说明:这篇文章华算科技详细探讨了电催化中金属–载体相互作用(MSI)的定义、对催化剂活性的影响以及在多种电催化反应中的应用实例,还展望了其未来发展方向。阅读本文,读者可以深入了解MSI在电子效应、几何效应和反应物吸附活化等方面的作用机制,掌握其在催化反应中的实际应用。
从定义而言,MSI 指负载型催化剂中金属活性组分与载体间的各类相互作用,其本质涉及多层面:
一是原子、分子尺度上的电子相互作用,如电子转移、轨道杂化。例如金属颗粒负载于氧化物载体时,电子的迁移与重新分布会改变两者电子结构,影响对反应物分子的吸附和活化能力;
二是几何结构的相互适配,载体的表面结构、晶相组成等会影响金属颗粒的尺寸、形貌及分散状态。比如特定晶面结构的载体可促使金属颗粒以特定取向和尺寸生长,形成的独特界面结构对催化活性和选择性起决定性作用。

图1:MSI的研究领域示意图。DOI:10.1039/d2ta10036c
金属–载体相互作用对催化活性的影响主要体现在以下几个方面:
电子效应
是指金属与载体相互作用时,金属的电子结构发生改变。例如,载体上的电子可以转移给金属,反之亦然,这种电子转移会改变金属的电荷状态,进而影响其对反应物的吸附能力和反应活性。
图2通过X射线光电子能谱(XPS)研究Ni-WS2的化学组成和价态发现:在W 4f光谱中,Ni-WS2的W4+离子结合能(32.9 eV和35.1 eV)比原始WS2(32.6 eV和34.8 eV)高出0.3 eV,表明Ni金属和WS2载体之间的金属–载体相互作用(MSI)效应使电子从W转移到Ni。
而Ni2+的特征峰出现在854.9 eV(2p3/2)和871.7 eV(2p1/2)处,且出现了861.7 eV和879.1 eV的卫星峰,其结合能相对于文献值负移0.5 eV,进一步印证了MSI诱导的电荷重新分布导致电子从W转移到Ni。
此外,与WS2(162.6 eV和163.8 eV)相比,S2-的S 2p光谱显示微小的位移(162.5 eV和163.7 eV)。

图2:Ni-WS2的X射线能谱分析。DOI:10.1021/jacs.5c06333。
几何效应
金属–载体相互作用还会影响金属颗粒的几何结构。金属颗粒的大小、形状和分散度都会对催化活性产生影响。
如图3较小的金属颗粒具有更高的比表面积,能够提供更多的活性位点,从而提高催化活性。同时,金属颗粒的形状也会影响其对反应物的吸附方式和反应路径。通过调节金属–载体相互作用,可以控制金属颗粒的几何结构,展现出较大的比表面积活性,从而展现出优异的催化活性。

图3:不同催化剂的ECSA和归一化电流密度。DOI:10.1021/jacs.5c06333
反应物吸附与活化
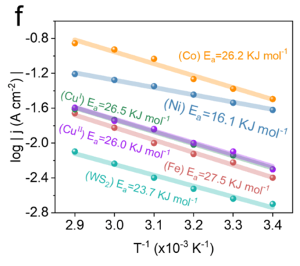
金属–载体相互作用可以改变反应物在催化剂表面的吸附和活化方式。例如,载体可以作为反应物的预吸附位点,将反应物吸附到表面,然后通过金属–载体相互作用将其传递到金属活性位点上进行活化。这种协同作用可以降低反应的活化能,从而提高催化活性。
如图4所示,Ni-WS2的拟合Ea值为16.1 kJ mol−1,低于其他催化剂的Ea值,与理论值一致,表明MSI可以有效优化活性位点以提高催化性能。

图4:不同样品的阿伦尼乌斯图。DOI:10.1021/jacs.5c06333。
如图5,DFT计算表明,基于MSI策略设计的Ru-NCO/rGO异质结载体通过电荷重新分布优化了电子结构(从Ru到NCO/rGO为0.29 e),d波段中心向上移动这些协同效应增强了MSI,将RDS能垒降低了0.39 eV。
优化后的Ru-NCO/rGO催化剂表现出优异的OER活性(10 mA cm–2时的过电位为219 mV)和稳定性(在AEMWE中,在500 mA cm–2下的200 h稳定性)。并且RuNCO/rGO的AEMWE电池分别在1.0和2.0 A cm-2的工业相关电流密度和1.89和2.1 V的低电压下工作,优于大部分报道的催化剂。

