基本原理
一张拉曼光谱图以拉曼位移(cm⁻¹)为横坐标,以强度为纵坐标。光谱中的每一个峰都对应着分子中某种特定的化学键或官能团的振动。
指纹性识别:不同的分子有其独特的振动模式,因此会产生独一无二的拉曼光谱,就像人的指纹一样。通过与标准谱图库比对,可以确定未知物质的成分。
分子结构信息:
峰位:对应特定的化学键(如C-C,C=C,C≡C,C-H,O-H等)。例如,C=C双键的伸缩振动通常在1600cm⁻¹附近有一个强峰。
峰强:与振动模式的极化率变化有关。
峰宽:可以反映样品的结晶度、应力或无序程度。结晶度高的样品,峰通常更尖锐。

拉曼光谱分析流程
1.样品准备:决定分析成败的基础
固体样品:
块状片状:直接放置于样品台,确保表面平整、清洁(避免灰尘、指纹,可用乙醇擦拭);
粉末:若颗粒粗大,需研磨至微米级(避免光散射干扰),可压片或装入毛细管(防止粉末飞扬);
薄膜涂层:需固定在载玻片上,确保厚度均匀,避免基底(如玻璃)的拉曼信号干扰(玻璃在~500、1000cm⁻¹有强峰)。
液体样品:
装入石英比色皿(石英无拉曼活性,避免玻璃塑料的背景峰),液层厚度适中(通常1-2mm,过厚可能导致信号饱和);
气体样品:
需使用气体池(两端为石英窗),通入气体后密封,通过提高气体压力(如1-10atm)增强拉曼信号(气体分子密度低,信号弱)。
特殊样品:
生物样品(如细胞、组织):需固定(如4%多聚甲醛)或冷冻,避免水分蒸发;可结合共聚焦拉曼显微镜实现单细胞亚细胞水平分析;
强荧光样品(如有机物、染料):荧光会掩盖拉曼信号,需选择更长波长激光(或进行荧光淬灭处理(如添加硝酸银、低温冷冻)。

2.光谱采集:参数设置影响信号质量
根据样品特性选择合适的拉曼光谱仪并优化关键参数:激光波长、激光功率:
积分时间与扫描次数:、分辨率、扫描范围:
3.数据预处理:消除干扰,提取有效信号
背景扣除:
目的:去除荧光、基底(如玻璃、溶剂)的拉曼峰;
方法:
手动扣除:直接在软件中绘制基线,覆盖背景区域;
自动扣除:采用多项式拟合(如5-7次多项式)、迭代平滑算法(如ALS算法)或小波变换,适合复杂背景。
基线校正:
目的:消除因样品厚度不均、仪器漂移导致的基线倾斜;
方法:与背景扣除类似,通过拟合基线将其拉平至零或统一水平。
峰高归一化:将最强峰的强度设为1,其他峰按比例缩放;
峰面积归一化:将整个光谱的积分面积设为1,适合定量分析;
内标归一化:加入已知浓度的内标物(如硫氰酸钾KSCN,拉曼峰~2115cm⁻¹),以其峰强度为基准校正样品峰强度。
4.定性分析:通过“指纹峰”识别物质
步骤1:识别特征峰从预处理后的光谱中提取强且独特的拉曼峰(特征峰),记录其拉曼位移(cm⁻¹)和相对强度。例如:
步骤2:谱库匹配将样品光谱导入拉曼谱库,通过软件计算“相似度”(如余弦相似度、相关系数),相似度≥90%通常认为是同一物质。
步骤3:结构推断若未匹配到标准谱库,可根据特征峰对应的官能团推断结构:
若在1650cm⁻¹附近有峰,可能含C=C键(烯烃、芳香族);
若在2200cm⁻¹附近有峰,可能含C≡N键(腈类);
若在1030cm⁻¹附近有强峰,可能含C-O-C键(醚、多糖)。
5.定量分析:基于峰强度与浓度的线性关系
当物质浓度与拉曼峰强度呈线性关系时,可通过定量分析确定样品中某成分的含量,核心是“峰强度面积=k×浓度”(k为比例常数):
步骤1:建立标准曲线配制一系列已知浓度的标准样品,采集其拉曼光谱,以“浓度”为横坐标,“特征峰的峰高峰面积”为纵坐标,绘制标准曲线,计算线性回归方程(y=kx+b)。
步骤2:测定未知样品采集未知样品的拉曼光谱,测量其特征峰的峰高峰面积,代入标准曲线方程,计算未知样品的浓度。
案例分析

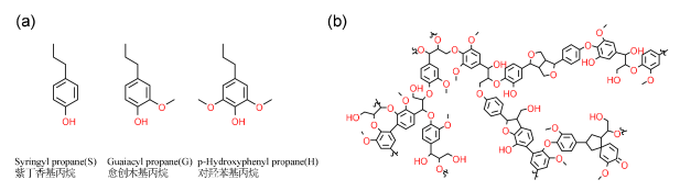
图1(a)木质素基本结构单元;(b)木质素结构式
木质素分子结构单元紫丁香基丙烷、愈创木基丙烷以及对羟苯基丙烷之间主要通过醚键和碳碳键相连,并含有丰富的官能团(图1),如甲氧基、羟基、羧基、羰基和共轭双键等,利用这些官能团的高活性经过化学改性可以实现其在吸附金属离子、有机污染物等领域中的应用
样品制备
将质量比1:1、1:2、1:3的木质素与聚丙烯腈在DMF中80℃水浴溶解5小时,配制木质素/PAN的10%DMF混合溶液。将溶液倒入玻璃培养皿中室温通风自然挥发成膜,并在真空干燥箱中60℃干燥至恒重。将干燥膜在100℃下进行热压,自然冷却至室温得到木质素/PAN复合膜(PL)。木质素与PAN质量比为1:1、1:2、1:3的复合膜分别命名为:PL1、PL2和PL3。

图2在P=8%,R=25mm/s条件下碳化的PL1、PL2和PL3碳层的(a)XRD谱图和(b)拉曼光谱
由图2(a)可知,在P=8%,R=25mm/s碳化条件下,PL1、PL2和PL3碳层均表现出明显的(002)峰和(100)峰,表明该条件下碳化的三种碳层均表现出较高的石墨化程度。随着PAN含量的增加,002峰的半高宽FWHM明显逐渐变窄,表明石墨化程度逐渐提高,晶体结构更加有序。从材料本身组成来看,PAN分子排列和连接方式较为规则,碳结构相对更加有序,而木质素是无定形的三维网状结构,分子排列和连接较为复杂,碳结构有序性较差,有序的碳结构在高能量密度下能够更容易重新排列成石墨晶体结构。由图2(b)可知,随着PAN含量增加,PL1、PL2和PL3碳层的ID/IG比值分别为0.93,0.83和0.75,依次降低,2D峰越来越明显,意味着石墨化程度逐渐提高,无序碳结构依次减少。
本文源自微信公众号:科研测试站
原文标题:《拉曼光谱分析流程及案例分析教学》
原文链接:https://mp.weixin.qq.com/s/oMWc2LTIERHLC81JMvuQEA
本转载仅出于分享优质测试干货,旨在传递更多观点,并不代表赞同其全部观点或证实其内容的真实性。文章中所包含的图片、音频、视频等素材的版权均归原作者所有。如有侵权请告知删除。

