什么是离子液体?定义、分类、特征公式及 DSC/TGA/MD 分析技术合集

说明:本文华算科技系统梳理了离子液体的定义与分类,给出离子传导率、Henry定律两大公式及核磁共振光谱(NMR)差示扫描量热法(DSC)热重分析(TGA)密度泛函理论(DFT)分子动力学模拟(MD)机器学习(ML)等离子液体的分析手段与调控策略。
什么是离子液体?定义、分类、特征公式及 DSC/TGA/MD 分析技术合集

一、离子液体的核心定义

什么是离子液体?定义、分类、特征公式及 DSC/TGA/MD 分析技术合集
离子液体(Ionic Liquids, ILs)是指在室温或近室温(通常低于100℃)条件下呈液态的纯离子化合物,其核心特征是由阳离子和阴离子构成,无中性分子参与,打破了传统盐类需高温熔融才能呈液态的特性。
什么是离子液体?定义、分类、特征公式及 DSC/TGA/MD 分析技术合集
10.1002/adma.202313023
离子液体具有蒸气压极低、热稳定性与化学稳定性优异、溶解性广谱、导电性良好等固有属性,这些特性源于其阳离子与阴离子的可设计性,使其在多个领域具备替代传统有机溶剂的潜力。
与常规液态物质不同,离子液体的液态范围宽(部分可达-90℃至350℃),且理化性质可通过离子组合灵活调控,因此也被称为“设计性溶剂”。
什么是离子液体?定义、分类、特征公式及 DSC/TGA/MD 分析技术合集

二、核心公式及物理意义

什么是离子液体?定义、分类、特征公式及 DSC/TGA/MD 分析技术合集

1. 离子传导率公式(Nernst-Einstein方程)

什么是离子液体?定义、分类、特征公式及 DSC/TGA/MD 分析技术合集
其中:
σ:离子液体的离子传导率(S·cm⁻¹);
N:单位体积内的载流子数(m⁻³);
q: 载流子的电荷量(C);
D:的扩散系数(m²·s⁻¹);
k:玻尔兹曼常数(1.38×10⁻²³ J·K⁻¹);
T:热力学温度(K)。
物理意义:该方程揭示了离子液体的传导性能与载流子浓度、扩散能力及温度的定量关系。
离子液体中阳离子与阴离子的扩散系数直接影响其传导效率,温度升高会通过增加离子热运动速率提升传导率,这一特性为其在电化学器件中的应用提供了理论依据。

2. 离子液体 – 气体溶解平衡公式(Henry 定律)

什么是离子液体?定义、分类、特征公式及 DSC/TGA/MD 分析技术合集
其中:
p:气体在离子液体中的平衡分压(bar);
kH:Henry系数(bar);
x:气体在离子液体中的摩尔分数(无单位)。
物理意义:描述了气体在离子液体中的溶解行为,Henry系数 kH越小,表明气体在该离子液体中的溶解度越高
离子液体对特定气体的溶解选择性由阳离子与阴离子的结构决定,例如含氟阴离子的离子液体对氮气的溶解能力显著优于传统溶剂,这一公式是其在气体分离与催化反应中应用的核心理论基础。
什么是离子液体?定义、分类、特征公式及 DSC/TGA/MD 分析技术合集

