说明:本文华算科技系统介绍了共沉淀法的基本原理、机制结构及其在材料合成中的应用。读者可从中了解共沉淀法的化学本质、控制因素及其在多尺度材料构建中的关键作用,掌握如何通过调控反应条件实现组分均匀分布与结构可控合成,为材料设计与功能开发提供实用方法指导。
什么是共沉淀法
共沉淀法(co-precipitation method)是材料化学与无机合成领域中一种高效而广泛应用的制备技术,核心在于通过在溶液体系中调控化学反应条件,诱导多种组分同时或按特定顺序沉淀,从而实现多种离子共析至同一固相载体或晶体骨架中。
该方法以其操作简便、可控性高、条件温和等特点,在纳米材料合成、功能化复合物制备以及无机前驱体构建等多个领域展现出显著的理论与工程价值。
与一般沉淀过程不同,共沉淀过程不仅包含目标组分的转化行为,还涉及伴随离子的协同迁移、物种间的相互作用、沉淀过程的动力学耦合以及固相中结构组元的空间分布重构。
因此,从物理化学本质来看,共沉淀法不仅是离子–分子界面行为的外显过程,更是多物质相互耦合的传质–反应综合机制。

图1. 共沉淀法合成催化剂示意图。DOI: 10.27426/d.cnki.gxtdu.2024.001695
基本原理
在广义化学视角中,共沉淀是指两种或多种溶质组分在特定化学条件下,通过溶液中发生的络合、水解、氧化还原等过程,最终共同析出形成一个均匀沉淀相的反应行为。其区别于简单沉淀反应之处在于,多种离子物种之间存在显著的化学、扩散与结构耦合。
共沉淀根据反应机制可初步划分为以下类型:等摩尔共沉淀、嵌杂共沉淀、包埋式共沉淀、离子取代共沉淀等。这些类型虽在微观机理上各有差异,但其核心均围绕如何实现多组分间的协同沉积过程,并最终形成结构或成分一体化的固相体系。

图2. 使用共沉淀法在Co-HCF中原位取代Fe,以制备用于AKIBs的K1.66Fe0.25Co0.75[Fe(CN)6]·0.83H2O(KFCHCF)样品。DOI: 10.1002/smll.202305866
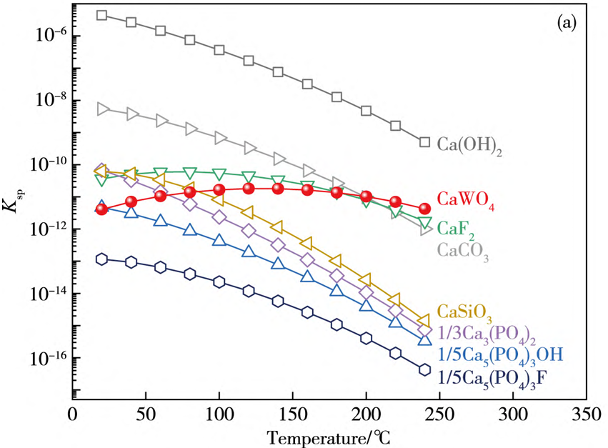
共沉淀反应的发生依赖于体系的溶解度积(Ksp)控制与离子产品(Q)的调节。当体系中多种阳离子或阴离子达到或超过其对应沉淀物的Ksp时,即有可能发生沉淀行为。但在共沉淀体系中,多个Ksp同时作用,且存在络合、pH调节、电荷中和等多重影响因素。
其平衡模型通常涉及多个溶解度积方程、络合稳定常数及水解平衡关系,需结合质量守恒、离子强度效应、化学势平衡等理论进行综合分析与计算。具体而言,若某一组分通过调控条件优先沉淀,其它组分即可能通过物理嵌杂、表面吸附或结构包埋等方式协同析出,共同构建复合沉淀相。

