VASP计算光学性质应用案例

材料的光学性质包括介电函数、折射率、反射率、吸收系数、消光系数、能量损失函数华算科技朱老师详细介绍MgO光学性质计算步骤和数据处理方法

结构优化

首先通过晶体结构数据库下载MgO的cif文件,并生成POSCAR文件,如下图所示。
VASP计算光学性质应用案例
VASP计算光学性质应用案例
然后编写结构优化的INCAR和KPOINTS文件。
INCAR文件:
ISTART=0    #随机产生初始波函数
ICHARG=2  #从原子电荷密度产生体系初始电荷密度
PREC=M   #计算精度为Medium
ISPIN=1    #关闭自旋极化
ALGO=N  #DAV算法优化电子波函数
NELM=60   #电子波函数最多计算60步
EDIFF=1E-5  #电子波函数能量收敛标准1E-5 eV 
ENCUT=400  #平面波截断能400 eV
IVDW=11   #考虑范德华力修正
IBRION=2   #共轭梯度法优化晶体结构和原子坐标
NSW=100   #晶体结构和原子坐标优化步数最大100步
ISIF=3   #优化原子坐标和晶体结构
EDIFFG=-0.1  #原子残余力小于0.1 eV/A
ISMEAR=0   #费米能级附近电子占据数为高斯分布
SIGMA=0.1  #高斯分布展宽0.1 eV
VASP计算光学性质应用案例
KPOINTS文件:
Automatic generation  #注释行
0  #自动产生K点网格
G   #布里渊区K点网格以Gamma点为中心
4 4 4  #K点网格密度
0 0 0  #K点网格中心平移矢量
VASP计算光学性质应用案例

自洽计算

完成结构优化计算后,保持KPOINTS,POTCAR文件不变,将CONTCAR文件复制成POSCAR文件,并对结构优化的INCAR文件作如下修改:
IBRION=-1  #固定结构和原子位置保持不变
NSW=0  #仅作一步自洽计算
NBANDS=192  #数值为结构优化时的4倍
VASP计算光学性质应用案例

非自洽计算

完成自洽计算后,保持KPOINTS,POTCAR,POSCAR文件不变,将自洽计算的CHGCAR,WAVECAR保留下来,并对自洽计算的INCAR文件作如下修改:
ISTART=1  #读取波函数
ICHARG=11  #读取电荷密度且保持不变
LOPTICS=.T.   #开启光学性质计算
VASP计算光学性质应用案例

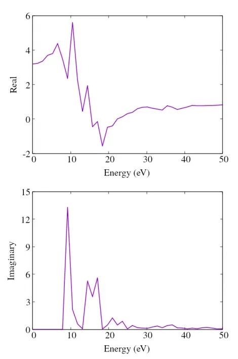
数据处理

完成态密度计算后,下载OUTCAR文件,通过VASPVIEW软件处理数据可得到介电函数、折射率、反射率、吸收系数、消光系数、能量损失函数等结果
VASP计算光学性质应用案例
本文干货内容由拥有15年VASP实战经验的华算科技朱老师(同济大学本博、深圳海外高层次人才)撰写,👉欢迎点击进入《VASP计算光学性质专题》探索更多深度教程
【做计算 找华算】
🏅 华算科技提供专业的第一性原理、分子动力学、生物模拟、量子化学、机器学习、有限元仿真等代算服务。
🎯500+博士团队护航,累计助力5️⃣0️⃣0️⃣0️⃣0️⃣➕篇科研成果,计算数据已发表在Nature & Science正刊及大子刊、JACS、Angew、PNAS、AM系列等国际顶刊。 👏👏👏

声明:如需转载请注明出处(华算科技旗下资讯学习网站-学术资讯),并附有原文链接,谢谢!
(0)
上一篇 2025年10月3日 下午4:59
下一篇 2025年10月5日 下午4:06

相关推荐