
说明:本文华算科技主要介绍同步辐射X射线吸收精细结构谱(XAFS)在电催化中的应用,系统介绍了同步辐射光源的优势、XAFS的基本原理与实验方法及典型案例,展示了原位XAFS技术在揭示催化剂电子结构变化、配位环境演化及反应中间体吸附行为中的关键作用。想要学习更多内容,请看以往推文:同步辐射(Synchrotron Radiation,SR)是电子束在加速器或储存环中高速曲线运动时,沿轨道切线方向通过光束线产生的电磁辐射。
与传统光源相比,同步辐射具有高强度(高亮度)、宽连续光谱、强偏振、脉冲时间结构、极佳准直性以及洁净的高真空环境的优势。因此,同步辐射光在前沿科学技术研究中,尤其是原位实时高时空分辨的基础科学实验中,发挥着重要作用。

同步辐射光源(X-ray Absorption Spectroscopy Studies of Electrochemical Processes)
电催化反应通常涉及多相催化剂,固液界面化学过程极其复杂,亟需对表界面高度敏感且具备稳定探测能力的谱学表征技术。
同步辐射X射线吸收精细结构(SRXAFS)正是满足这一需求的关键手段,能够实时跟踪固体催化剂结构以及吸附在催化剂表面的反应中间体。
20 世纪 20 年代初,Friche 与 Hertz 首次发现凝聚态物质中某些原子的吸收边后出现起伏振荡结构,并猜测该结构蕴含物质的普遍规律,这一现象随后被定义为 X 射线吸收精细结构(XAFS)。
进入1970 年代,研究者摒弃传统封闭式 X 射线光管,将 XAFS 与同步辐射光源相结合,使能量分辨率从约 3eV 提升至 10keV,显著缩短了谱图采集时间,推动了 XAFS 技术的快速发展,使其成为解析局部结构的强有力工具。
1971 年,Sayer 等人提出单电子单散射理论,并将傅里叶变换方法引入 EXAFS 分析,建立了 EXAFS 谱与结构数据的定量关系,证实 XAFS 对待测元素的局部精细结构高度敏感,而不受长程有序结构的影响。
实验技术与理论方法的双重突破,使研究者能够通过详细分析 XAFS 谱图,获取目标元素的电子态、配位原子数、配位距离等结构信息。

光电子波的传播与扩散示意图(X-ray Absorption Spectroscopy Studies of Electrochemical Processes)
当同步辐射光经过样品时,会发生多种吸收和散射过程,可通过各种专用的探测器观察这些过程,于是诞生了许多同步辐射实验方法,其中就包括应用广泛的X射线技术。
目前比较典型的基于同步辐射的 X 射线表征手段有:高分辨X射线衍射(HR-XRD),小角X射线散射(SAXS),X 射线磁圆二色性(XMCD),X射线荧光分析(XRF)以及X射线吸收光谱(XAS)等。
其中的X射线吸收精细结构光谱(X-Ray Absorption Fine Structure,XAFS)就是利用高能量同步辐射X射线入射样品前后的吸收信号的变化来获得材料的电子态及局域精细结构等信息。
一个典型的XAFS光谱如下图所示 ,在XAFS光谱中,当入射同步辐射X射线的能量等于目标元素内层电子的电离能时,内层电子就会吸收X射线能量成为自由光电子波,那么在此能量处吸收系数就会产生突跃,吸收系数突跃处对应的位置称为此元素的吸收边。
一般将吸收边前10eV 到吸收边后50 eV的能量范围内的谱图定义为X射线吸收近边结构谱(X-Ray Absorption Near Edge Structure,XANES),而在吸附边后50 eV到1000 eV及以上的能量区域,被称为扩展边 XAFS(Extended X-Ray Absorption Fine Structure,EXAFS)。

