1. 坐标与换算:

2. 线型、线宽


EPR测试自由基的捕获剂以及测试方法
| 自由基 | 捕获剂 | 溶剂 | 浓度 | 
| 羟基自由基 | H2O | 100 mM | |
| 超氧自由基 | DMPO | 甲醇或DMSO | 100 mM | 
| 超氧自由基 | BMPO | H2O | 25 mM | 
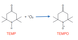
| 单线态氧 | TEMP | H2O | 100 mM | 
| HCOO–和硼基自由基 | PBN | H2O | 80 mM | 
DMPO捕获超氧自由基在测试前鼓氧1-2min;BMPO在水体系中可同时捕获羟基自由基和超氧自由基但信号很难区分;PBN捕获硼基自由基,测试前溶液充氯(时间视反应而定)。捕获剂现配现用,打光前加入。
自由基的EPR谱图主要看峰的个数、线宽、Nβ、Hβ、ANβ和AHβ。

常见自由基的峰形和线宽、Nβ、Hβ、ANβ和AHβ。将测试的峰的参数和标准图谱比对。

4. 一般仪器测试参数设置
中心磁场3500.00 G;扫场宽度为150.00 G;扫场时间为30.00 s;微波功率为3.99 mW;调制幅度为1.000 G;转换时间为40.0 ms。
5. 在水中测试自由基,信号可能会重叠的有哪几种
羟基自由基(·OH)、超氧自由基(O₂·⁻)、过氧化氢自由基(·OOH)、硫酸根自由基(SO4·2-)四种自由基的信号可能会重叠,特别是某一个自由基信号特别强的时候,其他信号可能会被完全淹没消失。前两者在水中基本很难测到,受羟基自由基影响较大。
6. 为什么在水中很难测到超氧自由基和过氧化氢自由基的EPR信号
在水溶液中,羟基自由基(·OH)也具有很高的反应性,可能与超氧自由基发生反应,生成过氧化氢(H₂O₂)等物质。此外,羟基自由基与常用的捕获剂(如DMPO)形成的加合物在EPR谱图中可能与超氧自由基的信号重叠,导致难以区分。
7. 超氧自由基、过氧化氢自由基适合测试的溶剂是?
甲醇和二甲亚砜
8. EPR自由基信号通过什么模拟?
量子化学计算:
9. TEMP(2,2,6,6-四甲基哌啶-1-氧化物)用于捕捉单线态氧(¹O₂)
溶剂选择:
水溶液: TEMP在水中具有良好的溶解性,适用于水相体系的实验。
有机溶剂:对于有机溶剂体系,需确保TEMP的溶解度,并考虑溶剂对单线态氧寿命的影响。

11. 如果EPR谱图中多种自由基信号重叠,如果有可能用软件解谱,该怎么做?
如果是比较简单的重叠谱,例如仅仅是两种信号或者很清晰就可以对比出来,那么就可以直接判断了。

如果属实复杂,那么就需要选择拟合软件,如EasySpin、SpinFit、Matlab等进行谱图拟合:
选择拟合函数:根据谱线的形状,选择适当的拟合函数,如高斯函数、洛伦兹函数或其组合。
设置初始参数:根据实验数据,设置拟合的初始参数,包括g因子、超精细耦合常数、谱线宽度等。
执行拟合:使用软件进行拟合,调整参数以最小化拟合曲线与实验数据之间的差异。
12. EPR测试液体光催化系统自由基的光照时间长短问题?
仅供参考,EPR是一个争议性比较大的测试手段,在分析时要明辨。
本文源自微信公众号:材料er
原文标题:《EPR测试自由基的常见问题》
原文链接:https://mp.weixin.qq.com/s/blsDU6ap34MuCqCwJnpWPg
本转载仅出于分享优质测试干货,旨在传递更多观点,并不代表赞同其全部观点或证实其内容的真实性。文章中所包含的图片、音频、视频等素材的版权均归原作者所有。如有侵权请告知删除。
 
                