三、离子液体的分类体系

什么是离子液体?定义、分类、特征公式及 DSC/TGA/MD 分析技术合集
1. 按阳离子类型分类
咪唑鎓类:最常用的阳离子类型,结构为1,3-二烷基咪唑阳离子(如[Cₙmim]⁺),具有良好的溶解性和电化学稳定性,是第一代和第二代离子液体的核心阳离子。
吡啶鎓类:阳离子为烷基吡啶结构(如[PyCₙ]⁺),具有较高的热稳定性,常用于催化和分离过程。
胍盐类:阳离子含多个氢键供体位点(如[Gdm]⁺),结晶结构规整,熔融焓高,适用于热能存储领域。
什么是离子液体?定义、分类、特征公式及 DSC/TGA/MD 分析技术合集
钙钛矿电池中的阴阳离子结构。https://doi.org/10.1016/j.mtelec.2025.100143
膦鎓类:阳离子为烷基膦结构(如[P₆,₆,₆,₁₄]⁺),化学稳定性优异,常用于电化学和气体溶解场景。
季铵盐类:如胆碱阳离子([Chol]⁺),生物相容性好,可用于制备绿色离子液体及深共熔溶剂。
2. 按阴离子类型分类
卤素类:如Cl⁻、Br⁻,常用于第一代氯铝酸盐离子液体,反应活性高但对水敏感。
氟代类:如[BF₄]⁻、[PF₆]⁻、[TFSI]⁻、[eFAP]⁻,具有低粘度、高电化学稳定性,是目前应用最广泛的阴离子类型。
有机酸类:如[CH₃COO]⁻、[CH₃SO₃]⁻,极性强,溶解性好,部分可生物降解。
氰基类:如[B(CN)₄]⁻,具有独特的电子结构,在氮气还原反应中表现出优异性能。
什么是离子液体?定义、分类、特征公式及 DSC/TGA/MD 分析技术合集
典型ILs阳/阴离子结构拼装与可编程调控维度。10.1016/j.ccr.2025.216461
3. 按世代演进分类
第一代:以氯铝酸盐类为主,空气和水敏感,主要用于密封体系的电池应用。
第二代:空气和水稳定,阴离子为[BF₄]⁻、[PF₆]⁻等,开启了“绿色溶剂”应用时代。
第三代:通过阳离子与阴离子的精准组合实现功能定制,可同时作为溶剂和催化剂。
第四代:离子液体类似物(ILAs),含离子与中性组分,包括深共熔溶剂(DESs)、液体配位复合物(LCCs)等。
什么是离子液体?定义、分类、特征公式及 DSC/TGA/MD 分析技术合集
ILs在材料合成过程中的多种功能总结。10.1016/j.ccr.2025.216461
什么是离子液体?定义、分类、特征公式及 DSC/TGA/MD 分析技术合集

四、离子液体的分析手段

什么是离子液体?定义、分类、特征公式及 DSC/TGA/MD 分析技术合集
测试表征

1. 核磁共振(NMR)光谱

核心作用:研究离子液体的离子 组成、分子动力学及相互作用。
核磁共振(NMR)光谱基于原子核的自旋磁矩,在磁场中吸收特定频率的射频能量产生共振信号,通过化学位移、峰形和耦合常数分析离子的化学环境和运动状态。
下图展示了不同配体与AlCl₃形成的ILAs的²⁷Al NMR图谱,图中显示中性物种(如[AlCl₃L]、[Al₂Cl₆L])的形成,降低了ILAs电解质的离子解离度。通过NMR信号的化学位移变化,可明确离子液体中铝物种的存在形式,为优化铝离子电池电解质的离子传导效率提供依据。
什么是离子液体?定义、分类、特征公式及 DSC/TGA/MD 分析技术合集

2. 差示扫描量热(DSC)

核心作用:测定离子液体的相变温度(熔点、玻璃化转变温度)、熔融焓(ΔHf)等热性能。
差示扫描量热(DSC)通过比较样品与参比物在程序升温/降温过程中的热量差,记录相变过程中的热效应,定量分析相变前后的能量变化。
下图不同离子液体PCM阳离子家族和深共熔溶剂(DES)的熔融焓(J·g⁻¹)与熔点(℃)关系图,顶部图标标注了不同温度范围PCMs的关键应用。通过DSC测试获得了咪唑鎓、胍盐、吡唑鎓等系列离子液体的相变参数,其中胍盐甲磺酸盐的ΔHf达190 J·g⁻¹,为筛选中温热能存储材料提供了关键数据。
什么是离子液体?定义、分类、特征公式及 DSC/TGA/MD 分析技术合集