典型的同步辐射X射线吸收精细结构光谱图(北京:科学出版社,1994.)
具体来说,XANES位置确定为吸收边前10 eV到吸收边后50 eV是因为位于此能量区间的XANES来源比较复杂,一般认为是目标元素原子的内层电子吸收入射光子后成为低能光电子,由于波粒二象性,该低能光电子与局域配位原子多次散射后与吸收原子出射波发生干涉形成的。
而且低能光电子会跃迁到吸收原子与临近配位原子相互作用形成的外层的未占空轨道,并在谱图相应产生肩峰及吸收主峰。因此可通过 XANES 研究目标元素的电子态和局域配位原子团的几何结构信息,包括价态、对称性和轨道占据情况等等。
EXAFS:具体位置定义为吸收边后50 eV到1000 eV是因为EXAFS谱图被认为来源于目标原子内层电子吸收X射线能量后激发出来的光电子波与局域配位原子作用的单次散射波与出射波之间的干涉。
吸收原子的内层电子在吸收了高能量的 X 射线光子后,克服其束缚能跃迁到自由态,成为一个自由光电子。
由于波粒二象性,光电子在向外运动过程中会被邻近配位原子散射,其中的单次散射波又被直接背散射回到吸收原子,但是因为与出射波有相同的波长,但相位不同,所以会发生干涉。
按照相位关系,合成波会表现出增强和削弱,即光电子末态波函数随能量的变化发生增强或减弱,具体在谱图中表现为吸收边后的起伏振荡结构。于是可将推导出的 EXAFS函数:

中的光电子波矢k做傅里叶变换,可以由波性质的频域空间变换到粒子性质数值R空间,从而可以获得原子周围局域精细结构信息,包括配位数和配位距离等。
根据上述原理可知,XAFS测试思路都是依据测量样品的吸收系数随着X射线光子能量增大的变化关系。
那么直接的测量方法就是测量X射线通过样品前后的强度进而算出吸收系数,间接的测量方法就是测量相应原子吸收X射线产生的空穴衍生的X射线荧光和俄歇电子或二次电子,实际情况下会根据样品的形态、含量以及测试条件主要从这三种测试方法中选择,具体说明如下:
透射法测试原理如下图所示,直接测量入射X射线和透过样品后X射线的强度,然后通过吸收系数和产生的空穴之间的正比关系计算出样品对入射X射线的吸收。
实际测量方式是利用前后电离室分别测量通过厚度为d的样品前后X射线强度I0和It,再由以下公式可计算得到样品吸收系数μ(E):

透射法通常用于硬X射线吸收光谱的测量,需求样品中待测元素质量百分比含量大于5%,所以并不适合含量低的原子级分散电催化剂测量。而且因为压片样品内部空间和厚度变化等因素,透射法也并不适合能量低于1000 eV的X射线吸收光谱的测量。
同时因为大多数电催化反应涉及溶液相而透射法会因为过厚的水溶液对 X 射线产生吸收,这对利用XAFS获取原位实时电化学信息来说是十分不易的,因此,常用荧光产额法对样品含量较低的电催化多相催化反应进行探测。
荧光产额法,又称总荧光产额法(Total Fluorescence Yield,TFY),其原理是目标原子内层电子吸收高能量X射线跃迁成为自由态光电子,从而在原能级产生相应空穴,空穴的产生会导致荧光X射线的出现,其强度也与吸收系数成正比。
因此对荧光X射线的测量也能够正确地反映出样品对入射X射线的吸收情况。

XAFS测试原理图(Chemical Reviews, 2020,121(2):882-961.)
荧光产额法的实验路线如上图所示。荧光产额法利用荧光探测器收集到的样品发出的荧光信号If,除以前电离信号I0来获得吸收系数,如下式所示:

