化学世界的丰富多彩源于分子内部微观电子结构的复杂性与规律性。在分子中,电子的排列与相互作用决定了物质的几乎所有性质,而其中σ键、π键和孤对电子是三种最为关键的电子组分。这些概念不仅是理解化学键本质的基础,也是解释分子反应性、光谱性质和生物活性的关键。
σ键被定义为两个原子之间通过原子轨道“头碰头“重叠形成的共价键,其电子云分布具有轴对称性,即沿键轴旋转任意角度,电子云形状不变。这种重叠方式使得电子云集中在两原子核之间,产生了强烈的结合力。

DOI: 10.1039/d3ta00436h
σ键是构成分子骨架的基础,可以在s-s、s-p或p-p轨道之间形成。由于直接的头对头重叠,σ键通常比其它类型的键更强,需要更多的能量才能断裂。
与σ键不同,π键是通过两个平行的p轨道“肩并肩“重叠形成的共价键,其电子云分布位于键轴的上方和下方,具有镜面对称性。这种重叠程度通常低于σ键,因此π键一般较弱且更易极化。π键不能单独存在,总是伴随着σ键出现,共同构成双键或三键。在双键中,一个为σ键,一个为π键;在三键中,则为一个σ键和两个相互垂直的π键。
孤对电子(或称非键电子)是指原子中未与其他原子共享的价电子对,它们不参与化学键的形成,但占据着原子的价层空间。
这些电子虽然不直接构成分子骨架,却在决定分子形状、反应性和物理性质方面扮演着关键角色。孤对电子通常属于n电子,位于原子核附近,能量较低,但在适当条件下可以参与形成配位键或发生各种电子跃迁。
σ键:
σ键数等于分子中的原子连接数。对于ABn型分子,σ键数即为n值。
例如,在甲烷(CH₄)分子中,碳原子与四个氢原子相连,因此含有4个C-H σ键;在水(H₂O)分子中,氧原子与两个氢原子相连,因此含有2个O-H σ键。复杂分子中的σ键计数同样遵循这一原则,只需识别出所有的原子间连接即可。
π键:
π键的判断通常需要基于总价电子数与已使用电子数的差值。具体而言,π电子数等于分子的总价电子数减去所有σ键使用的电子数,再减去孤对电子数。
以苯分子(C₆H₆)为例,总价电子数为30(碳贡献24,氢贡献6),σ键包括6个C-C键和6个C-H键,共使用24个电子,剩余6个电子即为π电子,形成一个离域的大π键。对于双键,通常包含一个σ键和一个π键;而三键则包含一个σ键和两个相互垂直的π键。
孤对电子:
孤对电子的计算需要更为系统的方法。
根据价层电子对互斥理论(VSEPR),中心原子上的孤电子对数可通过公式(a – xb)/2计算,其中a代表中心原子的价电子数,x表示与中心原子键合的原子数,b为每个配位原子所能形成的共价键数。对于阴离子,a值需要加上离子电荷数;而对于阳离子,则需要减去离子电荷数。
通过系统性地应用这些计算方法,我们可以从简单的分子式出发,逐步揭示分子的电子结构、空间构型以及化学行为特征,为理解和预测分子性质奠定坚实基础。
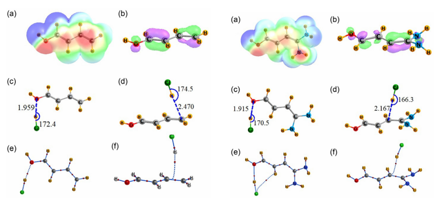
在传统化学认知中,当分子同时含有孤对电子和π键时,孤对电子通常被认为是更强的质子受体。这是因为孤对电子位于原子核附近,电子云密度较高,而π键电子相对分散,静电势通常较弱。
然而,这一研究针对HCl分子与含C=C双键体系的氢键结合位点选择问题展开,旨在探究在什么条件下以及如何逆转这种传统的结合偏好。这一核心问题不仅具有理论意义,更对理解生物分子识别和设计高效催化剂具有实际价值。

DOI:10.1002/cphc.202500448
研究团队采用量子化学计算方法,系统评估了不同取代基对氧原子孤对电子与π键质子亲和力的影响。通过精确计算结合能、静电势和分子轨道特性,他们揭示了取代基效应如何微妙地调控不同位点的质子接受能力。
研究的最引人注目的发现是:虽然氧原子周围存在更强的负静电势,但引入NH₂或NMe2等电子给体取代基后,π电子系统竟能反超成为更优的质子受体。这一发现直接挑战了传统上基于静电势预测质子结合位点的简单模型。

DOI:10.1002/cphc.202500448
机制研究表明,这种逆转现象源于取代基对分子轨道分布的调控作用。给电子取代基能够升高π体系的最高占据分子轨道(HOMO)能级,增强其电子提供能力,同时改变电子云的空间分布,使π电子更易于与质子相互作用。
特别值得注意的是,在芳香酚体系中,分散力(dispersion) 成为决定质子受体位点的关键因素,而静电势与HOMO空间分布的协同作用调控着HCl与π系统的结合位点与取向。


DOI:10.1002/cphc.202500448
这项研究对分子间相互作用理论有着重要贡献。它表明,在预测和解释质子结合行为时,不能仅仅考虑静电势因素,还需要全面评估轨道相互作用、分散力以及取代基的电子效应。这种多参数的综合考量,超越了传统的氢键理论,为理解分子识别和自组装过程提供了更为精细的视角。
在应用方面,这项研究的发现为理性催化剂设计提供了新思路。通过合理选择取代基,化学家可以精确调控分子的质子接受位点和方向,从而设计出具有特定选择性的催化剂。例如,在设计和合成选择性结合特定分子的受体时,可以巧妙利用给电子取代基增强π体系的质子亲和力,创造新型氢键模式。
通过对分子中σ键、π键与孤对电子的系统探讨,我们可以清晰地认识到这些基本电子组分在决定分子结构、性质和功能中的核心作用。
σ键作为分子的骨架,提供了基本的连接框架;π键通过额外的电子重叠增强了原子间的连接,同时引入了反应活性和电子特性;孤对电子则作为隐形的调控者,通过空间排斥和电子效应精细调节分子的三维结构和化学行为。
【做计算 找华算】
🏅 华算科技提供专业的第一性原理、分子动力学、生物模拟、量子化学、机器学习、有限元仿真等代算服务。
🎯500+博士团队护航,累计助力5️⃣0️⃣0️⃣0️⃣0️⃣➕篇科研成果,计算数据已发表在Nature & Science正刊及大子刊、JACS、Angew、PNAS、AM系列等国际顶刊。 👏👏👏

