素,作为 “大原子” 嵌入由其他元素构成的晶格中,挤压周围原子;同时 Cr 原子略大,进一步加剧局部晶格扭曲。
晶格畸变 VS 晶格应变
原子错配体积与畸变位移场的量化模型。DOI: 10.1002/adma.202305453

2. 应力诱导型畸变

外部机械应力(拉应力、压应力、剪切应力)作用于材料时,晶格原子因受力偏离理想位置,形成的可逆或不可逆畸变。应力较小时为弹性畸变(应力移除后恢复),超过弹性极限则产生塑性畸变(晶格结构永久改变)。
例如对低碳钢进行冷轧加工(室温下施加压应力),钢板厚度从 10 mm 减至 5 mm,外力迫使晶格原子发生滑移,位错密度显著增加,原子排列偏离理想晶格。
晶格畸变 VS 晶格应变
CoCrFeNi中体积应变与剪切应变的分布统计。DOI: 10.1002/adma.202305453

3. 缺陷相关型畸变

晶体内部固有缺陷(空位、间隙原子、位错、晶界等)引发的晶格畸变,缺陷周围的原子因失去理想配位环境,发生位移以平衡能量,形成局部畸变区域。
例如Ni 金属在核反应堆中受到中子辐照,高能中子撞击晶格原子,导致原子脱离原始位置,形成大量空位与间隙原子(点缺陷),同时产生位错环等线缺陷。
晶格畸变 VS 晶格应变
间隙团簇三维迁移模式与辐照抗性机制,说明畸变晶格改变缺陷迁移维度,抑制空位过饱和。DOI: 10.1002/adma.202305453

4. 化学 / 相变诱导型畸变

材料化学组成改变(如合金化、掺杂)发生相变(如同素异构转变、马氏体相变),导致晶格类型或原子排列方式重构,进而引发的晶格畸变。畸变通常伴随晶格参数的显著变化,多为不可逆过程。
例如Ti-6Al-4V 合金在淬火过程中,高温下的 β 相(BCC 结构)转变为 α’ 马氏体相(HCP 结构),相变过程中原子排列方式重构。
晶格畸变 VS 晶格应变
DOI: 10.1002/adma.202305453
晶格畸变 VS 晶格应变
晶格畸变 VS 晶格应变

二、晶格应变是什么?

 

晶格应变材料晶格因外部作用力、化学组成变化或界面相互作用,导致原子键长、键角偏离理想晶体结构的原子尺度形变现象
核心特征可概括为三点:1.本质是原子排列的几何重构,表现为晶格拉伸、压缩或剪切形变;2.直接调控材料电子结构,进而影响表面吸附、电荷转移等关键过程;3.与传统晶格畸变不同,晶格应变更强调 “可控性” 与 “定向调控”,是应变工程的核心调控对象。
晶格畸变 VS 晶格应变
晶格应变对催化活性的调控机制。DOI: 10.1002/adma.202305453
其中,晶格应变的基础应变量化公式晶格畸变 VS 晶格应变,ε为应变值(无量纲),Δl为形变后键长与理想键长的差值,l0为理想晶体中的原子键长。
正值表示拉伸应变(键长增长),负值表示压缩应变(键长缩短),绝对值越大应变程度越强。

晶格应变的类型

根据应变产生的方式与来源,可分为两大核心类型,分别为直接诱导型应变和基底诱导型应变。

(一)直接诱导型应变

直接诱导型应变通过物理或化学手段直接对催化剂本体施加作用,产生晶格形变,应变可控性强。
1.物理诱导应变
通过外部机械力、压力差等物理手段直接作用于材料,使晶格发生定向形变产生的应变。应变的方向、强度可通过物理条件精准调控,移除外力后部分应变可恢复(弹性应变范围内)。
例如将单层石墨烯转移至带微孔的 SiO₂基底上,利用原子力显微镜(AFM)探针在微孔中心施加垂直向下的均匀负载,墨烯受探针压力发生鼓泡形变,微孔区域的石墨烯晶格被拉伸,形成可控的面内拉伸应变。
特点:应变方向与强度可通过外力精准调节,但易受材料力学性能限制,大面积均匀应变实现难度大。
晶格畸变 VS 晶格应变            
AFM探针纳米压痕(c)实现石墨烯定点变形;气压差驱动MoS₂薄膜鼓包(d)产生双轴应变。DOI: 10.1039/d2mh01171a
2.化学诱导应变
通过化学手段(如原子掺杂、缺陷引入、脱合金化等)改变材料化学组成或内部结构,导致原子键长、配位数变化,进而引发的晶格应变。应变与材料本身形成一体化结构,稳定性强,通常不可逆转。
例如将单层 MoS₂暴露于 N₂等离子体中,通过等离子体处理使 N 原子取代 MoS₂中的部分 S 原子,导致 MoS₂晶格收缩,产生均匀的压缩应变。
特点:应变与材料结构一体化,稳定性强,适用于规模化制备,但应变强度调控精度依赖掺杂比例与工艺参数。
晶格畸变 VS 晶格应变
通过C⁺离子辐照(a)在PtPb纳米片形成拉伸外层与压缩内层;通过AuNi合金化(b)引发Pt壳层压缩应变。DOI: 10.1039/d2mh01171a

