【MS论文解读】Appl. Surf. Sci.:碱金属和碱土金属(Rb、Cs、Ba)对石墨烯吸附和迁移的第一性原理研究

【MS论文解读】Appl. Surf. Sci.:碱金属和碱土金属(Rb、Cs、Ba)对石墨烯吸附和迁移的第一性原理研究

研究背景

石墨烯凭借良好的导电率及化学活性,作为电极材料方面有着极大的优势。碱金属的吸附对改善石墨烯的电学性能和结构起着关键作用。
中国科学技术大学、中国科学院合肥物质科学研究院郁杰姜志忠等人在原子尺度上系统地研究了Rb、Cs和Ba在原始石墨烯和缺陷石墨烯(B、O缺陷)表面上的吸附和迁移行为,这对理解TECs的电子发射和输运机制具有重要意义。
模型与计算方法 
采用Materials studio软件包的DMol3模块对其电催化析氢性能及电子性质进行理论研究,计算基于广义梯度近似(GGA)下的PBE泛函计算电子交换相关性,采用Grimme(DFT-D2)色散校正方法描述范德瓦尔斯相互作用,通过偶极子校正方法进行自洽优化。并通过LST/QST工具进行迁移能垒的计算。

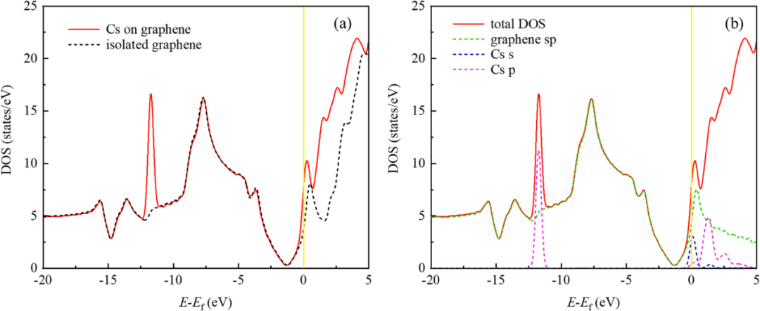
结构与讨论

根据图1显示的吸附位置及不同碱(土)金属的吸附能得知Ba原子在表面吸附最稳定。结合图S2-S3,Rb、Cs和Ba的吸附导致石墨烯形成n型掺杂,此时吸附系统的费米能级(Ef)进入导带,导致石墨烯由原始半金属性转化为金属性。
Cs的6s轨道与C的2p轨道的相互作用导致Ef附近的峰值增加,而没有数据表明Cs和C之间存在明显的轨道杂化,Cs在石墨烯表面的吸附呈现离子键连接。这在Rb和Ba吸附在石墨烯表面的结构同样如此。
金属吸附后,石墨烯的功函数(表S1)显著降低,这意味着Cs和C之间的偶极子结构促进了电子发射,其功函数降低到1.767 eV,这与Cs的壳层电子向石墨烯表面转移有关。由偶极子产生的电场方向垂直于石墨烯,并指向石墨烯表面,这有助于电子克服表面势垒,并被发射到真空中。
【MS论文解读】Appl. Surf. Sci.:碱金属和碱土金属(Rb、Cs、Ba)对石墨烯吸附和迁移的第一性原理研究
图1. 金属在石墨烯表面的吸附位点就吸附能
【MS论文解读】Appl. Surf. Sci.:碱金属和碱土金属(Rb、Cs、Ba)对石墨烯吸附和迁移的第一性原理研究
图2. 总态密度及Cs负载时态密度的变化  
在石墨烯表面模拟原子扩散能力。选定H位置作为反应起始位置,设计三种反应扩散路径,结果见图3。可以发现,Cs在所有迁移路径中都表现出最低的迁移屏障。
在临近空位迁移克服的能垒较小,并且Rb和Cs在原始石墨烯表面可以保持稳定的迁移性能,而Ba的迁移受到的阻碍更大。
【MS论文解读】Appl. Surf. Sci.:碱金属和碱土金属(Rb、Cs、Ba)对石墨烯吸附和迁移的第一性原理研究
图3. 金属原子在石墨烯表面的扩散能力
【MS论文解读】Appl. Surf. Sci.:碱金属和碱土金属(Rb、Cs、Ba)对石墨烯吸附和迁移的第一性原理研究
图4. 六种石墨烯缺陷结构
电子设备中的石墨烯受到高剂量的中子和质子辐照,会产生大量的缺陷,从而对石墨烯产生不可忽视的影响。作者进一步探究缺陷石墨烯(图 4)表面碱(土)金属的扩散能力。
缺陷石墨烯的PDOS分布如图S4所示。具有SW缺陷的石墨烯在费米能级的DOS分布中出现了一个新的峰,这是由五角形和七角形碳环贡献的。
SV缺陷的石墨烯在费米能级上的尖锐峰来自于碳悬空键的贡献,与原始石墨烯相比,石墨烯的带隙明显增大。具有BC缺陷石墨烯的DOS显示导带向高能方向移动,Ef向下移动,产生p型掺杂。
然而,对于具有2OC、BCOC和BC2OC缺陷的石墨烯,DOS分布表现为n型掺杂。表明缺陷的存在导致费米能级附近的DOS分布发生了较大的变化,从而改变了石墨烯的电子结构,提高电导率。
计算的形成能与原子吸附能同样体现出缺陷态结合程度更为优异。随后在不同缺陷结构上探索原子的迁移能垒。研究表明,纯C缺陷结构时,金属迁移能垒较大,此时较大的体系形成能阻碍了金属的扩散。
在引入O和B原子来平衡体系电场后,金属迁移效果显著,其中BCOC缺陷石墨烯结构效果最佳(图5),此时B和O之间的相互作用相互阻碍金属迁移,位于BCOC缺陷中心的吸附原子几乎以任意迁移到邻近的六边形空心位置,特别是Rb和Ba在B顶部的扩散不需要克服迁移障碍。
【MS论文解读】Appl. Surf. Sci.:碱金属和碱土金属(Rb、Cs、Ba)对石墨烯吸附和迁移的第一性原理研究
图5. BCOC缺陷石墨烯表明金属迁移能垒
根据图6,缺陷的产生导致金属的吸附能显著增加,更多的吸附原子聚集在缺陷部位附近,并且O浓度提高可以有效降低体系功函数。
迁移势垒的不断增加阻碍了金属的扩散,并降低金属与石墨烯之间电偶极子形成的可能性。同时体系内聚能的增加也导致金属的扩散受到抑制。
【MS论文解读】Appl. Surf. Sci.:碱金属和碱土金属(Rb、Cs、Ba)对石墨烯吸附和迁移的第一性原理研究
图6. 原始和缺陷石墨烯上吸附金属后的功函数及缺陷调节功函数的机理描述

结论展望

这篇探讨了石墨烯及缺陷石墨烯上碱(土)金属的表面吸附剂扩散行为。发现普遍存在的含O缺陷不利于电子发射的进行,此时B的引入会平衡表面电子环境,提升金属扩散能力。因此试验中消除O空位影响乃至缺陷的影响十分必要。

文献信息

Zhao, M., Li, X., Fang, S., Jiang, Z., & Yu, J. (2022). First-principles study of adsorption and migration of alkali and alkaline earth metals (Rb, Cs, and Ba) on graphene. Applied Surface Science, 155505.
https://doi.org/10.1016/j.apsusc.2022.155505

声明:如需转载请注明出处(华算科技旗下资讯学习网站-学术资讯),并附有原文链接,谢谢!
(0)
上一篇 2023年12月19日 上午9:02
下一篇 2023年12月20日 上午11:05

相关推荐