等温滴定量热法(ITC)近年来迅速发展并广泛应用于分子生物学及其相关领域的研究分子相互作用的生物物理技术,它是在恒定温度下唯一能够直接测量复合物形成过程中的热量变化的方法。它可以简单地通过测量两个溶液相互作用时吸收或放出的热量来提供分子相互作用的重要信息,如结合常数、结合位点数、自由能、焓和熵。
工作原理
在 ITC 仪中,有两个加样池,一个是含有水的参比池,另一个是包含目标蛋白质的样品池,二者之间通过一个热电偶回路相连,确保样品池和参比池处于完全相同的温度,如下图。

样品池和参比池侧分别有一个加热器,在实验过程中分别对样品池和参比池进行加热,实验过程中加热器的功率补偿会被同步记录下来并用于后续的热分析,具体的操作流程如下。
在参比池中加入参比物,将反应物置于样品池中,将参比池和样品池设置为所需的实验温度;

将含有配体的滴定剂(通常是小分子)装入注射器并加入样品池,一系列的小份配体等分试样被依次注入到目标反应物的蛋白质溶液中;

样品与滴定剂发生吸热/放热反应会导致样品池与参比池的温差发生变化,反应变化的能量被热敏装置灵敏的检测到,灵敏度可达到百万分之一摄氏度;

每注入一份配体滴定剂后,量热仪都会进行一次测量,所测得的热量与反应结合量成正比;

以放热反应为例,注入配体后与样品发生反应,样品池的温度高于参考池,仪器记录下降峰信号,加热装置对参考池供给更多的热量,等到两侧温度恢复一致之后,信号峰就返回到起始位置;

经过一系列配体注射,配体和样品之间的摩尔比逐渐增加,样品中的活性成分越来越少,反应结合量减少,每注入一份配体后的热量变化也在减小,直到最终样品池中的样品饱和,热量变化趋近为零;


等温量热滴定仪将一系列的变化数值记录下来,即可获得量热曲线;

将每个峰的面积进行积分,并以配体与样品的摩尔比为横坐标进行绘图,生成的等温线(热量峰曲线)可用于拟合计算得出焓 ΔH,结合拟合方程可获得亲和力 KD,结合等温线中心的摩尔比可以获得反应化学计量数。

ITC 系统是通过细胞反馈网络 CFB 来分别测量或者补偿样品和对照由于反应所产生或者吸收的热量。
两个硬币状的东西放置在绝热的圆筒中,通过那个细细的管子与外界联通。有两个热量检测装置,一个用来检测两个样品之间的热量差,另一个检测对照和环境的热量差。
当样品中发生化学反应的时候,释放或者吸收热量,因此样品和对照的温度差会通过对样品进行增加或者减少热量而稳定在一个水平,就是 baseline。因此那些用来维持 ΔT1= 常数的热量就被系统检测画作曲线。

