一、表面能的定义与物理意义
1.基本定义
表面能(Surface Energy, γ)是描述晶体表面稳定性的重要物理量,其定义为将晶体沿特定晶面分裂并形成单位面积表面所需的能量。计算公式为:

其中,Eslab为表面板模型的总能量,nslab为原子数,Ebulk为体相单原子能量,A为表面积,分母2表示分裂后产生两个对称表面。表面能反映了表面原子因失去体相中原子的对称键合环境而积累的多余能量。这一概念在材料科学中至关重要,因为它直接影响晶体的形貌、稳定性及表面相关性能(如催化活性、吸附能力等)。
2.能量来源
表面能的来源主要是表面原子因悬空键(Dangling Bonds)的存在而导致的能量增加。例如,在面心立方(FCC)晶体中,体相原子的配位数为12,而(111)表面原子的配位数降至9,断裂的3个键贡献了表面能。悬空键的数量和强度决定了表面能的大小,密排面的悬空键较少,因此表面能较低。此外,表面重构或吸附原子也可能改变悬空键的状态,从而进一步影响表面能。
3.热力学意义
表面自由能最小化是晶体形貌演化的驱动力。根据Wulff构造法则,晶体的平衡形状是各晶面法线距离与其表面能成比例的多面体。这意味着表面能越低的晶面在平衡形貌中占据的面积越大。例如,FCC金属(如Au、Ag)的平衡形貌通常为截角八面体,由低表面能的{111}和{100}面组成。这一原理在纳米材料合成和晶体生长中具有重要指导意义。

DOI: 10.1016/j.cemconres.2022.106711
二、影响表面能的关键因素
1.晶面取向(密勒指数)
晶面取向是影响表面能的最主要因素之一。密排面(如FCC的(111)、BCC的(110)、HCP的(001))由于原子排列最紧密,悬空键数量最少,因此表面能最低。而高指数晶面(如{211}、{730})因存在原子台阶和扭折结构,悬空键数量较多,表面能较高。值得注意的是,高表面能晶面虽然热力学稳定性较差,但在催化反应中可能提供更多活性位点,表现出优异的催化性能。

DOI: 10.7498/aps.60.016601
2.终端原子
对于极性表面,化学终止类型对表面能的影响尤为显著。例如,氧化物表面可能以金属原子或氧原子终止,不同终止方式会导致表面能差异可达数倍。终端原子的电子结构和化学性质直接决定了表面原子的键合状态,进而影响表面能。在实际应用中,通过调控终端原子类型可以实现对表面能的精确控制。

DOI: 10.3390/coatings12010066
3.温度效应
表面能通常随温度升高而降低。这是因为高温下原子振动加剧,表面原子的动态重构可能部分补偿悬空键的能量损失。此外,温度升高还可能促进表面吸附或扩散,进一步降低表面能。这一效应对高温材料的设计和性能评估具有重要意义。

DOI: 10.7498/aps.62.103104
4.化学环境与掺杂
化学环境和掺杂元素会显著改变表面能。例如,气氛环境下金属表面可能形成氧化物层,从而降低表面能。掺杂元素通过改变表面电子结构或引入新的键合状态,也可能对表面能产生显著影响。这种调控手段在功能材料设计中具有广泛应用。

DOI: 10.1038/s41598-017-12814-5
三、表面能的应用领域
1.催化材料设计
表面能是催化材料设计中的关键参数。低表面能晶面通常稳定性高但催化活性较低,而高表面能晶面虽然热力学不稳定,却可能提供高活性位点。例如,铂纳米颗粒的高指数晶面在电催化反应中表现出优异的性能。通过调控表面能,可以实现对催化活性和稳定性的平衡优化。
2.晶体生长与形貌控制
Wulff构造法则为晶体生长和形貌控制提供了理论指导。例如,FCC金属纳米颗粒的平衡形貌通常由{111}和{100}面组成,其比例由各晶面的表面能决定。在实际合成中,通过调节生长条件(如温度、添加剂)可以改变表面能,进而实现对晶体形貌的精确调控。
3.材料稳定性评估
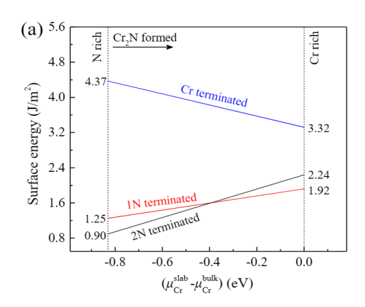
表面能是评估材料抗腐蚀、抗氧化的关键参数。例如,Cr₂N涂层的高表面能晶面更易发生氧化,通过合金化或表面修饰降低表面能可以显著提升其耐久性。此外,表面能还与材料的烧结、蠕变等高温行为密切相关。

DOI: 10.1016/j.cemconres.2022.106711
4.界面与缺陷研究
表面能与晶界能、位错能的相对大小直接影响材料的断裂机制和界面行为。例如,BCC金属中{110}面的低表面能使其在薄膜中形成择优织构,减少界面缺陷。通过研究表面能与其它缺陷能的相互关系,可以为材料设计和性能优化提供重要依据。
益于理论计算化学的快速发展,计算模拟在纳米材料研究中的运用日益广泛而深入。科研领域已经逐步形成了“精准制备-理论模拟-先进表征”的研究模式,而正是这种实验和计算模拟的联合佐证,更加增添了论文的可靠性和严谨性,往往能够得到更广泛的认可。
华算科技已向国内外1000多家高校/科研单位提供了超过50000项理论计算和测试表征服务,部分计算数据已发表在Nature & Science正刊及大子刊、JACS、Angew、PNAS、AM系列等国际顶刊。


