湖北大学陈晓琴课题组:通过设计Bi5Ti3FeO15的Ti/Fe比例,实现光吸收、铁电极化及光催化活性的协同优化

全球工业化的快速发展,带来严重的环境问题。例如,工业废水中一些有毒有机物,无法被生物降解,排放到自然环境中必然会污染水资源,影响生态系统乃至人类的生存。目前,对工业废水中污染物的处理方法主要有电絮凝、生物修复、离子交换、沉淀、超滤、吸附、光催化降解等。其中光催化降解是一种经济、环保、可持续的技术。当能量超过光催化剂带隙的光子被吸收后,电子从价带被激发至导带,从而在导带中产生自由电子,在价带内产生自由空穴。光生电子空穴对迁移到催化剂表面,通过氧化还原反应将有机污染物完全分解为无污染的二氧化碳和水。

基于TiO2的半导体材料,化学性质稳定、生产成本低、生态友好,是最常见的光催化剂。但宽带隙阻碍了它们对可见光的吸收和利用,弱的光生载流子的分离与迁移能力限制了它们的商业应用。因此,寻找适合吸收可见光并能有效分离光生载流子的新型光催化剂十分必要。铁电材料,特别是含Ti/Fe的铋系层状Aurivillius相,Bin+1Ti3Fen3O3n+3n为类钙钛矿层数,引起了人们的关注。首先,与TiO2的价带完全由O 2p轨道组成不同,Bin+1Ti3Fen3O3n+3的价带由O 2p轨道和Bi 6s轨道杂化而成,因此它具有弥散性,可以增加光生空穴的迁移率。其次,Fe3d电子能级劈裂为Fet2gFeeg两个组态,其中Fet2g态可以与O 2p轨道杂化,Feeg态处于比Ti 3d态更低的能量位置。因此,Fe的存在可以致使价带和导带具有更大的弥散性,有利于光生电子空穴对的迁移,从而增强光催化活性。第三,由铁电极化引起的退极化场,存在于整个材料内部,可高效分离光生载流子,提高光催化活性。此外,(Bi2O2)2+层与(Bi2Ti3O10)2类钙钛矿单元交替生长的共生结构也倾向于在材料内部形成内建电场,促进光生载流子的分离和迁移,提高光催化活性。基于以上含Ti/Fe铋层状Aurivillius相在光催化方面的优势,论文以Bi5Ti3FeO15(n=4, BTF)为研究对象,在不引入异质元素的情况下,调整Ti/Fe比例,研究了不同Ti/Fe比例对晶体结构、微观形貌、光吸收、电学及光催化性能的影响。研究结果表明,调整Ti/Fe比例不仅可调制Aurivillius相的类钙钛矿层数、影响晶粒形貌,还可同时增强光吸收能力和铁电极化,并最终提高对罗丹明B的光催化活性。该研究成果以“Simultaneous enhancement of the optical absorption,    ferroelectric polarization, and photocatalytic activity by designing the Ti/Fe    ratio for Bi5Ti3FeO15为题,发表在《Ceramics International》期刊上(https://doi.org/10.1016/j.ceramint.2024.01.104)
图文导读
湖北大学陈晓琴课题组:通过设计Bi5Ti3FeO15的Ti/Fe比例,实现光吸收、铁电极化及光催化活性的协同优化

Ti/Fe比例对Aurivillius相结构的调制

湖北大学陈晓琴课题组:通过设计Bi5Ti3FeO15的Ti/Fe比例,实现光吸收、铁电极化及光催化活性的协同优化

Ti/Fe比例对介电性能的影响

湖北大学陈晓琴课题组:通过设计Bi5Ti3FeO15的Ti/Fe比例,实现光吸收、铁电极化及光催化活性的协同优化

Ti/Fe比例对带隙的调制

湖北大学陈晓琴课题组:通过设计Bi5Ti3FeO15的Ti/Fe比例,实现光吸收、铁电极化及光催化活性的协同优化
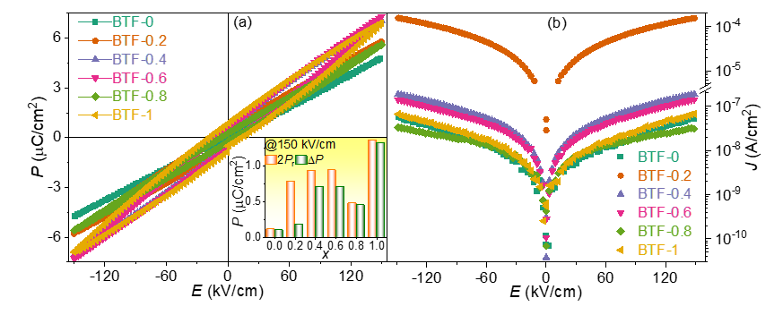
Ti/Fe比例对铁电性能的影响
湖北大学陈晓琴课题组:通过设计Bi5Ti3FeO15的Ti/Fe比例,实现光吸收、铁电极化及光催化活性的协同优化
   5 不同Ti/Fe比例样品的光催化活性评估
湖北大学陈晓琴课题组:通过设计Bi5Ti3FeO15的Ti/Fe比例,实现光吸收、铁电极化及光催化活性的协同优化

不同Ti/Fe比例样品的一级动力学速率常数、本征极化、带隙及吸附度参数

湖北大学陈晓琴课题组:通过设计Bi5Ti3FeO15的Ti/Fe比例,实现光吸收、铁电极化及光催化活性的协同优化

光降解罗丹明B原理示意图

声明:如需转载请注明出处(华算科技旗下资讯学习网站-学术资讯),并附有原文链接,谢谢!
(0)
上一篇 2024年4月4日 上午7:58
下一篇 2024年4月4日 上午7:58

相关推荐