技术优势
对被研究体系的溶剂性质、光谱性质和电学性质等没有任何限制条件,即具有非特异性的独特优势;
样品用量小,方法灵敏度和精确度高(仪器最小可检测热功率 2nW,最小可检测热效应 0.125uJ,生物样品最小用量 0.4ug,温度范围 2℃-80℃,滴定池体积 1.43mL)。
实验时间较短(典型的 ITC 实验只需 30-60 分钟,并加上几分钟的响应时间)。
操作简单(整个实验由计算机控制,使用者只需输入实验的参数,如温度注射次数、注射量等,计算机就可以完成整个实验,再由 Origin 软件分析 ITC 得到的数据)。
测量时不需要制成透明清澈的溶液,而且量热实验完毕的样品未遭破坏,还可以进行后续生化分析。
尽管微量热法缺乏特异性但由于生物体系本身具有特异性,因此这种非特异性方法有时可以得到用特异方法得不到的结果,这有助于发现新现象和新规律,特别适应于研究生物体系中的各种特异过程。
应用范围
蛋白质-蛋白质相互作用(包括抗原-抗体相互作用和分子伴侣-底物相互作用);
蛋白质折叠 / 去折叠;
蛋白质-小分子相互作用以及酶-抑制剂相互作用;
酶促反应动力学;
药物-DNA / RNA 相互作用;
RNA 折叠;
蛋白质-核酸相互作用;
核酸-小分子相互作用;
核酸-核酸相互作用;
生物分子-细胞相互作用。
Q
为什么微量热法能研究分子间相互作用?
分子间相互作用过程中价键的形成和破坏需要释放或者吸收能量,绝大部分化学和生化过程也都伴随着热量的吸收和释放,微量热检测的是最基本、最普遍的物理量-热量变化。
仪器灵敏度的提高让检测 mcal 或者 ncal 水平的热量成为可能,样品的用量也随着仪器设计的进步而减少到可以接受的程度,ITC 仪能实现微量研究。
被分析的样品始终处于天然的溶液状态和构象,无需修饰。测试过程非光学检测,样品颜色、内在荧光、透明度对实验没有影响。热量测定可以在广泛的溶液环境和温度条件下进行,所以 ITC 仪能对广泛的样品进行测试分析。
实用案例
1. 研究目的蛋白与抗癌药物的结合作用
根据抗癌药物与蛋白 DPF2 C2H2 的滴定曲线,可以观察出顺铂与蛋白能发生相互作用。然后采用分析软件 NanoAnalyze 对 ITC 实验数据进行分析并拟合曲线,通过浓度梯度探索,最终实验结果显示:当顺铂、蛋白的工作浓度各为 1mM、0.025M 时,即二者浓度比为 40 倍时,得到的 S 曲线最好,相互结合作用最佳,滴定曲线如下图所示。

1mM 顺铂与 25μM DPF2 C2H2 相互作用的 ITC 滴定曲线
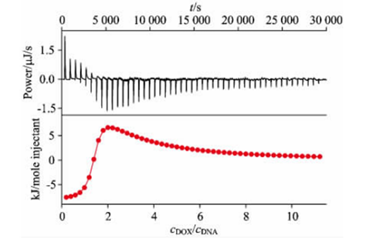
2. 探究抗癌药物与 DNA 的相互作用
盐酸阿霉素(DOX)与 DNA 作用的 ITC 曲线如图,采用 NanoAnalyze 软件分析得到的热力学参数列于表中。

DOX 与 DNA 作用的等温滴定量热曲线

25℃ 下 DOX 结合 DNA 的热力学参数
对于第一类结合,ΔH1<0,ΔS1>0 是一个稍有放热而熵增明显的过程,且结合平衡常数较大,这两种情况都会引起过程放热,所以第一类结合表现为焓-熵协同驱动过程,驱动作用力主要为静电作用。
对于第二类结合,ΔH2>0,ΔS2>0是吸热且熵增明显的过程,结合平衡常数较小,这可能是因为 DOX 的疏水平面部分较深地嵌插至 DNA 分子的疏水部分,并且 DOX 进入之后又会使原来处于较深层疏水空腔的全部或部分溶剂水分子进入溶液本体,转变为自由水分子,使混乱度增加,故表现为疏水作用为主的熵驱动过程。
一定的温度和压力下,两类结合的 ΔG 值均为负值,说明两类结合过程均可以自发地进行,且生成的产物分子结构比较稳定。
3. 探索蛋白质与小分子的相互作用
研究了四种钙盐滴定酪蛋白磷酸肽 CPP 后的热力学变化,如下图所示。不同的钙盐滴定 CPP 后的焓变,熵变及自由能均无显著性差异(p>0.05)。此外,不同钙盐与 CPP 结合的焓变均大于 0,为吸热反应,这与之前的研究一致。
此外,吉布斯自由能 ΔG(kcal/mol)均小于 0,表示模拟小肠末端环境下,CPP 与四种钙盐均自发进行反应。并且,由于 -TΔS 均大于 ΔH,导致 ΔG 小于 0,表明熵变克服了焓变,因此该反应是由熵驱动的,离子相互作用力是该过程的主要推动力。