(二)基底诱导型应变

基底诱导型应变利用催化剂与基底的界面相互作用传递应变,是多相催化剂的主要应变来源。
1.直接界面应变
直接界面应变是两种材料通过异质外延生长、沉积等方式直接接触,因界面处晶格常数、热膨胀系数等差异,导致其中一种材料(通常为薄膜层)产生的应变。应变由界面直接传递,无需外部作用力,应变类型与强度由两种材料的固有特性决定。
例如通过高温化学沉积法在 FTO(氟掺杂氧化锡)基底上生长 BiVO₄薄膜,形成 BiVO₄/FTO 异质结构,外延生长过程中 BiVO₄薄膜为适配 FTO 基底的晶格结构,发生晶格收缩,在薄膜内部产生压缩应变。
特点:应变覆盖面积大,与催化剂制备工艺兼容,但应变类型与强度由基底特性决定,后续调节难度大。
晶格畸变 VS 晶格应变
基底诱导直接应变的四种典型途径。DOI: 10.1039/d2mh01171a
2.间接传递应变
间接传递应变是指材料与基底通过界面结合(如物理吸附、化学键合),外部作用力先作用于基底,再通过界面相互作用间接传递至材料表面,使材料产生的应变。应变的传递依赖基底与材料的界面附着力,应变类型与基底形变方向相反。
例如将单层 MoS₂薄膜转移至预拉伸 100% 的PDMS弹性基底上,待 MoS₂与 PDMS 充分结合后,缓慢释放 PDMS 的预拉伸应力,PDMS 释放应力后收缩,带动表面的 MoS₂薄膜同步收缩,MoS₂晶格被压缩,形成均匀的压缩应变。
特点:应变可逆性强,可动态调节,但需保证催化剂与基底的强界面结合,避免应变释放。
晶格畸变 VS 晶格应变
基底诱导间接应变的力学传递机制。DOI: 10.1039/d2mh01171a
晶格畸变 VS 晶格应变
晶格畸变 VS 晶格应变

三、晶格畸变和晶格应变的关系

 

晶格畸变与晶格应变既存在本质关联,又在定义、侧重点、应用场景上有明确区分,核心关系可概括为 “应变是可控的畸变,畸变是广义的结构偏离”。

1.核心关联:本质同源,均为晶格结构偏离

两者的物理本质一致,都是晶体中原子偏离理想晶格位置的原子尺度结构变化,具体表现为根源相同、结构影响相通、量化指标互通
晶格畸变 VS 晶格应变
晶格畸变的起源。DOI: 10.1002/adma.202501209
根源相同:均由原子尺寸差异、外力作用、化学组成变化或界面相互作用引发,表现为原子键长、键角的改变或原子位移;
结构影响相通:都会导致晶格内部产生应力场,调控材料电子结构(如 d 带中心、能带间隙),进而影响力学、催化、导电等宏观性能;
量化指标互通:均可用原子位移、晶格参数变化、均方根应变等参数描述,应变的量化公式(ε=Δl/l0)也可用于表征畸变的程度。

2.关键区别

晶格畸变与晶格应变的关键区别在于定义、侧重点与应用场景三方面。
晶格畸变 VS 晶格应变

3.实际应用中的关联与边界

畸变可转化为应变:部分自发晶格畸变,通过定向设计可转化为可控的晶格应变,实现性能优化。
应变可能引发附加畸变:当应变超过材料弹性极限或与缺陷、掺杂协同作用时,会产生额外的晶格畸变,需平衡两者比例以避免晶格坍塌。
边界模糊的场景:在二维材料中,应变与畸变常伴随出现,如 MoS₂的拉伸应变可能同时引发晶格畸变,此时两者共同作用于电子结构与活性位点。
晶格畸变 VS 晶格应变
MnOx晶格畸变结构表征。DOI:10.1002/anie.202515012
晶格畸变 VS 晶格应变
晶格畸变 VS 晶格应变

四、如何分析晶格畸变 / 晶格应变?