为了保证荧光探测器有最大的接收角,同时散射光强度最小,样品与入射的X射线成45°角,荧光探测器与样品也成45°角,并且垂直于入射的X射线方向。荧光产额法探测深度较深(一般大于100 nm) ,具有明显优势。
此外,荧光产额法适合测量待测元素含量较低的样品,同时荧光产额法可以排除任何其它表面效应带来的干扰。
样品元素的电子被激发后会发射多种二次电子,其中俄歇电子数量远超其他电子,所以也可以获得精确的 XAFS 信号。
这些二次电子会产生弱电流,直接在 X 射线反射方向利用弱电流计来测量弱电流,电流值与吸收系数成正比,因此可以通过解析终端放大电流值来获取 XAFS 信息。
唐青教授等人利用原位XAFS技术研究了P元素掺杂Fe单原子第一配位结构的Fe1/PNG 电催化剂在电催化CO2还原过程中的实时电子转移,他们发现无掺杂的Fe单原子(Fe1-NG,下图a)随着阴极偏压的施加,其吸收边表现出明显的低能量方向偏移,而Fe1/PNG氧化态的变化(下图b)小于Fe1-NG,间接证明可以通过改变单原子活性中心的第一壳层配位元素优化单原子活性中心的电子结构以优化反应物/中间体的吸附。

Fe1/NG 和Fe1/PNG 电催化剂的原位 XANES 谱(Journal ofthe American Chemical Society,2021, 143(30):11317-11324.)
同样是Fe单原子,吉林大学的崔小强教授课题组构建了一种具有动态演变结构的S元素掺杂不对称配位Fe单原子催化剂(Fe-S1N3),利用该催化剂的自弛豫行为独立调节了不同中间体的吸附能,显著提高了CO2RR的本征活性。
通过XAFS测试发现由于S原子的几何半径较大,导致Fe-S1N3位点中第一配位的S原子凸出平面,形成了较大的几何畸变(下图e) 。
在电催化CO2RR过程中,Fe-S1N3位点对不同吸附中间体(例如:*COOH和*CO)表现出不同程度的自弛豫行为。这种自适应性的动态结构演变相对独立的调节了活性位点与中间体之间的电荷转移,从而打破了不同中间体吸附能的线性关系。

Fe-N4、Fe-S1N3和 Fe-B1N3的原位 Fe K-edge XAFS 谱图。
(AngewandteChemie International Edition, 2023,136(6):e202318246.)
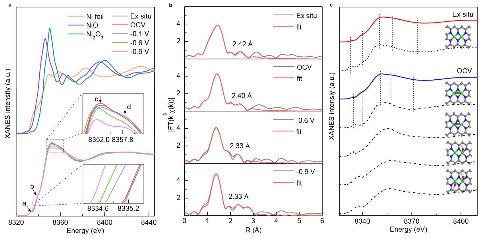
中国科学技术大学姚涛老师课题组等成功精准设计合成了负载在金属有机框架(MOF)ZIF-8 上的同质Ni2N6双原子位点催化剂。
通过原位同步辐射吸收谱和理论计算结果,揭示了上述双原子位点催化剂在电化学CO2还原反应条件下活性位点的动态结构演变过程。EXAFS拟合结果表明,近邻的Ni双原子间的相互作用在还原电位下逐渐增强。
并且研究人员进一步对几种可能的模型进行XANES模拟,通过对比不同结构的计算谱与实验谱(下图c) ,明确双原子位点同时吸附的O-Ni2-N6构型是最合理的结构。

实况下的XAFS表征及XANES理论计算。
(J. Am. Chem. Soc. 2021,143,11317-11324)
【高端测试 找华算】
华算科技是专业的科研解决方案服务商,精于高端测试。拥有10余年球差电镜拍摄经验与同步辐射三代光源全球机时,500+博士/博士后团队护航,保质保量!
🏅已助力5️⃣0️⃣0️⃣0️⃣0️⃣➕篇科研成果在Nature&Science正刊及子刊、Angew、AFM、JACS等顶级期刊发表!
👉立即预约,抢占发表先机!