CPP 与不同钙盐溶液相互作用的热力学常数(ΔH)
4. 研究蛋白质-酶的相互作用
武汉大学生命科学学院的研究者们采用特异性的荧光滴定法结合非特异性的 ITC 测试法,对阴离子型去垢剂十二烷基硫酸钠(SDS)和绿色木霉纤维素酶的相互作用进行了研究。15℃ 下 SDS 和纤维素酶结合的 ITC 曲线和由此拟合的非线性拟合曲线如图所示。

SDS 与绿色木霉纤维素酶结合的 ITC 曲线
可以看出,SDS 与纤维素酶的结合反应为放热反应,随着 SDS 浓度从 0.35 mmol/L 增大到 8.2 mmol/L,结合反应趋于饱和,滴定曲线逐渐减小。采用独立结合位点模型模拟出该过程的本征结合常熟、本征摩尔结合焓和纤维素酶的 SDS 结合位点数分别为 Kb=126±23 L/mol,ΔbH0m=-3.49±0.24 kJ/mol 和 n=42.5±0.7。
不同温度下 SDS 和纤维素酶结合的热力学数据列在下表中。从测试结果也可以看出,随着温度的升高,Kb 总体上是下降的,但 30℃ 的 Kb 反而比 25℃ 的数据稍大,这可能是由于 SDS 结合纤维素酶的亲和力较弱。

SDS 与绿色木霉纤维素酶结合的热力学参数
本文的实验结果表明,SDS 结合绿色木霉纤维素酶的亲和力较弱,为较小的放热反应,并伴随着一定程度的熵增,属于焓和熵共同驱动的反应。该结合过程的焓变和熵变强烈地依赖于温度,但其 Gibbs 自由能几乎与温度无关,表明该结合过程中存在着显著的焓-熵补偿作用。
5. 研究糖-蛋白质相互作用
复旦大学生物医学研究院的研究者们使用 ITC 法对核糖开关 aac 与氨基糖苷类抗生素的结合亲和力及结合热力学性质进行了研究,并初步讨论了点突变对相互作用的影响。
RNA 与小分子的相互作用需要合适的构象,因此,进行等温滴定实验前需将 RNA 进行退火处理。实验前 RNA 溶液在 95℃ 变性 5min,金属浴退火 4h,滴定样品须在 4℃ 下 12000r/min 离心 10min 去除气泡,随后再进行 ITC 实验,获得的补偿功率随时间变化的曲线图和反应热随摩尔比变化的曲线图如图所示。

ITC 反应中补偿功率随时间变化的曲线图和反应热随摩尔比变化的曲线图
图中,链霉素滴定核糖开关 aac 的反应热曲线呈散点状,表明链霉素不能结合核糖开关 aac,西索米星、庆大霉素、G418、奈替霉素、巴龙霉素与核糖开关 aac 有特异性相互作用;阿米卡星、卡那霉素 A、链丝菌素、链霉素、新霉素、新霉胺、核糖霉素与核糖开关 aac 没有特异性相互作用。这些结果对进一步研究核糖开关 aac 与氨基糖苷类抗生素相互作用的位点和机制具有重要的参考价值。
本文源自微信公众号:中科蓝海ZKBO
原文标题:《等温滴定量热法(ITC):探究分子间相互作用》
原文链接:https://mp.weixin.qq.com/s/SamJSdi6jXhBXPRCBYKs1g
本转载仅出于分享优质测试干货,旨在传递更多观点,并不代表赞同其全部观点或证实其内容的真实性。文章中所包含的图片、音频、视频等素材的版权均归原作者所有。如有侵权请告知删除。