 

分析晶格畸变与晶格应变的核心逻辑是 “先明确对象属性→选对表征技术→量化关键参数→关联性能机制”。
二者虽同源但分析侧重点不同:畸变侧重 “无序结构的表征与强度评估”,应变侧重 “定向形变的精准量化与调控效果”

共性分析步骤:从样品制备到性能关联

1.样品预处理:保证分析准确性

首先需要避免附加干扰。畸变分析中样品需避免外力损伤,减少制备过程(如切割、研磨)引入的额外应变;应变分析中需控制调控条件(如外力大小、掺杂比例、基底参数)的一致性,确保应变可重复。
其次需要确认样品状态,通过 XRD 初步判断晶体结构,排除多相干扰(多相共存可能导致畸变 / 应变分布不均)。
晶格畸变 VS 晶格应变
DOI:10.1021/acsnano.5c16095

2.表征技术选择:按分析需求匹配

结构表征能够直观观测原子排列与形变,可采用球差校正 HRTEM/AC-HRTEM、HAADF-STEM、4D-STEM、XRD、原子力显微镜(AFM)等技术。
晶格畸变 VS 晶格应变
例如,研究人员分析 PtPdFeCoNiMo 高熵金属烯(HEMs)的晶格畸变特征,明确其对氧还原反应(ORR)活性的调控机制,采用了球差校正 HRTEM观测原子级晶格畸变,并基于 HAADF-STEM 图像,捕捉高熵效应导致的微应变。
晶格畸变 VS 晶格应变
HAADF-STEM(a,b)直接观测Pd纳米颗粒3.2%拉伸应变。DOI: 10.1039/d2mh01171a
电子结构表征关联形变与性能机制,可采用X 射线吸收光谱(XAS)、拉曼光谱、X 射线光电子能谱(XPS)、密度泛函理论(DFT)等方法。
晶格畸变 VS 晶格应变
例如,研究人员通过协同 Jahn-Teller 效应调控 MnO₂/ 石墨烯超晶格的晶格应变,缓解 Zn²⁺插层应力,提升循环稳定性,需要使用拉曼光谱证明 “面内拉伸 + 层间压缩” 的双轴应变存在,并关联其与结构稳定性的关系。
晶格畸变 VS 晶格应变
拉曼光谱通过E₂g1和A₁g峰红移定量计算MoS₂应变达1.35%。DOI: 10.1039/d2mh01171a

针对性分析策略:畸变与应变的差异化实操

1.晶格畸变分析:聚焦 “无序结构的强度与分布”

优先选择技术:AC-HRTEM(局部畸变观测)+ XRD(宏观畸变统计)+ EXAFS(原子配位数 / 键长波动)。
操作要点:1.用 XRD 判断是否存在晶格畸变(峰宽化且无明显位移);2.用 AC-HRTEM 定位畸变区域(如原子错位、局部晶格扭曲);3.计算urms或δ,量化畸变程度;4.关联畸变与性能(如畸变程度对强度、抗辐照性的影响)。
晶格畸变 VS 晶格应变
多尺度应变表征技术联用方案。DOI: 10.1039/d2mh01171a

2.晶格应变分析:聚焦 “定向调控的精准性与效果”

优先选择技术:4D-STEM(应变场精准测绘)+ 拉曼光谱(快速定量)+ DFT 计算(机制验证)。
实操要点:1.设计对照实验(如无应变样品 vs 不同应变强度样品);2.用拉曼光谱快速定量应变(如 MoS₂的 E¹₂g 峰红移对应拉伸应变);3.用 4D-STEM 绘制应变分布图,确认应变均匀性;4.结合 XPS/XAS 与性能测试,验证应变对电子结构和目标性能的调控作用。

 

本文源自微信公众号:材料有干货

原文标题:《晶格畸变 VS 晶格应变》

原文链接:https://mp.weixin.qq.com/s/NlUqT_CkzCTiSkXGI-24BA

本转载仅出于分享优质测试干货,旨在传递更多观点,并不代表赞同其全部观点或证实其内容的真实性。文章中所包含的图片、音频、视频等素材的版权均归原作者所有。如有侵权请告知删除。

(0)
上一篇 2025年11月13日 下午3:05
下一篇 2025年11月13日 下午3:21

相关推荐