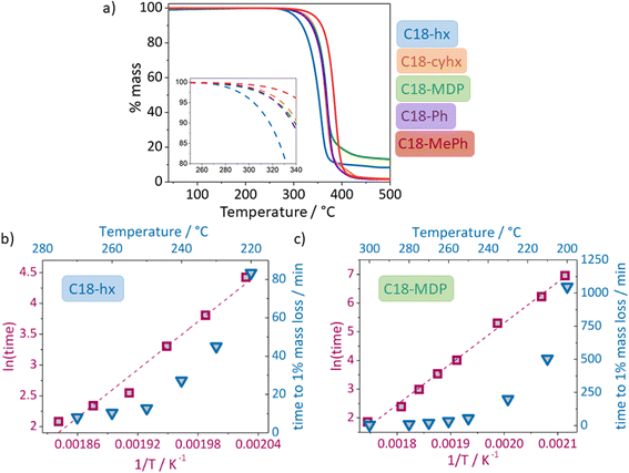
3. 热重分析(TGA)

核心作用:评估离子液体的热稳定性,确定其分解温度和使用寿命。
热重分析的工作原理是在惰性或特定气氛下,对样品进行程序升温,记录样品质量随温度的变化,通过质量损失曲线判断热分解温度和分解机制
下图采用等温TGA法测定离子液体的t₀.₉₉(1%质量损失所需时间),通过该方法发现胍盐类离子液体在200℃下经过400次加热-冷却循环后仍保持结构稳定,质量损失小于1%,证明其适用于长期高温运行的热能存储系统。
什么是离子液体?定义、分类、特征公式及 DSC/TGA/MD 分析技术合集
10.1039/D2SU00111J 
理论计算模拟

1. 密度泛函理论(DFT)

下图展示了eFAP阴离子与N₂的相互作用模式。通过DFT计算明确了氟代阴离子中C-F键是与N₂分子结合的关键位点,为设计高氮气溶解度的离子液体提供了理论指导。
什么是离子液体?定义、分类、特征公式及 DSC/TGA/MD 分析技术合集
下图a展示了清洁Ru催化剂和IL修饰Ru催化剂上NRR(B:Ru-N₂;C:Ru-N₂H)和HER(C:Ru-H;E:Ru-H₂)关键中间体的计算能量分布,通过DFT计算证实IL修饰可降低NRR反应的能垒,提高催化选择性。
什么是离子液体?定义、分类、特征公式及 DSC/TGA/MD 分析技术合集

2. 分子动力学模拟(MD)

下图a)展示了[P₁,₂,₂,i₄][PF₆]在不同固相中的分子运动模式,b)为该材料相结构与离子传输的卡通示意图,展示了离子通过晶格的跳跃运动及通过晶界区域的扩散运动,后者是该材料中离子传输的主要方式
什么是离子液体?定义、分类、特征公式及 DSC/TGA/MD 分析技术合集

3. 机器学习(ML)预测

机器学习方基于大量实验数据构建模型,通过算法学习离子结构与性质之间的映射关系,实现对未知离子液体性能的快速预测
下图展示了NRR电解质筛选的深度学习过程示意图,标注了选择的关键性质及理想条件(基于基准[P₆,₆,₆,₁₄][eFAP]的性质)。通过收集40000个实验数据点,构建神经网络模型,从200万个模拟离子液体结构中筛选出8种性能优于基准体系的离子液体,为高效开发氮气还原反应电解质提供了新途径。
什么是离子液体?定义、分类、特征公式及 DSC/TGA/MD 分析技术合集
 
什么是离子液体?定义、分类、特征公式及 DSC/TGA/MD 分析技术合集

五、离子液体的调控策略

什么是离子液体?定义、分类、特征公式及 DSC/TGA/MD 分析技术合集

1. 阳离子结构调控

通过改变阳离子的烷基链长度、取代基类型及官能团修饰,调节离子间的范德华力、氢键作用及空间位阻,进而调控离子液体的熔点、粘度、溶解性等性质。
什么是离子液体?定义、分类、特征公式及 DSC/TGA/MD 分析技术合集
上图为不同烷基链长咪唑型金属离子液体催化尿素醇解反应的转化率(反应条件:温度 140℃,时间 4 h,催化剂用量 2% mol)。当阳离子烷基链长为 C₈(Omim⁺)时,反应转化率达到 96.4%,显著高于 C₂(Emim⁺,82.1%)和 C₁₆(C₁₆mim⁺,78.3%)。DFT 计算表明,中等链长的阳离子可平衡离子集群的分散性与 Lewis 酸性位点的密度,实现催化性能最优。