图5:Ru-NCO/rGO催化剂的性能及DFT计算结果。DOI:10.1002/aenm.202501952
CO2RR
如图6为CO2RR的机理图,当没有Pt颗粒负载的C3N4基底在进行CO2RR生成对环境有害的CO产物,当负载Pt与C3N4相互作用后,CO2还原成具有更高附加值的产物CH4。
具体表现为通过结合光沉积和煅烧过程,成功地合成了具有可控界面的Pt/CN复合材料,Pt/CN催化剂上Pt2+与N原子之间的独特相互作用对抑制Pt2+的副产氢反应具有很好的优势提高反应温度可以促进电子向反应物分子的转移,从而参与CH4的生成。
此外,研究还表明,反应温度的提高可以改善光诱导电子分离,增加转移到吸附CO2上的电子数,这为Pt/CN在热耦合发光中的优异性能给出了合理的解释。

图6:引入Pt-C3N4的CO2RR机理图。DOI:10.1016/j.apcatb.2021.120565
NO3–RR
如图7通过两步液相合成开发了一种利用Ni金属和WS2载体之间MSI的高性能NO3–RR催化剂。
优化的Ni-WS2催化剂在–0.3 VRHE下实现了91.7%的卓越产氨法拉第效率,并在MEA装置中在–400 mA cm−2下表现出超过100 h的出色稳定性,电化学测试和原位表征证实,MSI效应促进活性H形成,加速随后的氢化反应,并显著改善了NO3–RR动力学。
DFT计算进一步揭示MSI效应降低了关键*NH2 →*NH3步骤的能垒,优化了中间吸附强度并抑制了HER。此外,Ni-WS2材料在Zn-NO3–电池具有优异的能量密度和循环耐久性,为电化学NH3合成和可持续储能技术提供了全面的见解。

图7:Ni-WS2的反应机理图、电化学性能、DFT计算图。DOI:10.1021/jacs.5c06333
如图8所示,研究者在14种半导体载体上合成了34种Pd单原子催化剂(Pd1 SACs),并通过调控载体尺寸来调节电子能带结构。
利用原子层沉积(ALD)技术,在球形SiO2基底上生长了尺寸可变的半导体氧化物颗粒(MOx,如ZnO、CoOₓ等),其中y代表平均尺寸。UV–Vis和莫特–肖特基曲线测量表明,n型块体ZnO的LUMO位置为-0.35 V(NHE),带隙为3.29 eV。
当ZnO尺寸从块体(约46 nm)减小至约1.9 nm时,LUMO位置显著上移至-1.12 V(NHE),带隙拓宽至5.82 eV。其他MOx颗粒也表现出类似现象,尤其是p型CoOₓ样品,其LUMO上移幅度最大。
随后,通过Pd ALD将Pd单原子选择性沉积在MOx颗粒上,制备了Pd1/MOx SACs。选择性沉积通过ICP–AES得到证实,且在块体氧化物载体上也沉积了Pd单原子作为对照。
所有Pd1/MOx 催化剂中Pd的负载量接近0.1 wt%。AC–HAADF–STEM图像(证实了Pd的原子级分散,而DRIFTS显示的单一吸收峰进一步验证了这一点。随着氧化物载体尺寸的减小,CO峰发生蓝移,Pd单原子的电子缺失程度显著增加。
in situ XPS显示Pd 3d峰结合能向高能方向移动,证实了Pd电子缺失的增加。此外,UV–Vis测量还揭示了Pd沉积对纳米ZnO能带结构的改变更为显著,表明Pd单原子与纳米氧化物颗粒之间的轨道杂化作用极大增强。

图8:Pd1/MOx单原子催化剂中电子型金属–载体相互作用(EMSI)随载体粒径的变化。DOI:10.1038/s41586-025-08747-z
随着对电催化反应机制的深入研究,人们发现通过调控金属与载体之间的相互作用,可以显著优化催化剂的性能。借助先进的表征技术,如原位XPS和原位TEM,有望在原子尺度上实时观察金属与载体之间的电子转移和结构变化,深入理解MSI对催化活性、选择性和调控机制。通过理论计算与机器学习,研究人员可以设计出具有特定电子结构和表面性质的金属–载体复合的高效催化剂。
【高端测试 找华算】
华算科技是专业的科研解决方案服务商,精于高端测试。拥有10余年球差电镜拍摄经验与同步辐射三代光源全球机时,500+博士/博士后团队护航,保质保量!
🏅已助力5️⃣0️⃣0️⃣0️⃣0️⃣➕篇科研成果在Nature&Science正刊及子刊、Angew、AFM、JACS等顶级期刊发表!
👉立即预约,抢占发表先机!

