
钌(Ru)作为一种低成本的铱替代品,在质子交换膜水电解槽(PEMWE)中被广泛认为是阳极电催化剂。然而,报道的钌基催化剂通常只能在PEMWE中工作数十小时,因为它们本质上具有高的晶格氧反应活性,导致不可抑制的钌浸出和结构崩溃。
北京大学郭少军教授、骆明川研究员等人报道了一种设计概念,通过采用大尺寸和耐酸的晶格铅(Pb)作为第二元素来诱导钉住效应,有效地缩小氧原子的移动通道,从而降低晶格氧在Ru氧化物中的反应性。Pb-RuO2催化剂在10 mA cm-2下的过电位为188±2 mV,在酸性介质中可维持1100 h以上,降解率为19 μV h-1,可以忽略。特别是,基于Pb-RuO2的PEMWE可以在500 mA cm-2下工作超过250 h,降解率仅为17 μV h-1。实验和理论计算结果表明,由于独特的6s-2p-4d轨道杂化,Ru-O共价性降低,增加了晶格氧的损失能,抑制了Ru的过度氧化,提高了PEMWE中的长期稳定性。
相关工作以《Pinning effect of lattice Pb suppressing lattice oxygen reactivity of Pb-RuO2 enables stable industrial-level electrolysis》为题在《Nature Communications》上发表论文。这也是郭少军教授课题组今年在《Nature》子刊上发表的第6篇论文。

往期报道可见:
值得注意的是,从Peer Review文件上可以看到,该文章的投稿过程并不顺畅,其中以为审稿人提出了研究工作的新颖性不足,而给出了较消极的意见。审稿人认为,这两份研究工作共同点都是在于引入其他原子来调控RuO2中Ru-O的共价性,从而优化OER性能。其次,最近许多研究采用类似的策略,将掺杂元素引入RuO2晶格以锚定晶格氧(Nat Commun 15,2501(2024))或调节Ru-O键的共价(Nat Commun 14,2517(2023)),取得了优异的催化活性和稳定性(Nat. Mater. 22,100 -108 (2023));最后,无论是从催化剂设计角度还是从酸性OER的机理上,都需要对这项工作进行重新思考。

针对此问题,作者用了3页PDF进行回复:
首先,虽然催化剂制备方法相似,但材料体系有很大不同,本文的重点不是材料合成方法。同时,本研究利用独特的Pb 6s电子态调控电子结构的策略也与前人利用4f电子态调控电子结构的研究(Er-RuO2)有很大不同。第二,虽然催化剂活性相似(10 mA cm-2的过电位在Pb-RuO2中为187 mV,在Er-RuO2中为200 mV),但Pb-RuO2催化剂耐久性比之前Er-RuO2好得多。

针对后面的问题,作者牢牢地抓住文章是通过引入Pb来调节RuO2的OER性能,这与提高的文献研究的物质系统是完全不同的。此外,独特的Pb 6s电子态调控策略也不同于d电子态(Zn和Ni)和间隙原子(Si)的调控策略。其次,在本研究中提出了一个新的概念,即利用耐酸和大尺寸的晶格Pb来缩小O原子的移动通道,以降低晶格氧反应性,从而显著提高酸OER和PEMWE性能。因此,这个概念也与之前的工作有所不同。
最后,本工作的催化性能特别是耐久性,比以前的工作更好。因此,作者认为这项工作在酸性OER性能方面表现出显著的改善,特别是从催化剂耐久性和成本方面。


图1 在RuO2晶格中引入Pd增强稳定性示意图
本文提出了一种通过在RuO2的晶格中引入大尺寸耐酸铅(Pb)来缩小氧原子的移动通道,从而提高晶格氧的扩散活化能,从而降低晶格氧的反应活性来增强RuO2的稳定性的设计理念(图1)。
团队采用一锅葡萄糖吹制法制备了Pb-RuO2催化剂。简单地说,首先得到由葡萄糖和均匀分散的Ru和Pb离子组成的多孔泡沫,然后在空气中煅烧形成Pb-RuO2催化剂。作为比较,在不添加Pb离子的情况下,也通过类似的方法合成了纯RuO2(Hm-RuO2)。