图3. 不同钙盐的溶度积常数(Ksp)。DOI: CNKI:SUN:METE.0.2024-11-007.
机制结构
反应动力学与成核过程
共沉淀法的形成过程主要可分为三个阶段:过饱和度生成、成核过程、粒子成长。
其中,成核行为决定了多组分是否能均匀地进入沉淀结构,以及后续固相的均一性与稳定性。当溶液过饱和度达到临界值后,多种离子通过碰撞形成初始的原子或离子簇(初级核),进而演变为具有晶体-+构的有序晶核。
在此过程中,多组分离子的扩散速率、局部浓度分布以及反应界面性质共同影响着沉淀相的生成速率与组成比例。
共沉淀体系的成核过程常表现出非理想特性,可能涉及异相诱导成核、组分在界面上的选择性吸附以及因动力学差异导致的组分非同步沉淀等现象,需通过微观动力学模型加以解析。

图4.一锅共沉淀法合成过程,当第二种金属(M)的成核速率远快于钒(V)时,会先形成M-PBA核,然后V-PBA在其表面生长,最终形成“PBAs-on-PBAs”的核壳异质结构。DOI: 10.1002/anie.202425391
固相结构与相分布耦合
在共沉淀过程中,不同离子之间的晶体化学兼容性显著影响最终产物的相态稳定性与空间结构特征。
当组分间晶格常数、配位方式或离子半径相容性良好时,可实现固溶体或类晶体结构的稳定嵌入。而若存在较大差异,则易产生多相并存、分相沉积或表面偏析等现象,降低固相均一性。
此外,固相结构还受到初始反应物浓度比、pH缓冲区间、搅拌状态及反应温度等多因子协同调控。由此可见,共沉淀法的本质不仅是一个化学反应路径,更是一个化学–物理–结构多域耦合的传质–成核–生长系统。

图5. 一步草酸盐共沉淀法(b)利用Ni、Zr元素性质差异,有效抑制了传统方法(a)中ZrO2的提前偏析与团聚。DOI: 10.1002/anie.202511453
方法演化
从均相沉淀到界面辅助体系
随着材料合成方法的多样化,共沉淀法亦从传统均相体系逐步向界面辅助、模板辅助与原位反应等多种复合路径发展。
均相体系中,前驱体的缓释机制被用以实现成核的时间调控,而界面辅助路径则通过固/液或气/液界面的选择性吸附行为增强成核精度与空间分布控制。
此外,引入配体调控、结构导向剂、溶剂极性调变等策略,可在分子水平控制离子之间的作用方式,进一步提高多组分协同沉淀的选择性与晶体方向性。这些演化机制共同推动共沉淀法由单一合成技术转变为可编程、可调控的材料构建平台。

图6. MIL-100(Fe)模板诱导的共沉淀转化与LDH气凝胶珠制备流程。DOI: 10.1016/j.cej.2025.161229
多尺度集成与非平衡路径构建
在纳米科技与能源材料发展需求的推动下,共沉淀法在多尺度结构构建与非平衡合成路径中扮演了关键角色。
一方面,原子级掺杂、界面调控以及晶面选择性暴露等精细结构调控技术需依赖高精度的共沉淀机制实现;另一方面,共沉淀可与热解、退火、还原等二次转化路径耦合,形成从液相反应到固相演化的集成过程。
尤其在多组分氧化物、金属间化合物、异质复合体等体系中,共沉淀不仅是前驱体获取手段,更是构建微观组元空间序列的关键步骤。通过调节反应体系的非平衡性,甚至可引发非晶态沉淀、亚稳态中间相等结构异常过程,为材料功能性能提供新可能。

图7. 共沉淀–高温热解工艺制备Cu1/ZnO单原子合金氧化物催化剂。DOI: 10.1021/jacs.5c01863
【高端测试 找华算】
华算科技是专业的科研解决方案服务商,精于高端测试。拥有10余年球差电镜拍摄经验与同步辐射三代光源全球机时,500+博士/博士后团队护航,保质保量!
🏅已助力5️⃣0️⃣0️⃣0️⃣0️⃣➕篇科研成果在Nature&Science正刊及子刊、Angew、AFM、JACS等顶级期刊发表!
👉立即预约,抢占发表先机!