2. 阴离子替换调控

阴离子的尺寸、电荷密度、亲疏水性及功能基团直接影响离子液体的电化学稳定性、气体溶解度及催化活性,通过替换阴离子可实现性能的定向调整。
什么是离子液体?定义、分类、特征公式及 DSC/TGA/MD 分析技术合集
上图为[EMIM]+系列离子液体的线性扫描伏安曲线(工作电极:玻璃碳电极,扫描速率:100 mV/s)。阴离子为 TFSI⁻时,电化学窗口达到 5.2 V,远宽于 BF₄⁻和 Cl⁻。这是由于 TFSI⁻的电子云密度分布均匀,氧化还原稳定性更强,更适合作为高性能电池电解液。

3. 混合体系调控

将离子液体与中性分子、金属盐或其他离子液体混合,形成深共熔溶剂(DESs)、液体配位复合物(LCCs)等混合体系,通过组分间的氢键作用、Lewis酸碱作用优化性能。
什么是离子液体?定义、分类、特征公式及 DSC/TGA/MD 分析技术合集
上图为通用二元共熔相图,展示通过添加第二组分降低熔点(Tm)的原理;右侧为用于制备 DES PCMs 的氢键受体(HBAs,如氯化胆碱、十六烷基三甲基溴化铵)和氢键供体(HBDs,如尿素、己二醇、对羟基苯甲酸)的化学结构。

4. 功能化修饰调控

在阳离子或阴离子中引入特定功能基团(如氟代基团、磺酸基、不饱和键),赋予离子液体靶向功能,满足特定应用场景需求。
下图为[P₆,₆,₆,₁₄][eFAP] 在 NRR 中作为质子穿梭的过程示意图,阴极上 Li⁺还原生成 Li⁰,与 N₂反应形成 Li₃N;膦鎓阳离子的 α- 碳质子被 Li₃N 夺取生成 NH₃和叶立德(ylide);叶立德在阳极被 H₂氧化生成的 H⁺重新质子化,再生膦鎓阳离子,实现质子循环。
什么是离子液体?定义、分类、特征公式及 DSC/TGA/MD 分析技术合集

5. 外部条件调控

通过温度、压力、电场等外部条件的变化,调节离子液体的相态、离子动力学及反应活性,适配不同应用场景。
升温可降低离子液体粘度,提高离子扩散系数和传导率,如尿素-AlCl₃ ILAs在120℃下的离子传导率显著提升,满足铝离子电池高温运行需求。
施加压力可增强离子液体与气体的相互作用,提高气体溶解度;在电化学体系中施加电场,可调控离子的迁移方向和速率,优化电解效率。
什么是离子液体?定义、分类、特征公式及 DSC/TGA/MD 分析技术合集
上图为卡诺电池概念图;充电循环中,可再生能源驱动热泵,将热量从冷储层转移至热储层,使 PCM 熔融储能;放电时,PCM 凝固释放热量,热泵反向工作作为有机朗肯循环(ORC)发动机,将热能转化为电能;发动机输出的低品位热量可用于工业加热、热水供应和建筑供暖。

🏅 华算科技提供专业的第一性原理、分子动力学、生物模拟、量子化学、机器学习、有限元仿真等代算服务。

🎯500+博士团队护航,累计助力5️⃣0️⃣0️⃣0️⃣0️⃣➕篇科研成果,计算数据已发表在Nature & Science正刊及大子刊、JACS、Angew、PNAS、AM系列等国际顶刊。 👏👏👏

声明:如需转载请注明出处(华算科技旗下资讯学习网站-学术资讯),并附有原文链接,谢谢!
(1)
上一篇 2025年10月13日 下午2:34
下一篇 2025年6月20日 下午2:42

相关推荐