图2 Pb-RuO2催化剂的原子和精细结构表征
原子HAADF-STEM图像清楚地显示Pb-RuO2的金属原子沿RuO2的晶格[001]方向排列有序,与结构模型高度一致(图2a、b)。PbOx晶格的缺失表明Pb原子成功参与到RuO2的晶格中。Pb-RuO2的(110)晶格间距(0.332 nm)大于标准RuO2的(0.320 nm),进一步证明了Pb取代Ru导致的晶格扩展。元素映射图像证实Ru、Pb和O在晶体内共存(图2c)。
PbO2的Pb的L3边缘XANES谱在13030.0 eV处呈现明显的肩峰,这与偶极子允许从2p3/2核能级跃迁到未占据的6s态有关(图2d)。而Pb-RuO2中没有肩峰,说明Pb-RuO2中存在6s电子,而PbO2中不存在6s电子。Ru的K边缘XANES光谱显示,Pb-RuO2的边缘与RuO2的边缘接近,表明Ru具有氧化特征(图2e)。Ru的K边缘EXAFS光谱在1.47和3.16 Å处显示出两个明显的峰,分别对应于Ru-O和Ru-Ru键,小波变换(WT)分析进一步证实了这一点(图2f-i)。EXAFS拟合结果表明,Ru-O和Ru-Ru在Pb-RuO2中的配位数(CN)低于RuO2,这主要归因于Pb的辅助破坏了RuO2的结构对称性。

图3 电催化酸性OER
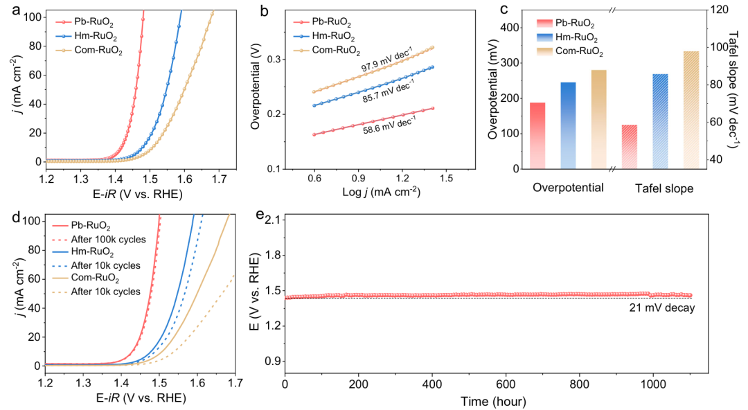
在O2饱和的0.5 M H2SO4电解液中,考察了Pb-RuO2和参考催化剂的酸性OER性能。当Pb比例合适时,Pb-RuO2在10和100 mA cm-2下的过电位分别为188±2和255±4 mV,小于Hm-RuO2在10和100 mA cm-2下的过电位(245±5和363±6 mV)和商用(Com)-RuO2在10和100 mA cm-2下的过电位(280±7和446±6 mV)(图3a)。与Hm-RuO2和Com-RuO2相比,Pb-RuO2的Tafel斜率减小,表明其增强了OER反应动力学(图3b、c)。
Pb-RuO2在酸性电解液中经过10万次循环试验后过电位变化可以忽略,Hm-RuO2和Com-RuO2催化剂经过1万次循环试验后性能衰减明显(图3d)。时间电位测定测试显示,Pb-RuO2在10mA cm-2下的电位稳定超过1100 h,优于Com-RuO2,在56 h的运行过程中电位明显增加(图3e)。Pb-RuO2具有显著的耐久性,工作时间长,过电位降解率相对较低,超过了目前报道的最先进的Ru、Ir基电催化剂。

图4 OER机制
本文首先采用甲醇辅助的方法探测*OH中间体。与RuO2相比,Pb-RuO2的甲醇氧化反应(MOR)和OER之间的电流差越大(图4a),表明Pb-RuO2对*OH的吸附增强,电流差越大,说明MOR竞争反应越强,在*OH吸附越强的表面上越活跃。通过原位电化学拉曼光谱研究了中间体的吸附行为,发现Pb-RuO2对*OH吸附的拉曼频率相对于RuO2呈负移(~700 cm-1)(图4b),进一步表明与*OH的结合增强。
采用同位素18O标记的原位DEMS来揭示不同催化剂的晶格氧参与(图4c),因为晶格氧机制(LOM)总是导致酸性介质中性能的快速下降。在1.6 V下,在0.5 M H2SO4/H218O溶液中运行600 s,首先用18O标记催化剂表面。然后,用质谱法检测了18O标记催化剂在0.5 M H2SO4/H216O溶液中电化学OER过程中产生的O2。Pb-RuO2和RuO2析出的O2信号大部分为32O2(图4d、e),说明Pb-RuO2和RuO2的主要反应途径为吸附演化机制(AEM)。然而,与Pb-RuO2相比,RuO2显示出更明显的36O2信号,表明Pb-RuO2抑制了LOM过程。两种催化剂中都有晶格氧参与(图4f),而Pb-RuO2较RuO2明显降低了34O2/32O2百分比,说明Pb在抑制晶格氧参与、促进Pb-RuO2在酸性OER中的长期稳定性方面起着至关重要的作用。

图5 DFT计算
通过建立Pb-RuO2和RuO2模型(图5a),进一步利用DFT计算揭示了Pb-RuO2催化剂OER性能提高的原因。基于DEMS结果,计算了AEM路径上含氧中间体的吉布斯自由能,以探讨Pb-RuO2性能提高的来源。如图5b所示,Pb-RuO2和RuO2的电位决定步骤(PDS)均为*O到*OOH。Pb-RuO2的能垒从1.832 V降至1.817 V,表明Pb的加入提高了活性。
利用pDOS图进一步揭示Pb对RuO2电子结构的影响。Pb 6s、Ru 4d和O 2p轨道(6s-2p-4d)之间的耦合导致Ru活性位点周围的电子环境发生变化,以平衡含氧中间体的吸附(图5c)。此外,Pb-RuO2的O的p带中心相对于RuO2的O的p带中心出现了下移,导致Ru-O共价性减弱。ICOHP计算进一步表明,Pb的参与可以降低Ru-O共价(图5d、e)。Barder电荷分析表明,Pb-RuO2的6s-2p-4d轨道杂化导致Ru电荷减少(图5f),这不仅优化了含氧中间体的吸附,降低了OER过电位;还能削弱Ru-O共价性,抑制晶格氧参与,促进Pb-RuO2在酸性OER中的长期稳定性。
为了阐明大尺寸Pb对RuO2稳定性的独特影响,进一步计算了晶格氧损失的能垒,结果表明Pb-RuO2相对于RuO2具有更高的能垒(图5g),表明晶格氧的反应活性降低。ICP-MS分析表明,纯RuO2表现出Ru的加速溶解,表明由于晶格氧的高活性,结构崩溃不可抑制。而在大尺寸晶格Pb的帮助下,由于其独特的钉扎效应降低了晶格氧的反应性,可以抑制Ru的浸出(图5h)。

图6 PEMWE的输出性能
作者构建了以Pb-RuO2和Pt/C为阳极和阴极催化剂的PEM电解槽,以评价该催化剂在工业上的应用潜力。基于Pb-RuO2的PEMWE在1.582、1.688和1.848 V下分别可以实现500、1000和2000 mA cm-2的工业电流密度,优于基于Hm-RuO2的PEMWE(1.623、1.736和1.947 V)和基于Com-RuO2的PEMWE(1.676、1.817和2.125 V)(图6a、b)。令人印象深刻的是,基于Pb-RuO2的PEMWE可以在500 mA cm-2的工业电流密度下维持超过250小时。降解率仅为17 μV h-1,是目前报道的钌基催化剂中最低的(图6c)。
Pinning effect of lattice Pb suppressing lattice oxygen reactivity of Pb-RuO2 enables stable industrial-level electrolysis,Nature Communications,2024.

